4006 776 356
免费咨询 9:00-18:00
获取国外Zolpidem蹲锁5mg“ kunihiro” / zorpidem squer锁10mg“ ku药品价格,使用等信息,最快 24 小时回馈
出境医 / 海外药品 / Zolpidem蹲锁5mg“ kunihiro” / zorpidem squer锁10mg“ ku
Zolpidem蹲锁5mg“ kunihiro” / zorpidem squer锁10mg“ ku
2015年6月
Zolpidem蹲锁5mg“ kunihiro” / zorpidem squer锁10mg“ kunihiro”
创建或修订年
- **于2022年7月修订(第七版)
- *2019年7月修订(第六版)
日本标准产品分类编号
- 871129
医学分类名称
- 睡眠代理
批准,等等
- 销售名称
- Zolpidem蹲锁5mg“ kunihiro”
销售名称代码
- 1129009F1343
批准 /许可号码
- 批准编号
- 22400AMX00350000
- 商标
- Zolpidem Tartrate片5mg“ Kunihiro”
药品价格标准日期
- 2015年3月
销售日期
- 2015年6月
储蓄,到期日期等
- [保存]
- 室温是存储的,但是平板电脑拆分后,阴影保存
- 【截止日期】
- 在外部框的显示器的到期日期内使用
标准名称
- 日本药房
- Zorpidem蹲锁
法规类别
- 精神药物,习惯药1) ,处方药2)
- 注1)预防措施
注2)医生使用的笔记等。
作品
- 成分
- 日本药房佐蛋白酶壁酸
- 包括(1片中的)
- 5mg
- 添加剂
- 乳糖氢,晶体纤维素,氢化脂蛋白,星核钠,硬脂酸镁,6000个大戈尔,氧化铁,辛替肽铁,黄色三氧化物。
特点
- 色调 /属性
- 膜涂层锁包含浅色电线
- 外形
- 桌子

- 外形
- 后退

- 外形
- 边

- 直径
- 6.6mm
- 厚度
- 2.6mm
- 重量
- 90mg
- 识别代码
- KSK311
- 销售名称
- Zolpidem蹲锁10mg“ kunihiro”
销售名称代码
- 1129009F2340
批准 /许可号码
- 批准编号
- 22400AMX00349000
- 商标
- Zolpidem Tartrate片10mg“ Kunihiro”
药品价格标准日期
- 2015年3月
销售日期
- 2015年6月
储蓄,到期日期等
- [保存]
- 室温是存储的,但是平板电脑拆分后,阴影保存
- 【截止日期】
- 在外部框的显示器的到期日期内使用
标准名称
- 日本药房
- Zorpidem蹲锁
法规类别
- 精神药物,习惯药1) ,处方药2)
- 注1)预防措施
注2)医生使用的笔记等。
作品
- 成分
- 日本药房佐蛋白酶壁酸
- 包括(1片中的)
- 10mg
- 添加剂
- 乳糖氢,晶体纤维素,氢化脂蛋白,星核钠,硬脂酸镁,6000个大戈尔,氧化铁,辛替肽铁,黄色三氧化物。
特点
- 色调 /属性
- 膜涂层锁包含浅色电线
- 外形
- 桌子

