4006 776 356
免费咨询 9:00-18:00
获取国外Zolpidem蹲下锁5mg“ toa” / Zolpidem蹲锁10mg“ towa”jazh-C药品价格,使用等信息,最快 24 小时回馈
出境医 / 海外药品 / Zolpidem蹲下锁5mg“ toa” / Zolpidem蹲锁10mg“ towa”jazh-C
Zolpidem蹲下锁5mg“ toa” / Zolpidem蹲锁10mg“ towa”jazh-C
2012年6月
Zolpidem蹲下锁5mg“ toa” / Zolpidem蹲锁10mg“ towa”
创建或修订年
- **于2022年7月修订(第8版,禁忌的部分等)
- * 2019年7月修订(第七版)
日本标准产品分类编号
- 871129
医学分类名称
- 睡眠代理
批准,等等
- 销售名称
- Zolpidem蹲锁5mg“ towa”
销售名称代码
- YJ代码
- 1129009F1289
批准 /许可号码
- 批准编号
- 22400AMX00209
- 欧洲商品名称
- Zolpidem tartrate片5mg“ Towa”
药品价格标准日期
- 2012年6月
销售日期
- 2012年6月
到期日期,等等。
- 保存方法:
- 室温存储(请参阅“处理预防措施”的部分)
- 到期日期:
- 在外部盒子和标签中描述
标准名称
- 日本药房
- Zorpidem蹲锁
法规类别
- 精神药物,栖息地1) ,处方药2)
- 注1)预防措施 - 居住性
- 注2)用处方使用医生等。
作品
- 1片中的活性成分
- 日本局Zolpidem壁酸... 5mg
- 添加剂
- 乳糖氢气,晶体纤维素,淀粉Na,carmelose,carmelose,carmelose,carmelose,羟丙基,Mg硬脂酸盐,大摩糖,6000个大糖醇,氧化钛,氧化钛,铁sinzoide,sinzoide,sinzoide,sinzoide,sin sinzoide,sin sinzoide,carnaubararou,carnaubararou,carnaubararou,carnaubararou,carnaubararou
特点
- 膜涂层锁包含浅色电线
- 身份代码/身体
- TW324
- 标识代码/包装
- TW324
- 外部/表格

- 外部/背部

- 外部/侧面

- 锁直径(mm)
- 6.6
- 厚度(mm)
- 2.6
- 质量(mg)
- 93
- 销售名称
- Zolpidem蹲锁10mg“ towa”
销售名称代码
- YJ代码
- 1129009F2285
批准 /许可号码
- 批准编号
- 22400AMX00210
- 欧洲商品名称
- Zolpidem tartrate片10mg“ Towa”
药品价格标准日期
- 2012年6月
销售日期
- 2012年6月
到期日期,等等。
- 保存方法:
- 室温存储(请参阅“处理预防措施”的部分)
- 到期日期:
- 在外部盒子和标签中描述
标准名称
- 日本药房
- Zorpidem蹲锁
法规类别
- 精神药物,栖息地1) ,处方药2)
- 注1)预防措施 - 居住性
- 注2)用处方使用医生等。
作品
- 1片中的活性成分
- 日本局Zolpidem壁酸... 10mg
- 添加剂
- 乳糖氢气,晶体纤维素,淀粉Na,carmelose,carmelose,carmelose,carmelose,羟丙基,Mg硬脂酸盐,大摩糖,6000个大糖醇,氧化钛,氧化钛,铁sinzoide,sinzoide,sinzoide,sinzoide,sin sinzoide,sin sinzoide,carnaubararou,carnaubararou,carnaubararou,carnaubararou,carnaubararou
特点
- 膜涂层锁包含浅色电线
- 身份代码/身体
- TW325
- 标识代码/包装
- TW325
- 外部/表格

