4006 776 356
免费咨询 9:00-18:00
获取国外Zolpidem蹲锁5mg“辉瑞” / zorpidem蹲锁10mg“辉瑞”jazh-CN药品价格,使用等信息,最快 24 小时回馈
出境医 / 海外药品 / Zolpidem蹲锁5mg“辉瑞” / zorpidem蹲锁10mg“辉瑞”jazh-CN
Zolpidem蹲锁5mg“辉瑞” / zorpidem蹲锁10mg“辉瑞”jazh-CN
2012年6月
Zolpidem蹲锁5mg“辉瑞” / zorpidem蹲锁10mg“辉瑞”
创建或修订年
- **于2022年7月修订(第8版)
- * 2019年7月修订
日本标准产品分类编号
- 871129
医学分类名称
- 睡眠代理
批准,等等
- 销售名称
- Zolpidem蹲锁5mg“辉瑞”
销售名称代码
- 1129009F1319
批准 /许可号码
- 批准编号
- 22400AMX00463
- 商标
- Zolpidem tartrate片5mg [辉瑞]
药品价格标准日期
- 2012年6月
销售日期
- 2012年6月
储蓄,到期日期等
- 储蓄
- 室温存储,密封容器(但平板电脑拆分后)
- 截止日期
- 最后一年在外部盒子等上进行了描述(请参阅处理预防措施)
标准名称
- 日本药房
- Zorpidem蹲锁
法规类别
- 精神药物
- habitical毒品1)
- 注意1)预防措施 - 习惯性
- 处方药2)
- 注2)注意 - 医生的处方使用。
作品
- 一台平板电脑:
有效成分 - 日本局Zorpidem Solpidem 5mg
- 添加剂
- 乳糖氢,晶体纤维素,氢化脂蛋白,淀粉钠,硬脂酸镁,6000大乳糖醇,氧化钛,中西锡二,黄色Trin氧化物和Carnaubarou
特点
- 外表面

- 下侧

- 边

- 直径
- 6.6mm
- 厚度
- 2.7mm
- 重量
- 93毫克
- 识别代码
- ZO 5
pf - 色调,等等
- 薄膜涂料片带浅色电线
- 销售名称
- Zolpidem蹲锁10mg“辉瑞”
销售名称代码
- 1129009F2315
批准 /许可号码
- 批准编号
- 22400AMX00464
- 商标
- Zolpidem tartrate片10mg [辉瑞]
药品价格标准日期
- 2012年6月
销售日期
- 2012年6月
储蓄,到期日期等
- 储蓄
- 室温存储,密封容器(但平板电脑拆分后)
- 截止日期
- 最后一年在外部盒子等上进行了描述(请参阅处理预防措施)
标准名称
- 日本药房
- Zorpidem蹲锁
法规类别
- 精神药物
- habitical毒品1)
- 注意1)预防措施 - 习惯性
- 处方药2)
- 注2)注意 - 医生的处方使用。
作品
- 一台平板电脑:
有效成分 - 日本局Zorpidem 10mg
- 添加剂
- 乳糖氢,晶体纤维素,氢化脂蛋白,淀粉钠,硬脂酸镁,6000大乳糖醇,氧化钛,中西锡二,黄色Trin氧化物和Carnaubarou
特点
- 外表面

- 下侧

- 边

- 直径
- 8.6毫米
- 厚度
- 3.4mm
- 重量
- 185mg
- 识别代码
- ZO 10
pf - 色调,等等
- 薄膜涂料片带浅色电线
警告- 服用这种药物后,它可能出现在飘动的状态和伴随症状的睡眠状态(梦幻症状等)。另外,请注意,您可能不会记得觉醒的事件,直到入睡。
|
限制(请勿对下一个患者进行管理)- 1。
- 对该药物成分过敏的患者
- 2。