- 外形
- 后退

- 外形
- 边

- 直径
- 8.6毫米
- 厚度
- 3.2mm
- 重量
- 180毫克
- 识别代码
- KSK317
一般名称
- Zorpidem蹲锁
警告服用这种药物后,它可能出现在飘动的状态和伴随症状的睡眠状态(梦幻症状等)。另外,请注意,您可能不会记得觉醒的事件,直到入睡。 |
限制(请勿对下一个患者进行管理)- 1。
- 对该药物成分过敏的患者
- 2。
- 严重肝损伤的患者[代谢功能的降低会增加血液浓度并具有很强的作用。这是给出的
- 3。
- 严重肌肉的患者[肌肉松弛可能会使症状恶化。这是给出的
- 四个。
- *急性阻塞,青光眼患者[眼内压力增加并可能恶化症状。这是给出的
- 五。
- **曾经是异常行为作为睡眠伴奏症状(例如梦幻症状)的患者[严重的自我障碍,其他伤口,事故等可能表达伴随的睡眠症状。这是给出的
|
原则上是禁忌的(原则上,它不会对下一个患者进行管理,但请在必要时仔细管理)如果由于肺部,肺气肿,支气管哮喘和脑血管疾病而高度降低呼吸功能,则可能导致由于呼吸道控制引起的二氧化碳coocosis。这是给出的 |
功效或效果
失眠(不包括与精神分裂症和躁狂抑郁有关的失眠)
与效果相关的使用预防措施
- 确认心解疾病后必须进行该药物的给药。对于与躁狂抑郁症相关的精神分裂症或失眠,无法期望这种药物的有效性。
用法和剂量
- 通常,就在睡前之前,将5至10 mg的唑吡坦口服作为Zolpidem Tapic Acid口服。此外,老年人一次开始服用5毫克。由于年龄,症状和疾病,它会适当增加或减少,但每天不会超过10 mg。
与使用和剂量有关的预防措施
- 1。
- 对这种药物的反应存在个体差异,pid -up状态,伴随症状的睡眠(例如梦想倾倒症状等)出现为剂量依赖性,因此当服用这种药物时,给药时会少量开始。 (一次5毫克)。如果您不得不不避免地增加数量,请在观察它的同时仔细管理。但是,它不会超过10毫克,并且会随着症状的改善而尝试减肥。
- 2。
- 服用这种药物时,请在上床睡觉前服用。此外,如果您没有足够的睡眠时间在患者起床之前开始进行活动,或者如果您暂时起床去工作等。当有可能在药用效应消失之前开始活动时。
使用预防措施
谨慎的管理
(请小心地给下一个患者管理)
- 1。
- 无力的患者[药物的作用得到强烈表达,并且可能出现副作用。这是给出的
- 2。
- 老年人(请参阅“老年人行政”部分)
- 3。
- 心力衰竭的患者[可能发生血压,心脏病患者可能会恶化症状。这是给出的
- 四个。
- 肝损害的患者(请参阅“禁忌症”部分)
- 五。
- 肾脏疾病的患者[排泄被延迟,并且可能出现影响。这是给出的
- 6。
- 大脑中有机残疾患者[可能有强烈的作用。这是给出的
重要的基本预防措施
- 1。
- 避免连续给药长期使用,因为它可能由于连续使用而导致药物依赖性。继续使用该药物时,请仔细考虑需要治疗。 (请参阅有关“严重副作用”的部分)
- 2。
- 请注意不要从事危险机器(例如驾驶汽车)的操作,因为这种药物的影响可能会在第二天早晨进行,因为嗜睡,注意力,集中和反射性运动能力可能会发生。
相互作用
互动的轮廓
- 该药物主要由CYP3A4和CYP2C9和CYP1A2(主要是CYP3A4和CYP1A2)代谢。
合并用途的注释
(请注意联合使用)
组合预防措施
| 毒品名称,等等 | 临床症状 /度量方法 | 机械 /危险因素 |
| 麻药 | 请仔细管理,因为可能会出现呼吸抑制。 | 呼吸可能会减少。 |
中枢神经系统抑制剂 现象胆碱衍生物 巴比索尔酸衍生物等 | 谨慎地弄清楚中枢神经系统抑制效应可能会增加。 | 该药物和这些药物具有中枢神经约束。 |
| 酒精(喝) | 心理功能,感知,运动功能等可能会增加,因此请尽可能保持饮酒。 | 酒精通过作用于GABA A受体具有中枢神经系统抑制作用,因此可以通过结合使用中枢神经系统抑制作用。 |
| 利福平 | 该药物的血液浓度可能会降低,并且可能会降低作用。 | 药物代谢酶CYP3A4受到指导,促进了该药物的代谢。 |
副作用
概述表达状态,副作用
- 该药物不进行调查,以阐明副作用的频率,例如用法调查。
严重的副作用(频率未知)
- 1。
- 依赖性和戒断症状:由于可能由于连续使用而发生药物依赖性,请谨慎并仔细管理剂量和使用时间。此外,由于剂量突然减少或取消给药,可能会出现戒断症状,例如抗降压失眠,易怒等症状,因此,如果停产管理,则逐渐减轻了体重。
