4006 776 356
免费咨询 9:00-18:00
获取国外zorpidem蹲锁5mg“ ee” / zorpidem squer锁10mg“ ee”jazh-药品价格,使用等信息,最快 24 小时回馈
出境医 / 海外药品 / zorpidem蹲锁5mg“ ee” / zorpidem squer锁10mg“ ee”jazh-
zorpidem蹲锁5mg“ ee” / zorpidem squer锁10mg“ ee”jazh-
2012年6月
zorpidem蹲锁5mg“ ee” / zorpidem squer锁10mg“ ee”
创建或修订年
- **于2022年7月修订(第9版)
- *2019年6月修订
日本标准产品分类编号
- 871129
医学分类名称
- 睡眠代理
批准,等等
- 销售名称
- Zolpidem蹲锁5mg“ EE”

销售名称代码
- 1129009F1084
批准 /许可号码
- 批准编号
- 22400AMX00528000
- 商标
- Zolpidem TartrateTab。5mg“ EE”

药品价格标准日期
- 2012年6月
销售日期
- 2012年6月
储蓄,到期日期等
- 积累
- 室温保存
- 截止日期
- 在外部框或标签上显示的到期日期内使用。
标准名称
- 日本药房
- Zorpidem蹲锁
法规类别
- 精神药物
- 习惯性药物
- 预防措施 - 居住
- 处方药
- 预防措施 - 通过医生等处方使用
作品
- 销售名称
- Zolpidem蹲锁5mg“ EE”
- 活性成分(在1片中)
- Zolpidem啤酒酸5mg
- 添加剂
- 铁322氧化铁,carnavaro,晶体纤维素,氧化钛,氧化铁,讽刺酸,硬脂酸镁,哑酸钠,乳糖氢,氢化氢,氢化脂蛋白,Mocrogor 6000
特点
- 审查和代理
- 膜涂层锁包含浅色电线
- 外面:表

- 外面:返回

- 外面:一侧

- 直径
- 约6.6mm
- 大量的
- 约93mg
- 厚度
- 约2.8毫米
- 识别代码
- EE226
- 销售名称
- Zolpidem蹲锁10mg“ EE”

销售名称代码
- 1129009F2080
批准 /许可号码
- 批准编号
- 22400AMX00529000
- 商标
- Zolpidem TartrateTab。10mg“ EE”

药品价格标准日期
- 2012年6月
销售日期
- 2012年6月
储蓄,到期日期等
- 积累
- 室温保存
- 截止日期
- 在外部框或标签上显示的到期日期内使用。
标准名称
- 日本药房
- Zorpidem蹲锁
法规类别
- 精神药物
- 习惯性药物
- 预防措施 - 居住
- 处方药
- 预防措施 - 通过医生等处方使用
作品
- 销售名称
- Zolpidem蹲锁10mg“ EE”
- 活性成分(在1片中)
- Zolpidem 10 mg
- 添加剂
- 铁322氧化铁,carnavaro,晶体纤维素,氧化钛,氧化铁,讽刺酸,硬脂酸镁,哑酸钠,乳糖氢,氢化氢,氢化脂蛋白,Mocrogor 6000
特点
- 审查和代理
- 膜涂层锁包含浅色电线
- 外面:表

