4006 776 356
免费咨询 9:00-18:00
获取国外Zolpidem蹲锁5mg“ afp” / zorpidem squer锁10mg“ afp”jaz药品价格,使用等信息,最快 24 小时回馈
出境医 / 海外药品 / Zolpidem蹲锁5mg“ afp” / zorpidem squer锁10mg“ afp”jaz
Zolpidem蹲锁5mg“ afp” / zorpidem squer锁10mg“ afp”jaz
2012年6月
Zolpidem蹲锁5mg“ afp” / zorpidem squer锁10mg“ afp”
创建或修订年
- **于2022年7月修订(第9版)
- *修订于2019年9月(第8版)
日本标准产品分类编号
- 871129
医学分类名称
- 睡眠代理
批准,等等
- 销售名称
- Zolpidem蹲锁5mg“ afp”
销售名称代码
- 1129009F1041
批准 /许可号码
- 批准编号
- 22400AMX00223
- 商标
- ZOLPIDEM TARTRATE片5mg“ AFP”
药品价格标准日期
- 2012年6月
销售日期
- 2012年6月
储蓄,到期日期等
- 保存:
- 室温是存储的,但是平板电脑拆分后,阴影保存
- 截止日期:
- 显示在外盒子上
标准名称
- 日本药房
- Zorpidem蹲锁
法规类别
- 精神药物
- 习惯性药物
- 预防措施 - 居住
- 处方药
- 预防措施 - 通过医生等处方使用
作品
- 成分 /内容
- 一个片剂,“日本药房”唑吡坦壁酸5毫克
- 添加剂
- 乳糖氢,晶体纤维素,淀粉糖钠,氢化钠,tark,硬脂酸镁,氧化钛,6000 Mocrogol 6000,黄色Trin氧化物,铁,carnaubaro。
特点
- 特点
- 膜涂料锁,浅色单面线
- 外部形式

- 外形

- 外形侧

- 尺寸
- 直径:6.5mm
厚度:2.6mm - 大量的
- 约90mg
- 识别代码
- NF 222
- 销售名称
- Zolpidem蹲锁10mg“ afp”
销售名称代码
- 1129009F2048
批准 /许可号码
- 批准编号
- 22400AMX00224
- 商标
- ZOLPIDEM TARTRATE片10mg“ AFP”
药品价格标准日期
- 2012年6月
销售日期
- 2012年6月
储蓄,到期日期等
- 保存:
- 室温是存储的,但是平板电脑拆分后,阴影保存
- 截止日期:
- 显示在外盒子上
标准名称
- 日本药房
- Zorpidem蹲锁
法规类别
- 精神药物
- 习惯性药物
- 预防措施 - 居住
- 处方药
- 预防措施 - 通过医生等处方使用
作品
- 成分 /内容
- 一个片剂,“日本药房”唑吡夫壁酸10mg
- 添加剂
- 乳糖氢,晶体纤维素,淀粉糖钠,氢化钠,tark,硬脂酸镁,氧化钛,6000 Mocrogol 6000,黄色Trin氧化物,铁,carnaubaro。
特点
- 特点
- 膜涂料锁,浅色单面线
- 外部形式