- 外部/背部

- 外部/侧面

- 锁直径(mm)
- 8.7
- 厚度(mm)
- 3.3
- 质量(mg)
- 185
一般名称
- Zorpidem蹲锁
警告服用这种药物后,它可能出现在飘动的状态和伴随症状的睡眠状态(梦幻症状等)。另外,请注意,您可能不会记得觉醒的事件,直到入睡。 |
限制(请勿对下一个患者进行管理)- 1。
- 对该药物成分过敏的患者
- 2。
- 严重肝损伤的患者[代谢功能的降低会增加血液浓度并具有很强的作用。这是给出的
- 3。
- 严重肌肉的患者[肌肉松弛可能会使症状恶化。这是给出的
- 四个。
- *急性阻塞性角度的角度青光眼[化身可能会增加并可能恶化症状。这是给出的
- 五。
- **曾经是异常行为作为睡眠伴奏症状(例如梦幻症状等)的患者[严重的自我障碍,其他伤口,事故等可能表达伴随症状的睡眠。这是给出的
|
原则上是禁忌的(原则上,它不会对下一个患者进行管理,但请在必要时仔细管理)如果由于肺部,肺气肿,支气管哮喘和脑血管疾病而高度降低呼吸功能,则可能导致由于呼吸道控制引起的二氧化碳coocosis。这是给出的 |
功效 /效果
失眠(不包括与精神分裂症和躁狂抑郁有关的失眠)
与效果相关的使用预防措施
- 确认心解疾病后必须进行该药物的给药。对于与躁狂抑郁症相关的精神分裂症或失眠,无法期望这种药物的有效性。
用法 /剂量
- 通常,对于成年人,5-10毫克的Zolpidem是口服的,就在睡前之前口服。此外,一次管理从5毫克开始到老年人。由于年龄,症状和疾病,它会适当增加或减少,但每天不会超过10 mg。
与使用和剂量有关的预防措施
- 1。
- 对这种药物的反应存在个体差异,作为一种深度状态,伴随症状的睡眠(梦想倾倒症状等)出现为剂量依赖性,因此当服用该药物时,从少量开始使用该药物(5 mg)一次)。如果您不得不不避免地增加数量,请在观察它的同时仔细管理。但是,它不会超过10毫克,并且会随着症状的改善而尝试减肥。
- 2。
- 服用这种药物时,请在上床睡觉前服用。此外,如果您没有足够的睡眠时间在患者起床之前开始进行活动,或者如果您暂时起床去工作等。当有可能在药用效应消失之前开始活动时。
使用预防措施
谨慎的管理
(请小心地给下一个患者管理)
- 1。
- 无力的患者[药物的作用得到强烈表达,并且可能出现副作用。这是给出的
- 2。
- 老年人(请参阅有关“老年管理”的部分)
- 3。
- 心力衰竭的患者[可能发生血压,心脏病患者可能会恶化症状。这是给出的
- 四个。
- 肝损害的患者(请参阅“禁忌症”部分)
- 五。
- 肾脏疾病的患者[排泄被延迟,并且可能出现影响。这是给出的
- 6。
- 大脑中有机残疾患者[可能有强烈的作用。这是给出的
重要的基本预防措施
- 1.避免连续给药长期使用,因为它可能由于连续使用而导致药物依赖性。继续使用该药物时,请仔细考虑需要治疗。 (请参阅有关“严重副作用”的部分)
- 2.注意不要从事危险机器(例如驾驶汽车)的操作,因为这种药物的影响可能是在第二天早晨之后的,因为可能会发生嗜睡,注意力,集中和反射性运动技能。
相互作用
互动的轮廓
该药物主要由CYP3A4和CYP2C9和CYP1A2(主要是CYP3A4和CYP1A2)代谢。
合并用途的注释
(请注意联合使用)
- 1。麻醉药,例如毒品名称
- 临床症状 /度量方法
- 请仔细管理,因为可能会出现呼吸抑制。
- 机械 /危险因素
- 呼吸可能会减少。
- 2。药物名称,例如中枢神经系统抑制剂,势词衍生物,巴孔酸衍生物等。
- 临床症状 /度量方法
- 谨慎地弄清楚中枢神经系统抑制效应可能会增加。
- 机械 /危险因素
- 该药物和这些药物具有中枢神经约束。
- 3。酒精(酒精),例如毒品名称
- 临床症状 /度量方法
- 心理功能,感知,运动功能等可能会增加,因此请尽可能保持饮酒。
- 机械 /危险因素
- 酒精通过作用于GABA A受体具有中枢神经系统抑制作用,因此可以通过结合使用中枢神经系统抑制作用。
- 四个。利福平诸如药物名称
- 临床症状 /度量方法
- 该药物的血液浓度可能会降低,并且可能会降低作用。
- 机械 /危险因素
- 药物代谢酶CYP3A4受到指导,促进了该药物的代谢。
副作用
概述表达状态,副作用
- 该药物不进行调查,以阐明副作用的频率,例如用法调查。
严重的副作用(频率未知)
- 1。