- 严重肝损伤的患者[代谢功能的降低会增加血液浓度并具有很强的作用。这是给出的
- 3。
- 严重肌肉的患者[肌肉松弛可能会使症状恶化。这是给出的
- 四个。
- *急性阻塞,青光眼患者[眼内压力增加并可能恶化症状。这是给出的
- 五。
- **曾经是异常行为作为睡眠伴奏症状(例如梦幻症状)的患者[严重的自我障碍,其他伤口,事故等可能表达伴随的睡眠症状。这是给出的
|
原则上是禁忌的(原则上,它不会对下一个患者进行管理,但请在必要时仔细管理)- 如果由于肺部,肺气肿,支气管哮喘和脑血管疾病而高度降低呼吸功能,则可能导致由于呼吸道控制引起的二氧化碳coocosis。这是给出的
|
功效或效果
- 失眠(不包括与精神分裂症和躁狂抑郁有关的失眠)
与效果相关的使用预防措施
- 确认心解疾病后必须进行该药物的给药。对于与躁狂抑郁症相关的精神分裂症或失眠,无法期望这种药物的有效性。
用法和剂量
- 通常,就在睡前之前,将5至10 mg的唑吡坦口服作为Zolpidem Tapic Acid口服。此外,老年人一次开始服用5毫克。由于年龄,症状和疾病,它会适当增加或减少,但每天不会超过10 mg。
与使用和剂量有关的预防措施
- 1。
- 对这种药物的反应存在个体差异,作为一种深度状态,伴随症状的睡眠(梦想倾倒症状等)出现为剂量依赖性,因此当服用该药物时,从少量开始使用该药物(5 mg)一次)。如果您不得不不避免地增加数量,请在观察它的同时仔细管理。但是,它不会超过10毫克,并且会随着症状的改善而尝试减肥。
- 2。
- 服用这种药物时,请在上床睡觉前服用。此外,如果您没有足够的睡眠时间在患者起床之前开始进行活动,或者如果您暂时起床去工作等。当有可能在药用效应消失之前开始活动时。
使用预防措施
谨慎的管理
(请小心地给下一个患者管理)
- 1。
- 无力的患者[药物的作用得到强烈表达,并且可能出现副作用。这是给出的
- 2。
- 老年人[请参阅“老年人行政”部分]
- 3。
- 心力衰竭的患者[可能发生血压,心脏病患者可能会恶化症状。这是给出的
- 四个。
- 肝损害的患者[请参阅“禁忌症”部分]
- 五。
- 肾脏疾病的患者[排泄被延迟,并且可能出现影响。这是给出的
- 6。
- 大脑中有机残疾患者[可能有强烈的作用。这是给出的
重要的基本预防措施
- 1。
- 避免连续给药长期使用,因为它可能由于连续使用而导致药物依赖性。继续使用该药物时,请仔细考虑需要治疗。 [请参阅有关“严重副作用”的部分]
- 2。
- 请注意不要从事危险机器(例如驾驶汽车)的操作,因为这种药物的影响可能会在第二天早晨进行,因为嗜睡,注意力,集中和反射性运动能力可能会发生。
相互作用
- 该药物主要由CYP3A4和CYP2C9和CYP1A2(主要是CYP3A4和CYP1A2)代谢。
合并用途的注释
(请注意联合使用)
- 1。麻醉药,例如毒品名称
- 临床症状 /度量方法
- 请仔细管理,因为可能会出现呼吸抑制。
- 机械 /危险因素
- 呼吸可能会减少。
- 2。药物名称,例如中枢神经系统抑制剂,现象阳极衍生物巴孔酸衍生物等。
- 临床症状 /度量方法
- 谨慎地弄清楚中枢神经系统抑制效应可能会增加。
- 机械 /危险因素
- 该药物和这些药物具有中枢神经约束。
- 3。酒精(酒精),例如毒品名称
- 临床症状 /度量方法
- 心理功能,感知,运动功能等可能会增加,因此请尽可能保持饮酒。
- 机械 /危险因素
- 酒精通过作用于GABA A受体具有中枢神经系统抑制作用,因此可以通过结合使用中枢神经系统抑制作用。