- 外形

- 外形侧

- 尺寸
- 直径:8.5mm
厚度:3.0mm - 大量的
- 约180毫克
- 识别代码
- NF 223
警告- 服用这种药物后,它可能以波动的状态和伴随症状的睡眠(梦幻症状等)出现。另外,请注意,您可能不会记得觉醒的事件,直到入睡。
|
限制(请勿对下一个患者进行管理)- 1。
- 对该药物成分过敏的患者
- 2。
- 严重肝损伤的患者[代谢功能的降低会增加血液浓度并具有很强的作用。这是给出的
- 3。
- 严重肌肉的患者[肌肉松弛可能会使症状恶化。这是给出的
- 四个。
- *急性阻塞,青光眼患者[眼内压力增加并可能恶化症状。这是给出的
- 5 。
- **曾经是异常行为作为睡眠伴奏症状(例如梦幻症状)的患者[严重的自我障碍,其他伤口,事故等可能表达伴随的睡眠症状。这是给出的
|
原则上是禁忌的(原则上,它不会对下一个患者进行管理,但请在必要时仔细管理)- 如果由于肺部,肺气肿,支气管哮喘和脑血管疾病而高度降低呼吸功能,则可能导致由于呼吸道控制引起的二氧化碳coocosis。这是给出的
|
功效或效果
- 失眠(不包括与精神分裂症和躁狂抑郁有关的失眠)
与效果相关的使用预防措施
- 确认心解疾病后必须进行该药物的给药。对于与躁狂抑郁症相关的精神分裂症或失眠,无法期望这种药物的有效性。
用法和剂量
- 通常,就在睡前之前,将5至10 mg的唑吡坦口服作为Zolpidem Tapic Acid口服。此外,老年人一次开始服用5毫克。由于年龄,症状和疾病,它会适当增加或减少,但每天不会超过10 mg。
与使用和剂量有关的预防措施
- 1。
- 对这种药物的反应存在个体差异,pid -up状态,伴随症状的睡眠(例如梦想倾倒症状等)出现为剂量依赖性,因此当服用这种药物时,给药时会少量开始。 (一次5毫克)。如果您不得不不避免地增加数量,请在观察它的同时仔细管理。但是,它不会超过10毫克,并且会随着症状的改善而尝试减肥。
- 2。
- 服用这种药物时,请在上床睡觉前服用。此外,如果您没有足够的睡眠时间在患者起床之前开始进行活动,或者如果您暂时起床去工作等。当有可能在药用效应消失之前开始活动时。
使用预防措施
谨慎的管理
(请小心地给下一个患者管理)
- 1。
- 无力的患者[药物的作用得到强烈表达,并且可能出现副作用。这是给出的
- 2。
- 老年人(请参阅“老年人行政”部分)
- 3。
- 心力衰竭的患者[可能发生血压,心脏病患者可能会恶化症状。这是给出的
- 四个。
- 肝损害的患者(请参阅“禁忌症”部分)
- 五。
- 肾脏疾病的患者[排泄被延迟,并且可能出现影响。这是给出的
- 6。
- 大脑中有机残疾患者[可能有强烈的作用。这是给出的
重要的基本预防措施
- 1。
- 避免连续给药长期使用,因为它可能由于连续使用而导致药物依赖性。继续使用该药物时,请仔细考虑需要治疗。 (请参阅“副作用严重副作用”部分)
- 2。
- 请注意不要从事危险机器(例如驾驶汽车)的操作,因为这种药物的影响可能会在第二天早晨进行,因为嗜睡,注意力,集中和反射性运动能力可能会发生。
相互作用
- 该药物主要由CYP3A4和CYP2C9和CYP1A2(主要是CYP3A4和CYP1A2)代谢。
合并用途的注释
(请注意联合使用)
- 麻醉药,例如毒品名称
- 临床症状 /度量方法
- 请仔细管理,因为可能会出现呼吸抑制。
- 机械 /危险因素
- 呼吸可能会减少。
- 药物名称,例如中枢神经系统抑制剂,现象阳极衍生物,巴比妥酸衍生物等。
- 临床症状 /度量方法
- 谨慎地弄清楚中枢神经系统抑制效应可能会增加。
- 机械 /危险因素
- 该药物和这些药物具有中枢神经约束。
- 酒精(酒精),例如毒品名称
- 临床症状 /度量方法
- 心理功能,感知,运动功能等可能会增加,因此请尽可能保持饮酒。
- 机械 /危险因素
- 酒精通过作用于GABA A受体具有中枢神经系统抑制作用,因此可以通过结合使用中枢神经系统抑制作用。
- 利福平诸如药物名称
- 临床症状 /度量方法
- 该药物的血液浓度可能会降低,并且可能会降低作用。
- 机械 /危险因素
- 药物代谢酶CYP3A4受到指导,促进了该药物的代谢。
副作用
概述表达状态,副作用
- 该药物不进行调查,以阐明副作用的频率,例如用法调查。
严重的副作用
