4006 776 356
免费咨询 9:00-18:00
获取国外Zolpidem squer锁定5mg“ sawai” / zolpidem蹲片10mg“ sawa药品价格,使用等信息,最快 24 小时回馈
出境医 / 海外药品 / Zolpidem squer锁定5mg“ sawai” / zolpidem蹲片10mg“ sawa
Zolpidem squer锁定5mg“ sawai” / zolpidem蹲片10mg“ sawa
2012年6月
Zolpidem squer锁定5mg“ sawai” / zolpidem蹲片10mg“ sawai”
创建或修订年
- **于2022年7月修订(第8版)
- * 2019年7月修订
日本标准产品分类编号
- 871129
医学分类名称
- 睡眠代理
批准,等等
- 销售名称
- Zolpidem蹲锁5mg“ sawai”
销售名称代码
- 1129009F1246
批准 /许可号码
- 批准编号
- 22400AMX00213000
- 商标
- Zolpidem tartrate
药品价格标准日期
- 2012年6月
销售日期
- 2012年6月
储蓄,到期日期等
- 储蓄
- 节省室温(请参阅“处理预防措施”的部分)
- 截止日期
- 显示在外盒子上
标准名称
- 日本药房
- Zorpidem蹲锁
法规类别
- 精神药物
- 习惯性药物
- 预防措施 - 居住
- 处方药
- 预防措施 - 通过医生等处方使用
作品
- Zolpidem Soulate片5mg“ Sawai” :5mg日本Zolpidem(5毫克日本局)包含在1片中。
包括添加剂包括狂欢,轻度无水松鼠,晶体纤维素,氧化钛,钢,硬脂酸盐MG,MG硬脂酸盐,Na,促胃酸,乳糖,Hypromerose和Macrogol 6000。
构图与性表
| 药物 | 直径(mm) | 重量(毫克) | 厚度(mm) | 特点 | 识别代码 | 外形 |
| 膜涂料锁包含电线 | 6.6 | 大约93 | 2.8 | 淡色 | SW Z1 |  |
- 销售名称
- Zolpidem蹲下锁10mg“ sawai”
销售名称代码
- 1129009F2242
批准 /许可号码
- 批准编号
- 22400AMX00214000
- 商标
- Zolpidem tartrate
药品价格标准日期
- 2012年6月
销售日期
- 2012年6月
储蓄,到期日期等
- 储蓄
- 节省室温(请参阅“处理预防措施”的部分)
- 截止日期
- 显示在外盒子上
标准名称
- 日本药房
- Zorpidem蹲锁
法规类别
- 精神药物
- 习惯性药物
- 预防措施 - 居住
- 处方药
- 预防措施 - 通过医生等处方使用
作品
- Zolpidem Solipidem 10mg“ Sawai” :在一台平板电脑中,它包含10毫克日本局部Zolpidem。
包括添加剂包括狂欢,轻度无水松鼠,晶体纤维素,氧化钛,钢,硬脂酸盐MG,MG硬脂酸盐,Na,促胃酸,乳糖,Hypromerose和Macrogol 6000。
构图与性表
| 药物 | 直径(mm) | 重量(毫克) | 厚度(mm) | 特点 | 识别代码 | 外形 |
| 膜涂料锁包含电线 | 8.6 | 大约185 | 3.3 | 淡色 | SW Z2 |  |
警告- 服用这种药物后,它可能以波动的状态和伴随症状的睡眠(梦幻症状等)出现。另外,请注意,您可能不会记得觉醒的事件,直到入睡。
|
限制(请勿对下一个患者进行管理)- 1。
- 对该药物成分过敏的患者
- 2。
- 严重肝损伤的患者[代谢功能的降低会增加血液浓度并具有很强的作用。这是给出的
- 3。
- 严重肌肉的患者[症状可能因肌肉放松动作而恶化。这是给出的
- 四个。
- *急性阻塞青光眼的患者[化身可能会增加并可能恶化症状。这是给出的
- 五。
- **作为睡眠伴奏症状异常行为的患者(例如梦幻症状)[严重的自我障碍,其他伤口,事故等可能表达睡眠伴随症状。这是给出的