- 四个。利福平诸如药物名称
- 临床症状 /度量方法
- 该药物的血液浓度可能会降低,并且可能会降低作用。
- 机械 /危险因素
- 药物代谢酶CYP3A4受到指导,促进了该药物的代谢。
副作用
概述表达状态,副作用
- 该药物不进行调查,以阐明副作用的频率,例如用法调查。
严重的副作用
- 1.依赖性,戒断症状(频率未知)
- 由于连续使用可能会导致药物依赖性,因此请注意观察,并小心施用用于剂量和使用期。此外,由于剂量突然减少或取消给药,可能会出现戒断症状,例如抗降压失眠,易怒等症状,因此,如果停产管理,则逐渐减轻了体重。
- 2. **精神症状,意识障碍(频率未知)
- 可能会出现精神症状和意识障碍,例如妄想症,混乱,幻觉,兴奋,抑郁和意识水平的降低,因此请确保观察患者的状况并在发现异常时停止给药。
- 3. **脚趾 - 阳性可观的,积极的状态,伴随症状的睡眠(梦幻症状等) (频率未知)
- 太阳性海报(我不记得这些事件直到服用药物后入睡,我不记得觉醒时的事件),睡眠状态,伴随症状的睡眠状态(梦幻症状等)可能会出现。一定要立即上床睡觉,不要在睡眠期间醒来。据报道,汽车等的驾驶,餐点等,并且不记得没有足够唤醒的事件。还报道了包括死亡在内的严重自我障碍,其他伤口和事故。如果发现异常,请停止给药。
- 4.呼吸抑制(频率未知)
- 呼吸抑制可能会出现。此外,如果将呼吸功能施用给高度降低呼吸功能的患者,则可能引起二氧化碳,因此在这种情况下,应固定气道并应适当进行通风。
- 5.肝功能障碍,黄疸(频率未知)
- 可能会出现AST(GOT),ALT(GPT),γ-GTP,Al-P上升的肝功能障碍和黄疸,因此,如果您观察到它,并且如果发现任何异常,将给予给药。取消并采取适当的措施。
另一个副作用
- 1.精神神经系统(频率未知)
- 睡觉,嗜睡,头痛,昏昏欲睡的感觉,头晕,头晕,焦虑,噩梦,喜怒无常,幻觉,麻木,麻木
- 2.血液(频率未知)
- 白细胞,白细胞减少
- 3.肝(频率未知)
- Alt(GPT)增加,γ-GTP增加,AST(GOT)增加,LDH上升
- 4.肾脏(频率未知)
- 蛋白尿
- 5.消化(频率未知)
- 顽皮,呕吐,厌食,腹痛,腹泻,嘴巴幻觉,食欲增加
- 6.心血管(频率未知)
- 呼吸
- 7.高敏性注1) (未知频率)
- 皮疹,所以发痒
- 8.骨骼肌(频率未知)
- 疲劳,疲劳,下肢无力,肌肉痉挛
- 9.眼睛(频率未知)
- 双视图,视觉障碍,雾目录
- 10.其他(频率未知)
- 口渴,不适,跌落注2) ,味道异常
- 注1:如果表示,请停止管理。
- 注2:报道了由于跌倒而导致的老年骨折的例子。
老年人的管理
- 嫉妒往往会发生。此外,由于可能出现副作用,因此应从少量(一次5 mg)开始给药,并且一次不超过10 mg。
管理孕妇,妇产科妇女等。
- 1.孕妇等
- 对于可能怀孕的孕妇或妇女,只有确定治疗超过危险的治疗时才进行管理。 [尚未确定怀孕期间的管理安全。据报道,这种药物是人类的胎盘,并退休的症状,例如呼吸抑制,抽搐,震颤,易于刺激和难以喂食从怀孕后期服用这种药物的患者出生的儿童。 。这些症状可能被报告为新生短语。这是给出的
- 2.母乳喂养的女人
- 希望在母乳喂养时避免给女性服用,但是如果不可避免,请避免母乳喂养。 [据报道,它将转向母乳喂养,并有可能被新生儿销毁的风险。这是给出的
给儿童的管理等
- 尚未建立低出生体重,新生儿,婴儿,婴儿或儿童的安全性(经验更少)。
过量
- 症状