- 2。
- **精神病症状,意识障碍:精神病症状和意识障碍,例如ir妄,混乱,幻觉,幻觉,幻觉,兴奋,兴奋,意识水平降低,因此患者的病情被充满观察并观察到异常。 。
- 3。
- **脚趾 - 阳性,积极的状态,伴随症状的睡眠(梦想倾倒症状等) :脚趾 - 任务后义务(我不记得在入睡之前,我不记得事件,我不记得在觉醒时的事件。 )由于它可能出现在波动的状态和伴随症状的睡眠状态(梦幻症状等) ,因此请注意服用毒品后不要立即上床睡觉。据报道,汽车等的驾驶,餐点等,并且不记得没有足够唤醒的事件。还报道了包括死亡在内的严重自我障碍,其他伤口和事故。如果发现异常,请停止给药。
- 四个。
- 呼吸抑制:可能发生呼吸抑制。此外,如果将呼吸功能施用给高度降低呼吸功能的患者,则可能引起二氧化碳,因此在这种情况下,应固定气道并应适当进行通风。
- 五。
- 肝功能障碍,黄疸: AST(GOT),ALT(GPT),γ-GTP,Al-P等,肝功能障碍和黄疸可能会发生,因此可以充分观察观察,并且被识别出异常。并采取适当的措施。
另一个副作用
另一个副作用的表
| 未知频率 |
| 精神科 | 睡觉,嗜睡,头痛,昏昏欲睡的感觉,头晕,头晕,焦虑,噩梦,喜怒无常,幻觉,麻木,麻木 |
| 血 | 白细胞,白细胞减少 |
| 肝 | Alt(GPT)增加,γ-GTP增加,AST(GOT)增加,LDH上升 |
| 肾 | 蛋白尿 |
| 消化器官 | 顽皮,呕吐,厌食,腹痛,腹泻,嘴巴幻觉,食欲增加 |
| 心血管 | 呼吸 |
| 高敏性注1) | 皮疹,所以发痒 |
| 骨骼肌 | 疲劳,疲劳,下肢无力,肌肉痉挛 |
| 眼睛 | 双视图,视觉障碍,雾目录 |
| 其他的 | 口渴,不适,跌落注2) ,味道异常 |
注意1)如果表达,请停止管理。
注2)报道了由于下降而导致老年人骨折的一个例子。
老年人的管理
- 嫉妒往往会发生。此外,由于副作用很容易出现,因此应从少量(一次5 mg)开始给药,并且一次不超过10 mg。
管理孕妇,妇产科妇女等。
- 1。
- 孕妇等:只有在确定治疗以超过危险状态时,才必须服用孕妇或可能怀孕的孕妇。 [尚未确定怀孕期间的管理安全。据报道,这种药物是人类的胎盘,并退休的症状,例如呼吸抑制,抽搐,震颤,易于刺激和难以喂食从怀孕后期服用这种药物的患者出生的儿童。 。这些症状可能被报告为新生短语。这是给出的
- 2。
- 母乳喂养:希望避免对母乳喂养的女性进行服用,但是如果不可避免,请避免护理。 [据报道,它将转向母乳喂养,并有可能被新生儿销毁的风险。这是给出的
给儿童的管理等
- 尚未确定低出生体重,新生儿,婴儿,婴儿或儿童的安全。 (使用的经验较少。)
过量
- 症状:仅使用这种药物的过量报告可能会报道意识障碍,但可能会出现严重的症状,例如中枢神经约束,血压降低,呼吸抑制和呼吸暂停。
- 治疗:对呼吸,脉搏和血压进行监测,并采取适当的措施,例如呕吐,胃清洁,吸附剂和泻药的给药,并保护气道。此外,当使用明显或怀疑该药物的过量服用这种药物时,使用fulmazenyl(苯二氮卓受体拮抗剂)作为治疗时,请先采取预防措施(禁忌症,谨慎,谨慎的给药,相互作用,相互作用等。该药物不会被血液透析去除。
适用的预防措施
- 在药物时: PTP包装中的药物应从PTP纸中取出并指示服用。据报道,食管粘膜的难度很难在食管粘膜上具有硬尖角,导致穿孔引起严重的并发症,例如纵隔炎。这是给出的
其他预防措施
- 在未鉴定施用药物的情况下接受新药(苯二氮卓受体拮抗剂)服用的患者可能会改变或延迟该药物的镇静和抗癌药。
药代动力学
- 1.生物当量测试
- (1)散齿壁酸片5mg“ kunihiro”
- Zolpidem蹲锁5mg“ kunihiro”基于“具有不同含量的口服固体形成的生物等效测试指南(2006年11月24日,药物和食品考试编号1124004)”当“ Kunihiro”用作标准配方,洗脱行为,是平等的,被认为是生物学。
- (2)散齿壁酸片10mg“ kunihiro”
- Zorpidem蹲锁10毫克的“ kunihiro”和1片“ kunihiro”和1片片剂和1片(10毫克作为Zolpidem攻击)仅对健康的成年男孩施用,以测量血浆中的不愉快浓度。由于90的统计分析结果药代动力学参数(AUC,CMAX)的置信度部分定律,它在对数(0.80)范围内(1.25),并确认了两种药物的生物当量。 1)