|
原则上是禁忌的(原则上,它不会对下一个患者进行管理,但请在必要时仔细管理)- 如果由于肺部,肺气肿,支气管哮喘和脑血管疾病而高度降低呼吸功能,则可能导致由于呼吸道控制引起的二氧化碳coococis。这是给出的
|
功效或效果
- 失眠(不包括与精神分裂症和躁狂抑郁有关的失眠)
与效果相关的使用预防措施
- 确认心解疾病后必须进行该药物的给药。对于与躁狂抑郁症相关的精神分裂症或失眠,无法期望这种药物的有效性。
用法和剂量
- 通常,就在睡前之前,将5至10 mg的唑吡坦口服作为Zolpidem Tapic Acid口服。此外,老年人一次开始服用5毫克。由于年龄,症状和疾病,它会适当增加或减少,但每天不会超过10 mg。
与使用和剂量有关的预防措施
- 1。
- 对这种药物的反应存在个体差异,pid -up状态,伴随症状的睡眠(例如梦想倾倒症状等)出现为剂量依赖性,因此当服用这种药物时,给药时会少量开始。 (一次5毫克)。如果您不得不不避免地增加数量,请在观察它的同时仔细管理。但是,它不会超过10毫克,并且会随着症状的改善而尝试减肥。
- 2。
- 服用这种药物时,请在上床睡觉前服用。此外,如果您没有足够的睡眠时间在患者起床之前开始进行活动,或者如果您暂时起床去工作等。当有可能在药用效应消失之前开始活动时。
使用预防措施
谨慎的管理
(请小心地给下一个患者管理)
- 1。
- 无力的患者[强烈表达药物,并且可能出现副作用。这是给出的
- 2。
- 老年人(请参阅“老年人行政”部分)
- 3。
- 心脏障碍的患者[可能发生血压,心脏病患者可能导致症状恶化。这是给出的
- 四个。
- 肝损害的患者(请参阅“禁忌症”部分)
- 五。
- 肾脏疾病的患者[排泄延迟,可能具有很强的作用。这是给出的
- 6。
- 大脑中有机残疾患者[可能有强烈的作用。这是给出的
重要的基本预防措施
- 1。
- 避免连续给药长期使用,因为它可能由于连续使用而导致药物依赖性。继续使用该药物时,请仔细考虑需要治疗。 (请参阅有关“严重副作用”的部分)
- 2。
- 请注意不要从事危险机器(例如驾驶汽车)的操作,因为这种药物的影响可能会在第二天早晨进行,因为嗜睡,注意力,集中和反射性运动能力可能会发生。
相互作用
- 该药物主要由CYP3A4和CYP2C9和CYP1A2(主要是CYP3A4和CYP1A2)代谢。
合并用途的注释
(请注意联合使用)
| 毒品名称,等等 | 临床症状 /度量方法 | 机械 /危险因素 |
| 麻药 | 请仔细管理,因为可能会出现呼吸抑制。 | 呼吸可能会减少。 |
| 中枢神经抑制剂示例势词衍生物巴孔酸衍生物等。 | 谨慎地弄清楚中枢神经系统抑制效应可能会增加。 | 该药物和这些药物具有中枢神经约束。 |
酒精 (喝) | 心理功能,感知,运动功能等可能会增加,因此请尽可能保持饮酒。 | 酒精通过作用于GABA A受体具有中枢神经系统抑制作用,因此可以通过结合使用中枢神经系统抑制作用。 |
| 利福平 | 该药物的血液浓度可能会降低,并且可能会降低作用。 | 药物代谢酶CYP3A4受到指导,促进了该药物的代谢。 |
副作用
概述表达状态,副作用
- 该药物不进行调查,以阐明副作用的频率,例如用法调查。
严重的副作用
(频率未知)- 1。
- 依赖性和戒断症状:由于可能由于连续使用而发生药物依赖性,请谨慎并仔细管理剂量和使用时间。此外,由于剂量突然减少或取消给药,可能会出现戒断症状,例如抗降压失眠,易怒等症状,因此,如果停产管理,则逐渐减轻了体重。
- 2。
- **精神病症状,意识障碍:精神病症状和意识障碍,例如ir妄,混乱,幻觉,幻觉,幻觉,兴奋,兴奋,意识水平降低,因此患者的病情被充满观察并观察到异常。 。
- 3。
- **脚趾 - 阳性,积极的状态,伴随症状的睡眠(梦想礼物等) :脚趾 - 任务后的失忆症(我不记得这次事件,直到入睡,我不记得在路上觉醒的事件。) ,因为您可能有一个流动的状态,伴随症状的睡眠(梦幻症状等) ,请注意服用药物后不要立即上床睡觉,在睡眠期间不要醒来。据报道,汽车等的驾驶,餐点等,并且不记得没有足够唤醒的事件。还报道了包括死亡在内的严重自我障碍,其他伤口和事故。如果发现异常,请停止给药。