- 仅在这种药物的过量服用中,据报道,可能会报告意识障碍,但可能会出现严重的症状,例如中枢神经系统抑制,血压降低,呼吸抑制和磨损。
- 治疗
- 除了监测呼吸,脉搏和血压外,还采取了适当的措施,例如呕吐,胃清洁,吸附剂和泻药给药,输液和气道。此外,当使用明显或怀疑该药物的过量服用这种药物时,使用fulmazenyl(苯二氮卓受体拮抗剂)作为治疗时,请先采取预防措施(禁忌症,谨慎,谨慎的给药,相互作用,相互作用等。该药物不会被血液透析去除。
适用的预防措施
- 在毒品时
- PTP包装药物应从PTP纸中取出并教给它。据报道,食管粘膜的难度很难在食管粘膜上具有硬尖角,然后引起严重的并发症,例如纵隔炎。这是给出的
其他预防措施
- 在未鉴定药物的未鉴定的新药(苯二氮卓受体拮抗剂)中服用的患者可能会改变或延迟这种药物。
药代动力学
- 1.生物等效测试1,2)
- (1) zorpidem蹲锁5mg“辉瑞”
- Zorpidem蹲下锁5毫克的“辉瑞”和1片(5 mg作为Zolpidem说话)仅通过跨界方法单独给健康的成年男孩,以测量血浆中的不愉快浓度。由于90%置信区的统计分析,关于90%的置信度分析了关于90%类似药物的参数(AUC,C max ),它在log(0.80)到log(1.25)的范围内,并且两种药丸的生物学当量均已证实。
(请参阅表1) 
血浆浓度和参数(例如AUC和C max)可能会根据测试条件(例如选择受试者的选择,少年的时间数量等)而有所不同。
- (2) zorpidem蹲锁10mg“辉瑞”
- Zolpidem蹲锁10毫克的“辉瑞”和标准配方是通过交叉方法的一个片剂(10 mg作为Zolpidem攻击),并且可以在健康的成年男孩中单个时间器官中的血浆中的不愉快浓度测量。关于药物样参数(AUC,C MAX )的90%置信区法的统计分析的结果,它在log(0.80)到log(1.25)的范围内,并且两种药丸的生物学当量已确认。 。
(请参阅表2) 
血浆浓度和参数(例如AUC和C max)可能会根据测试条件(例如选择受试者的选择,少年的时间数量等)而有所不同。
- 2.洗脱行为3,4)
- Zolpidem蹲下锁5 mg“辉瑞”和Zorpidem Talk Lock 10 mg 10 mg“辉瑞”的“辉瑞”已被证实与日本药品中设置的Zolpidem Sorus片剂的洗脱标准兼容。
表格1
| 判断参数 AUC 0-24 (ng/hr/ml) | 判断参数 c最大 (ng/ml) | 参考参数 t max (HR) | 参考参数 T 1/2 (HR) |
| Zolpidem蹲锁5mg“辉瑞” | 310±137 | 85±32 | 0.69±0.31 | 2.00±0.39 |
| 标准准备(平板电脑,5mg) | 290±132 | 78±29 | 0.98±0.44 | 2.10±0.36 |
(平均±标准偏差,n = 20)
表2
| 判断参数 AUC 0-24 (ng/hr/ml) | 判断参数 c最大 (ng/ml) | 参考参数 t max (HR)
| 参考参数 T 1/2 (HR) |
| Zolpidem蹲锁10mg“辉瑞” | 530±265 | 142±44 | 1.23±1.08 | 1.86±0.56 |
| 标准准备(平板电脑,10mg) | 577±309 | 158±75 | 1.09±0.85 | 1.92±0.66 |
(平均±标准偏差,n = 20)
药物