1.依赖,戒断症状(频率未知)由于连续使用可能会导致药物依赖性,因此请注意观察,并小心施用用于剂量和使用期。此外,由于剂量突然减少或取消给药,可能会出现戒断症状,例如抗降压失眠,易怒等症状,因此,如果停产管理,则逐渐减轻了体重。 2. **心理症状,意识障碍(频率未知)可能会出现精神症状和意识障碍,例如妄想症,混乱,幻觉,兴奋,抑郁和意识水平的降低,因此请确保观察患者的状况并在发现异常时停止给药。 3. **也是如此 - 渗透阳性周长,流浪状态,伴随症状的睡眠(梦dempe症症状等) (频率未知)太阳性海报(我不记得这次活动直到我入睡,我不记得觉醒时的事件),睡眠状态和睡眠伴奏症状(梦幻症状等)可能会出现。立即上床睡觉,不睡觉时醒来。据报道,汽车等的驾驶,餐点等,并且不记得没有足够唤醒的事件。还报道了包括死亡在内的严重自我障碍,其他伤口和事故。如果发现异常,请停止给药。 4.呼吸抑制(频率未知)呼吸抑制可能会出现。此外,如果将呼吸功能施用给高度降低呼吸功能的患者,则可能引起二氧化碳,因此在这种情况下,应固定气道并应适当进行通风。 5.肝功能障碍,黄疸(频率未知)可能会出现AST(GOT),ALT(GPT),γ-GTP,Al-P上升的肝功能障碍和黄疸,因此,如果发现您并发现了异常,则将其施用,进行管理。取消并采取适当的措施。另一个副作用
- 精神科
- (频率未知)
- 睡觉,嗜睡,头痛,昏昏欲睡的感觉,头晕,头晕,焦虑,噩梦,喜怒无常,幻觉,麻木,麻木
- 血
- (频率未知)
- 白细胞,白细胞减少
- 肝
- (频率未知)
- Alt(GPT)增加,γ-GTP增加,AST(GOT)增加,LDH上升
- 肾
- (频率未知)
- 蛋白尿
- 消化器官
- (频率未知)
- 顽皮,呕吐,厌食,腹痛,腹泻,嘴巴幻觉,食欲增加
- 心血管
- (频率未知)
- 呼吸
- 高敏性注1)
- (频率未知)
- 皮疹,所以发痒
- 骨骼肌
- (频率未知)
- 疲劳,疲劳,下肢无力,肌肉痉挛
- 眼睛
- (频率未知)
- 双视图,视觉障碍,雾目录
- 其他的
- (频率未知)
- 口渴,不适,下降命令2) ,味道异常
- 注意1)如果表达,请停止管理。
- 注2)报道了由于下降而导致老年人骨折的一个例子。
老年人的管理
- 嫉妒往往会发生。此外,由于副作用很容易出现,因此应从少量(一次5 mg)开始给药,并且一次不超过10 mg。
管理孕妇,妇产科妇女等。
- 1。
- 孕妇:
- 对于可能怀孕的孕妇或妇女,只有在确定治疗要超过危险的情况下才有必要管理。 [尚未确定怀孕期间的管理安全。据报道,这种药物是人类的胎盘,并退休的症状,例如呼吸抑制,抽搐,震颤,易于刺激和难以喂食从怀孕后期服用这种药物的患者出生的儿童。 。这些症状可能被报告为新生短语。这是给出的
- 2。
- 母乳喂养的女人:
- 希望在哺乳期间避免给女性服用,但是如果不可避免地给药,请避免母乳喂养。 [据报道,它将转向母乳喂养,并有可能被新生儿销毁的风险。这是给出的
给儿童的管理等
- 尚未确定低出生体重,新生儿,婴儿,婴儿或儿童的安全。 [使用少的经验。这是给出的
过量
- 症状:
- 仅在这种药物的过量服用中,据报道,可能会报告意识障碍,但可能会出现严重的症状,例如中枢神经系统抑制,血压降低,呼吸抑制和磨损。
- 治疗:
- 除了监测呼吸,脉搏和血压外,还采取了适当的措施,例如呕吐,胃清洁,吸附剂和泻药给药,输液和气道。此外,当使用明显或怀疑该药物的过量服用这种药物时,使用fulmazenyl(苯二氮卓受体拮抗剂)作为治疗时,请先采取预防措施(禁忌症,谨慎,谨慎的给药,相互作用,相互作用等。该药物不会被血液透析去除。
适用的预防措施
- 在药物时:
- PTP包装药物应从PTP纸中取出并教给它。据报道,PTP纸的难度在食管粘膜上具有硬尖角,然后引起严重的并发症,例如纵隔炎。这是给出的
其他预防措施
- 在未鉴定施用药物的情况下接受新药(苯二氮卓受体拮抗剂)服用的患者可能会改变或延迟该药物的镇静和抗癌药。
药代动力学
1。
生物等效测试1) ZOLPIDEM蹲锁5 mg“ AFP”和Zorpidem Talking片10 mg“ AFP”和标准制剂通过交叉交叉进行交叉。由于测量了对获得的药物为导向的参数(AUC,CMAX)的浓度和统计分析的结果。确认了两种药物的生物等效性。
(请参阅表1)
5mg