- 四个。
- 呼吸抑制:可能发生呼吸抑制。此外,如果将呼吸功能施用给高度降低呼吸功能的患者,则可能引起二氧化碳,因此在这种情况下,应固定气道并应适当进行通风。
- 五。
- 肝功能障碍,黄疸:AST(GOT),ALT(GPT),γ-GTP,Al-P等,肝功能障碍和黄疸可能会发生,因此可以充分观察观察,并且被识别出异常。并采取适当的措施。
另一个副作用
| 未知频率 |
| 精神科 | 睡觉,嗜睡,头痛,昏昏欲睡的感觉,头晕,头晕,焦虑,噩梦,喜怒无常,幻觉,麻木,麻木 |
| 血 | 白细胞,白细胞减少 |
| 肝 | Alt(GPT)增加,γ-GTP增加,AST(GOT)增加,LDH上升 |
| 肾 | 蛋白尿 |
| 消化器官 | 顽皮,呕吐,厌食,腹痛,腹泻,嘴巴幻觉,食欲增加 |
| 心血管 | 呼吸 |
| 高敏性注1) | 皮疹,所以发痒 |
| 骨骼肌 | 疲劳,疲劳,下肢无力,肌肉痉挛 |
| 眼睛 | 双视图,视觉障碍,雾目录 |
| 其他的 | 口渴,不适,下降命令2) ,味道异常 |
- 注意1)如果表达,请停止管理。
- 注2)报道了由于跌倒而导致老年人骨折的一个例子。
老年人的管理
- 嫉妒往往会发生。此外,由于副作用很容易出现,因此应从少量(一次5 mg)开始给药,并且一次不超过10 mg。
管理孕妇,妇产科妇女等。
- 1。
- 孕妇等:只有在确定治疗超过危险的治疗时,才必须服用孕妇或可能怀孕的孕妇。 [尚未确定怀孕期间的管理安全。据报道,这种药物是人类的胎盘,并退休的症状,例如呼吸抑制,抽搐,震颤,易于刺激和难以喂食从怀孕后期服用这种药物的患者出生的儿童。 。这些症状可能被报告为新生短语。这是给出的
- 2。
- 母乳喂养:希望避免对母乳喂养的女性进行服用,但是如果不可避免,请避免护理。 [据报道,它将转向母乳,这可能会导致新生儿。这是给出的
给儿童的管理等
- 尚未建立低出生体重,新生儿,婴儿,婴儿或儿童的安全性(经验更少)。
过量
- 1。
- 症状:仅使用这种药物的过量报告可能会报道意识障碍,但可能会出现严重的症状,例如中枢神经约束,血压降低,呼吸抑制和呼吸暂停。
- 2。
- 治疗:对呼吸,脉搏和血压进行监测,并采取适当的措施,例如呕吐,胃清洁,吸附剂和泻药的给药,并保护气道。此外,当使用明显或怀疑该药物的过量服用这种药物时,使用fulmazenyl(苯二氮卓受体拮抗剂)作为治疗时,请先采取预防措施(禁忌症,谨慎,谨慎的给药,相互作用,相互作用等。该药物不会被血液透析去除。
适用的预防措施
- 在药物时:PTP包装中的药物应从PTP纸中取出并指示服用。 (据报道,PTP薄板的难度 - 到末期在食管粘膜上有一个尖锐的角,甚至是严重的并发症,例如纵隔炎)。
其他预防措施
- 在未鉴定施用药物的情况下接受新药(苯二氮卓受体拮抗剂)服用的患者可能会改变或延迟该药物的镇静和抗癌药。
药代动力学
- 1.生物等效测试○zorpidem soulate片5mg“ sawai”
Zolpidem蹲下片5毫克“ Sawai”,标准制剂是健康的成年男孩的一片片剂(5 mg作为Zolpidem攻击),并测量了血浆Zolpidem浓度。由于对获得的药代动力学参数(AUC,CMAX)的统计分析,证实了两种药物的生物等效性。 1) 
- ○Zorpidem灵魂平板电脑10mg“ sawai”
Zorpidem蹲锁10毫克的“ sawai”,标准制剂是健康的成年男孩(10毫克作为Zolpidem攻击)的一片,并且在单个时间口腔出口(交叉方法)中测量了Zolpidem浓度。由于对获得的药代动力学参数(AUC,CMAX)的统计分析,证实了两种药物的生物等效性。 1) 
- 血浆浓度和参数(例如AUC和CMAX)可能会根据测试条件(例如选择受试者的选择,体内果汁的时间和时间的时间)而有所不同。