- 尽管它不是苯二氮卓类化合物,但它被选择性地粘结到苯二氮卓类化合物,并显示出相同的效果。苯二氮卓类接合的位点存在于抑制的神经递质GABA A受体亚基中,并且通过在此结合,GABA A受体会增加GABA的亲和力,并增强GABA A System Assy抑制机制。显示了催眠式镇静效应5) 。
有关活性成分的物理和化学知识
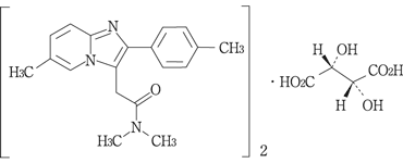
- 通用名称
- Zolpidem tartrate
- 化学名称
- N , N ,6-三甲基-2-(4-甲基苯基)Imidazo [1,2-α]吡啶-3-乙酰氨酰胺半(2 r ,3 R ) - tartrate-tartrate
- 分子
- (C 19 H 21 N 3 O) 2・ c 4 H 6 O 6
- 分子量
- 764.87
- 结构公式

- 特点
- 它是白色结晶粉。
溶于乙酸(100)很容易溶解在N , N-二甲基甲醇或甲醇中,很难溶于水中,并且很难溶于乙醇(99.5)或无水酸性。
0.1mol/L溶于盐酸测试中。
光逐渐变成黄色。
处理的预防措施
- 稳定性测试6,7)
- 由于加速器(40°C,相对湿度为75%,6个月),据推测,在正常的市场分布下,Zolpidem squer锁5mg“辉瑞”和Zorpidem squer tap 10 mg“辉瑞”稳定了3年。稻田。
包装
- Zolpidem蹲锁5mg“辉瑞”:100片,140片,500片(PTP)
500片(玫瑰) - Zolpidem蹲锁10mg“辉瑞”:100片,140片,500片(PTP)
500片(玫瑰)
主要文献和文档请求目的地
主要文献
- 1)
- 在 - 房屋材料中:生物等效测试(Zolpidem挤压Tap片5mg“辉瑞”)[L20110627106]
- 2)
- 在 - 房屋材料中:生物等效测试(Zolpidem squeeztone神社片10mg“辉瑞”)[L20110627110]
- 3)
- 在 - 房屋材料:洗脱测试(Zolpidem蹲锁片5mg“辉瑞”)[L20110627105]
- 四)
- 在 - 房屋材料中:洗脱测试(Zolpidem蹲水龙头片10mg“辉瑞”)[L20110627109]
- 五)
- 第17修订后的日本药房描述Hirokawa Shoten:C-2897,2016
- 6)
- 在 - 房屋材料:稳定性测试(加速度测试)(Zolpidem挤压Tap Tap 5mg“辉瑞”)[L10110627107]
- 7)
- 在 - 房屋材料:稳定性测试(加速度测试)(Zolpidem挤压Tap Tap 10mg“辉瑞”)[L10110627100]
文学要求
- 请在下面请求“主要文献”中描述的内部材料。
Pfizer Co.,Ltd。产品信息中心 - 3-22-7 Yoyogi,Shibuya-Ku,东京151-8589
- 学术信息拨号0120-664-467
- 传真03-3379-3053
有关长期管理药物的信息
- 根据卫生,劳动和福利部的第97号通知(日期为2006年3月19日,对卫生,劳动和福利部的部分修正案,2006年的第107号修正案,该药物一次不得超过30天(日期为2006年3月19日) )。
制造商等的姓名或名称和地址等。
- 制造和销售
- 辉瑞日本公司
- 3-22-7 Yoyogi,shibuya-ku,东京
- 合伙
- 我的LAN Pharmaceutical Co.,Ltd。
- 2-6 honmachi,chuo -ku,大阪-shi