- 依赖性和戒断症状:由于可能由于连续使用而发生药物依赖性,请谨慎并仔细管理剂量和使用时间。此外,由于剂量突然减少或取消给药,可能会出现戒断症状,例如抗降压失眠,易怒等症状,因此,如果停产管理,则逐渐减轻了体重。
- 2。
- **精神症状,意识障碍:精神症状和意识障碍,例如ir妄,混乱,幻觉,幻觉,幻觉,兴奋,意识的降低等,因此可能会完全观察到患者的病情。在某些情况下,已经观察到异常。 ,停止管理。
- 3。
- **脚趾 - 阳性可观的,笨拙的状态,伴随症状的睡眠(梦幻症状等) :过渡后的后义务(我在入睡之前不记得事件,我不记得在途中觉醒的事件。)可能出现在波动的状态和伴随症状的睡眠状态(梦幻症状等) ,请注意服用毒品后不要立即上床睡觉。据报道,汽车等的驾驶,餐点等,并且不记得没有足够唤醒的事件。还报道了包括死亡在内的严重自我障碍,其他伤口和事故。如果发现异常,请停止给药。
- 四个。
- 呼吸抑制:可能发生呼吸抑制。此外,如果将呼吸功能施用给高度降低呼吸功能的患者,则可能引起二氧化碳,因此在这种情况下,应固定气道并应适当进行通风。
- 五。
- 肝功能障碍,黄疸:AST(GOT),ALT(GPT),γ-GTP,Al-P等,肝功能障碍和黄疸可能会发生,因此可以充分观察观察,并且被识别出异常。并采取适当的措施。
另一个副作用
- 1.精神神经系统
- 未知频率
- 睡觉,嗜睡,头痛,昏昏欲睡的感觉,头晕,头晕,焦虑,噩梦,喜怒无常,幻觉,麻木,麻木
- 2.血液
- 未知频率
- 白细胞,白细胞减少
- 3.肝脏
- 未知频率
- Alt(GPT)增加,γ-GTP增加,AST(GOT)增加,LDH上升
- 4.肾脏
- 未知频率
- 蛋白尿
- 5.消化
- 未知频率
- 顽皮,呕吐,厌食,腹痛,腹泻,嘴巴幻觉,食欲增加
- 6.心血管
- 未知频率
- 呼吸
- 7.高敏注3)
- 未知频率
- 皮疹,所以发痒
- 8.骨骼肌
- 未知频率
- 大,疲劳,下肢无力,肌肉痉挛
- 9.眼睛
- 未知频率
- 双视图,视觉障碍,雾目录
- 10.其他
- 未知频率
- 口渴,不适,下降秩序4) ,味道异常
- 注3)如果表达,则停止给药。
- 注4)报道了由于跌倒而导致老年人骨折的一个例子。
老年人的管理
- 嫉妒往往会发生。此外,由于副作用很容易出现,因此应从少量(一次5 mg)开始给药,并且一次不超过10 mg。
管理孕妇,妇产科妇女等。
- 1。
- 孕妇等:仅当治疗的治疗大于危险时,才必须服用孕妇或可能怀孕的孕妇。 [尚未确定怀孕期间的管理安全。据报道,这种药物在人类中通过了胎盘,而在怀孕晚期从患者服用Zolpidem stapicide的患者出生的孩子,呼吸,抽搐,漫步,轻松刺激和喂食困难。可能出现症状。这些症状可能被报告为新生短语。这是给出的
- 2。
- 母乳喂养:希望避免在哺乳期间给女性服用,但是如果您必须这样做,请避免哺乳。 [据报道,它将转向母乳喂养,并有可能被新生儿销毁的风险。这是给出的
给儿童的管理等
- 尚未确定低出生体重,新生儿,婴儿,婴儿或儿童的安全。 (使用少的经验)
过量
- 症状:仅散型谈话酸产物报告已经报道了从睡眠到昏迷的意识,但可能会出现严重的症状,例如中枢神经系统抑制,血压,呼吸道抑制和呼吸暂停。
- 治疗:对呼吸,脉搏和血压进行监测,并采取适当的措施,例如呕吐,胃清洁,吸附剂和泻药的给药,并保护气道。此外,当使用明显或怀疑该药物的过量服用这种药物时,使用fulmazenyl(苯二氮卓受体拮抗剂)作为治疗时,请先采取预防措施(禁忌症,谨慎,谨慎的给药,相互作用,相互作用等。该药物不会被血液透析去除。
适用的预防措施
- 在药物时:PTP包装中的药物应从PTP纸中取出并指示服用。据报道,食管粘膜的难度很难在食管粘膜上具有硬尖角,然后引起严重的并发症,例如纵隔炎。这是给出的
其他预防措施
- 在未鉴定药物的未鉴定的新药(苯二氮卓受体拮抗剂)中服用的患者可能会改变或延迟这种药物。
药代动力学
- 1.生物当量测试
- (1)zorpidem蹲锁10mg“ towa”
- 通过交叉方法,通过管理快速耗尽的器官(n = 22),通过交叉方法固定血浆的柔骨蹲锁10毫克和标准配方为1片(10 mg作为Zolpidem攻击),以固定血浆不变的身体浓度(n = 22)。根据90%置信区定律对获得的药物体参数(AUC,CMAX)进行统计分析的测量和执行统计分析,它在log(0.80)到log(1.25)的范围内(1.25),两种药物都是等效的。性别是确认1) 。