- 2.已确认,洗脱行为簿的准备适合日本药房指定的洗脱标准。
5mg片剂1 1片剂用于药物的药物
| cmax(ng/ml) | tmax(HR) | T 1/2 (HR) | AUC 0-8HR (NG/HR/ML) |
| Zolpidem蹲锁5mg“ sawai” | 91.6±36.1 | 0.7±0.8 | 1.7±0.4 | 224.5±84.8 |
| 标准准备(平板电脑,5mg) | 85.8±20.6 | 0.8±0.6 | 1.8±0.3 | 237.3±79.3 |
(平均±SD)
10mg片剂1用于给药1片剂的药代动力学参数
| cmax(ng/ml) | tmax(HR) | T 1/2 (HR) | AUC 0-12HR (NG/HR/ML) |
| Zolpidem蹲下锁10mg“ sawai” | 184.3±59.9 | 0.9±0.9 | 2.5±0.5 | 600.6±210.7 |
| 标准准备(平板电脑,10mg) | 200.6±80.8 | 0.8±0.9 | 2.4±0.6 | 598.0±201.2 |
(平均±SD)
药物
- 人们认为,唑吡坦将有选择地积极作用于GABA A受体复合物的苯二氮卓接头( ω1受体),从而增强了GABA A系统的神经抑制机制,并指示催眠和镇静。睡眠缩短,缓慢的睡眠会增加,而不会影响REM睡眠。
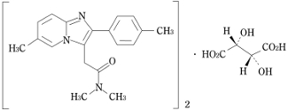
有关活性成分的物理和化学知识
- 通用名称
- Zolpidem tartrate(Zolpidem tartrate)
- 化学名称
- N , N ,6-三甲基-2-(4-甲基苯基)Imidazo [1,2-A]吡啶-3-乙酰氨酰胺半(2 R ,3 R ) - tartrate-tartrate
- 分子
- (C 19 H 21 N 3 O) 2・ c 4 H 6 O 6
- 分子量
- 764.87
- 结构公式

- 特点
- Zorpidem Tartar Acid是白色晶粉。溶于乙酸(100)很容易溶解在N , N-二甲基甲醇或甲醇中,很难溶于水中,并且很难溶于乙醇(99.5)或无水酸性。 0.1mol/L溶于盐酸测试中。光逐渐变成黄色。
处理的预防措施
- ・处理预防措施后,应关闭并保存。
- ・稳定性测试
由于使用PTP包装和玫瑰包装的加速度测试(40°C 75%RH,6个月),据推测,在正常市场分布下,它稳定了三年。 2),3)
包装
- Zolpidem蹲下5mg“ sawai”:
PTP:100片(10片X 10),140片(14片X 10),500片(10片X 50)
玫瑰:500片 - Zolpidem蹲片10mg“ sawai”:
PTP:100片(10片X 10),140片(14片X 10),500片(10片X 50)
玫瑰:500片
主要文献和文档请求目的地
主要文献
- 1)
- Norinori Sakata等人,新药和临床实践, 61 (3),581(2012)。
- 2)
- Sawai Pharmaceutical Co.,Ltd。 - 房屋材料[稳定性测试]
- 3)
- Sawai Pharmaceutical Co.,Ltd。 - 房屋材料[稳定性测试]
文学要求
- [请索取以下的主要文件(包括 - 房屋材料)]
Sawai Pharmaceutical Co.,Ltd.制药信息中心 - 532-0003 532-0003 Miyahara,Yodogawa-ku,大阪 - 2-30
- 电话:0120-381-999
- **传真:06-7708-8966
有关长期管理药物的信息
- 该药物仅限于卫生,劳动和福利部97号(2008年3月19日),药物量仅限于30天。
制造商等的姓名或名称和地址等。
- 制造和分销商
- Sawai Pharmaceutical Co.,Ltd。
- 5-130 Miyahara,大阪Yodogawa-ku