10mg

血浆浓度和参数(例如AUC和CMAX)可能会根据测试条件(例如选择受试者的选择,收集体液的时间数量等)而有所不同。 2。
陷入的行为2) ZOLPIDEM蹲锁5 mg“ AFP”和Zolpidem蹲锁10 mg“ AFP”已被证实与Nippon Pharmaceutical Pharmaceuticals中标记的Zolpidem Sorus片剂的洗脱标准兼容。表1药代动力学参数
| 剂量 | AUC 0-24 (ng/hr/ml) | cmax (ng/ml) | tmax (HR) | T 1/2 (HR) |
| Zolpidem蹲锁5mg“ afp” | 5mg | 410.08±139.36 | 102.75±23.95 | 0.89±0.37 | 2.51±0.56 |
| 标准准备(平板电脑,5mg) | 5mg | 395.06±115.61 | 105.68±27.41 | 0.92±0.49 | 2.90±0.86 |
| Zolpidem蹲锁10mg“ afp” | 10mg | 732.76±247.20 | 186.05±59.03 | 1.08±0.49 | 2.62±0.93 |
| 标准准备(平板电脑,10mg) | 10mg | 695.41±237.89 | 177.12±61.67 | 1.00±0.54 | 2.59±0.95 |
(平均±SD,n = 18)
药物
尽管它不是苯二氮卓类化合物,但它被选择性地粘结到苯二氮卓类化合物,并显示出相同的效果。苯二氮卓类接合的位点存在于抑制的神经素养剂GABA A受体亚基中,并且通过在此结合,GABA A受体会增加GABA的亲和力,并增强GABA A System Aver抑制机制。 3)有关活性成分的物理和化学知识
- 通用名称:
- Zolpidem tartrate(Zolpidem tartrate)
- 化学名称:
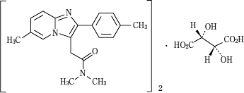
- N , N ,6-三甲基-2-(4-甲基苯基)Imidazo [1,2- a ]吡啶-3-乙酰氨酰胺半(2 r ,3 r ) - tartrate-tartrate
- 结构公式:

- 分子类型:
- (C 19 H 21 N 3 O) 2・ c 4 H 6 O 6
- 分子量:
- 764.87
- 一致:
- 它是白色结晶粉。
很容易溶于乙酸(100),略微溶解在N,N-二甲基甲醇或甲醇中,很难溶于水中,并且不会溶解在乙醇(99.5)或无水酸中。
0.1mol/L溶于盐酸测试中。
光逐渐变成黄色。
处理的预防措施
- 稳定性测试4)
- 由于使用最终包装产品(40°C,相对湿度75%,6个月)的加速测试,Zolpidem挤压说话的片剂5mg“ AFP”,Zolpidem Shrine 10 mg“ AFP”在正常市场下稳定3年分布。假定是。
包装
- Zolpidem蹲锁5mg“ AFP”:100片(PTP)
- Zolpidem蹲下锁10mg“ AFP”:100片(PTP)
主要文献和文档请求目的地
主要文献
- 1)
- Alfressa Pharma Co.,Ltd。:有关生物等效性的材料(在房屋材料中)
- 2)
- Alfressa Farm Co.,Ltd。:关于洗脱行为的材料(在房屋材料中)
- 3)
- **第18修订的日本药品评论,C-3037,Hirokawa书店(2021)
- 四)
- Alfressa Pharma Co.,Ltd。:关于稳定性的材料(在房屋材料中)
文学要求
- 请在主要文档中描述的房屋材料中索取以下内容。
Alfressa Pharma Co.,Ltd。产品信息部 - 540-8575 2-2-1,伊乔,大阪的库 - 库
- 电话06-6941-0306
- 传真06-6943-8212
有关药物期限限制药物的信息
- 该药物基于卫生,劳动和福利部第42号公告(2018年3月5日),该药物限制为30天。
制造商等的姓名或名称和地址等。
- 制造和分销商
- Alfressa Pharma Co.,Ltd。
- 2-2-2,ischo,chuo-ku,大阪