- (平均±SD,n = 22)
- 血浆浓度和参数(例如AUC和CMAX)可能会根据测试条件(例如选择受试者的选择,收集体液的时间数量等)而有所不同。
- (2)Zorpidem挤压Tap片5mg“ Towa”
- ZOLPIDEM蹲锁5mg“ Towa”基于“具有不同含量的口服固体配方的生物等效测试指南(2006年11月24日,药物和食品检查号1124004)”,Zolpidem solarate Shrine Shrine 10 mg当“ Towa”被用作“ Towa”时标准配方,洗脱行为相等,被认为是生物学的。
- 2.在洗脱行为中
- Zolpidem蹲锁5 mg“ TOA”和Zolpidem蹲锁10毫克“ TOA”已被证实与Nippon Pharmaceutical Pharmaceutical Pharmaceuticals 2)2)的Nippon Pharmaceutical Pharmacepartical Pharmace compation compaties。
药物
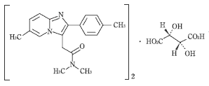
它与ω1受体有选择地结合,该受体是苯二氮卓受体的亚型,以增强GABA A系统抑制机制,以表明催眠镇静。有关活性成分的物理和化学知识
结构公式:
常规名称:Zolpidem tartrate(Zolpidem tartrate)化学名称: N,N ,6-三甲基-2-(4-甲基苯基)Imidazo [1,2-α]吡啶-3-乙酰氨酰胺Hemi-(2 R ,3 R ) - tartrate-tartrate分子类型:(C 19 H 21 N 3 O) 2 c 4 H 6 O 6分子量:764.87性:白色结晶粉。溶于乙酸(100)很容易溶解在N,N-二甲基甲醇或甲醇中,很难溶于水中,并且很难溶于乙醇(99.5)或无水酸性。 0.1mol/L溶于盐酸测试中。光逐渐变成黄色。处理的预防措施
- 1.注意
- 平板电脑分开后,在避免光线的同时保存。
- 2.稳定性测试
- 由于使用最终包装产品(40°C,相对湿度,75%,6个月),Zolpidem挤压片剂5毫克“ TOA”和Zolpidem Talking Tablapt 10 mg的“ TOWA”在3年的情况下,Zolpidem挤压了5毫克的片剂,Zolpidem挤压了5毫克的片剂,Zolpidem挤压了3年正常市场分布。假定它是稳定的4)5) 。
包装
- Zolpidem蹲锁5mg“ Towa” :100片,500片(PTP)140片(14片X 10:PTP)700片(14片X 50:PTP)500片(玫瑰)
- Zolpidem蹲板10毫克“ Towa” :100片,500片(PTP)140片(14片X 10:PTP)700片(14片X 50:PTP)500片(玫瑰)
主要文献和文档请求目的地
主要文献
- 1)
- Oki Mamoru:医疗和药房,67(3),433,2012
- 2)
- Towa Pharmaceutical Co.,Ltd。in -House Materials:Ernuon测试(锁5mg)
- 3)
- Towa Pharmaceutical Co.,Ltd。在 - 房屋材料:Lutment测试(锁10mg)
- 四)
- Towa Pharmaceutical Co.,Ltd。在房屋材料中:稳定性测试(锁5mg)
- 五)
- Towa Pharmaceutical Co.,Ltd。在房屋材料中:稳定性测试(锁10mg)
**文学要求 /产品信息查询
- Towa Pharmaceutical Co.,Ltd.学术部DI中心
- 570-0081 2-15,大阪莫里格奇·希奥西 - 乔
0120-108-932传真06-7177-7379- https://med.towayakuhin.co.jp/medical/
有关长期管理药物的信息
- 该药物基于卫生,劳工和福利部97号(2008年3月19日),最高药物限制为30天。
制造商等的姓名或名称和地址等。
- 制造和分销商
- Towa Pharmaceutical Co.,Ltd。
- KADOMA -SHI,大阪2nd No. 11 Shimbashi -Cho