- 血浆浓度和参数(例如AUC和CMAX)可能会根据测试条件(例如选择受试者的选择,收集体液的时间数量等)而有所不同。
- 2.在洗脱行为中
- Zolpidem蹲锁5毫克的“ Kunihiro”和10毫克的Zolpidem Talk片“ Kunihiro”已被证实与日本药品中规定的Zolpidem片剂的洗脱标准兼容。 2)
药代动力学表
10mg片剂的药代动力学参数
| 判断参数 AUC 0→12小时 (ng/hr/ml) | 判断参数 cmax(ng/ml) | 参考参数 tmax(HR) | 参考参数 T 1/2 (HR) |
| Zolpidem蹲锁10mg“ kunihiro” | 765.1±326.0 | 214.8±84.3 | 1.0±0.8 | 2.6±0.8 |
| 标准准备(平板电脑,10mg) | 776.6±275.1 | 223.5±72.1 | 0.8±0.6 | 2.5±0.7 |
(平均±SD,n = 20)
药物
Zolpidem鳞酸选择性地结合了存在于受体GABA A受体子单位中的苯二氮卓类药物,增强了GABA亲和力,而GABA A系统神经抑制机制。增强。 3)有关活性成分的物理和化学知识
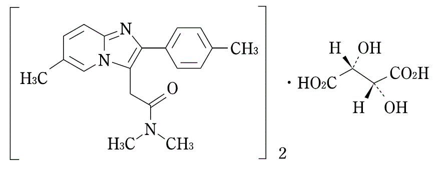
常规名称:Zolpidem Tartrate化学名称: N,N, 6-三甲基-2-(4-甲基苯基)咪唑[1,2- a ]吡啶-3-乙酰氨酰胺Hemi-(2R,3R) - tartrate-tartrate结构公式:
分子类型:(C 19 H 21 N 3 O) 2 c 4 H 6 O 6分子量:764.87转弯:[α] 20 D :大约 + 1.8°(1G, N -N -dimethylholmamide,20 mL,100mm)咖喱:白色结晶粉。溶于乙酸(100)很容易溶解在N,N-二甲基甲醇或甲醇中,很难溶于水中,并且很难溶于乙醇(99.5)或无水酸性。 0.1mol/L溶于盐酸测试中。光逐渐变成黄色。处理的预防措施
稳定性测试由于使用最终包装产品(40°C,相对湿度,75%,6个月),Zolpidem squeezu Shrine片5mg“ Kunihiro”和Zorpidem Talking Tablapt 10 mg“ kunihiro”稳定3年的稳定量正常的市场分布。假定是。四)包装
- Zolpidem蹲锁5mg“ kunihiro”
- :100片剂(PTP:10片X 10):1000片(PTP:10片X 100):1000片(玫瑰)
- Zolpidem蹲锁10mg“ kunihiro”
- :100片剂(PTP:10片X 10):1000片(PTP:10片X 100):1000片(玫瑰)
主要文献和文档请求目的地
主要文献
- 1)
- 帝国手药公司有限公司
- 2)
- 帝国手药公司有限公司
- 3)
- 第16修订的日本药房解释书《东京射击》,2011年,C-2602-2606
- 四)
- 帝国手药公司有限公司
文学要求
- 请在主要文档中描述的房屋材料中索取以下内容。
- Imperial Hall Pharmaceutical Co. Ltd.学术科学
- 2-8,Nagasu Dori,Amagasaki City,Hyogo县660-0803
- 电话0120-023706
- 传真06-6482-7492
- 接待时间9:00至17:00在工作日(不包括星期六,星期日和假期)
有关长期管理药物的信息
- 根据卫生,劳动和福利部的第97号通知(日期为2006年3月19日,对卫生,劳动和福利部的部分修正案,2006年的第107号修正案,该药物一次不得超过30天(日期为2006年3月19日) )。
制造商或进口分销商的姓名或地址
- 制造和分销商
- Imperial Hall Pharmaceutical Co.,Ltd。
- 2-8,Nagasu Dori,Amagasaki City,Hyogo县660-0803
- 电话06-6482-5115
- 传真06-6482-7492