- 外面:返回

- 外面:一侧

- 直径
- 约8.6毫米
- 大量的
- 约185mg
- 厚度
- 约3.4毫米
- 识别代码
- EE227
警告- 服用这种药物后,它可能出现在飘动的状态和伴随症状的睡眠状态(梦幻症状等)。另外,请注意,您可能不会记得觉醒的事件,直到入睡。
|
限制(请勿对下一个患者进行管理)- 1。
- 对该药物成分过敏的患者
- 2。
- 严重肝损伤的患者[代谢功能的降低会增加血液浓度并具有很强的作用。这是给出的
- 3。
- 严重肌肉的患者[症状可能因肌肉放松动作而恶化。这是给出的
- 四个。
- *急性阻塞青光眼的患者[化身可能会增加并可能恶化症状。这是给出的
- 五。
- **曾经是异常行为作为睡眠伴奏症状(例如梦幻症状)的患者[严重的自我障碍,其他伤口,事故等可能表达伴随的睡眠症状。这是给出的
|
原则上是禁忌的(原则上,它不会对下一个患者进行管理,但请在必要时仔细管理)- 如果由于肺部,肺气肿,支气管哮喘和脑血管疾病而高度降低呼吸功能,则可能导致由于呼吸道控制引起的二氧化碳coococis。这是给出的
|
功效或效果 /用法和剂量
功效或效果
- 失眠(不包括与精神分裂症和躁狂抑郁有关的失眠)
与效果相关的使用预防措施
- 确认心解疾病后必须进行该药物的给药。
对于与躁狂抑郁症相关的精神分裂症或失眠,无法期望这种药物的有效性。
用法和剂量
- 通常,对于成年人,5-10毫克的Zolpidem是口服的,就在睡前之前口服。此外,一次管理从5毫克开始到老年人。由于年龄,症状和疾病,它会适当增加或减少,但每天不会超过10 mg。
与使用和剂量有关的预防措施
- 1。
- 对这种药物的反应有个体差异,pid -up状态,伴随症状的睡眠(梦想礼物等)出现为剂量依赖性,因此当服用这种药物时,从少量开始使用该药物(5 mg)一次)。如果您不得不不避免地增加数量,请在观察它的同时仔细管理。但是,它不会超过10毫克,并且会随着症状的改善而尝试减肥。
- 2。
- 服用这种药物时,请在上床睡觉前服用。此外,如果您没有足够的睡眠时间在患者起床之前开始进行活动,或者如果您暂时起床去工作等。当有可能在药用效应消失之前开始活动时。
使用预防措施
谨慎的管理
(请小心地给下一个患者管理)
- 1。
- 无力的患者[强烈表达药物,并且可能出现副作用。这是给出的
- 2。
- 老年人[请参阅“老年人行政”部分]
- 3。
- 心脏障碍的患者[可能发生血压,心脏病患者可能导致症状恶化。这是给出的
- 四个。
- 肝损害的患者[请参阅“禁忌症”部分]
- 五。
- 肾脏疾病的患者[排泄延迟,可能具有很强的作用。这是给出的
- 6。
- 大脑中有机残疾患者[可能有强烈的作用。这是给出的
重要的基本预防措施
- 1。
- 避免连续给药长期使用,因为它可能由于连续使用而导致药物依赖性。继续使用该药物时,请仔细考虑需要治疗。
[请参阅有关“严重副作用”的部分] - 2。
- 请注意不要从事危险机器(例如驾驶汽车)的操作,因为这种药物的影响可能会在第二天早晨进行,因为嗜睡,注意力,集中和反射性运动能力可能会发生。
相互作用
- 该药物主要由CYP3A4和CYP2C9和CYP1A2(主要是CYP3A4和CYP1A2)代谢。
合并用途的注释
(请注意联合使用)
- 1。麻醉药,例如毒品名称
- 临床症状 /度量方法
- 请仔细管理,因为可能会出现呼吸抑制。
- 机械 /危险因素
- 呼吸可能会减少。
- 2。药物名称,例如中枢神经系统抑制剂,示例衍生物,
巴比索尔酸衍生物等- 临床症状 /度量方法
- 谨慎地弄清楚中枢神经系统抑制效应可能会增加。
- 机械 /危险因素
- 该药物和这些药物具有中枢神经约束。
- 3。酒精(酒精),例如毒品名称
- 临床症状 /度量方法
- 心理功能,感知,运动功能等可能会增加,因此请尽可能保持饮酒。
- 机械 /危险因素
- 酒精通过作用于GABA A受体具有中枢神经系统抑制作用,因此可以通过结合使用中枢神经系统抑制作用。
- 四个。利福平诸如药物名称
- 临床症状 /度量方法
- 该药物的血液浓度可能会降低,并且可能会降低作用。
- 机械 /危险因素
- 药物代谢酶CYP3A4受到指导,促进了该药物的代谢。
副作用
- 该药物不进行调查,以阐明副作用的频率,例如用法调查。
严重的副作用
1.依赖,戒断症状未知频率由于连续使用可能会导致药物依赖性,因此请注意观察,并小心施用用于剂量和使用期。此外,由于剂量突然减少或取消给药,可能会出现戒断症状,例如抗降压失眠,易怒等症状,因此,如果停产管理,则逐渐减轻了体重。 2. **心理症状,意识障碍未知频率可能会出现精神症状和意识障碍,例如妄想症,混乱,幻觉,兴奋,抑郁和意识水平的降低,因此请确保观察患者的状况并在发现异常时停止给药。 3. **脚趾 - 变性正许可证,肿块状态,伴随症状的睡眠(梦dearm症状等)未知频率太阳性海报(我不记得这些事件直到服用药物后入睡,我不记得觉醒时的事件),睡眠状态,伴随症状的睡眠状态(梦幻症状等)可能会出现。一定要立即上床睡觉,不要在睡眠期间醒来。据报道,汽车等的驾驶,餐点等,并且不记得没有足够唤醒的事件。还报道了包括死亡在内的严重自我障碍,其他伤口和事故。如果发现异常,请停止给药。 4.呼吸抑制未知频率呼吸抑制可能会出现。此外,如果将呼吸功能施用给高度降低呼吸功能的患者,则可能引起二氧化碳,因此在这种情况下,应固定气道并应适当进行通风。 5.肝功能障碍,黄疸未知频率可能会出现AST(GOT),ALT(GPT),γ -GTP,AL -P上升肝功能障碍和黄疸,因此,如果您观察并管理异常,则将进行管理。取消并采取适当的措施。另一个副作用
- 1.精神神经系统
- 未知频率
- 转移,涉水,嗜睡,头痛,昏昏欲睡,头痛,头晕,焦虑,噩梦,情绪低落,幻觉,麻木
- 2.血液
- 未知频率
- 白细胞,白细胞减少
- 3.肝脏
- 未知频率
- Alt(GPT)增加,γ -GTP增加,AST(GOT)增加,LDH上升
- 4.肾脏
- 未知频率
- 蛋白尿
- 5.消化
- 未知频率
- 嘴幻觉,食欲高,恶心,呕吐,厌食,腹痛,腹泻
- 6.心血管
- 未知频率
- 呼吸
- 7.超敏反应注1)
- 未知频率
- 皮疹,所以发痒
- 8.骨骼肌
- 未知频率
- 肌肉痉挛,忽视,疲劳,下肢无力
- 9.眼睛
- 未知频率
- 视觉障碍,雾目录,双流
- 10.其他
- 未知频率
- 品尝异常,口干,不适,下降顺序2)
关于其他副作用的注释
- 注意1)如果表达,则停止给药。
- 注2)报道了由于跌倒而导致老年人骨折的一个例子。
老年人的管理
- 嫉妒往往会发生。此外,由于副作用很容易出现,因此应从少量(一次5 mg)开始给药,并且一次不超过10 mg。
管理孕妇,妇产科妇女等。
- 1.孕妇等
- 对于可能怀孕的孕妇或妇女,只有在确定治疗要超过危险的情况下才有必要管理。
[尚未确定怀孕期间的管理安全。据报道,这种药物是人类的胎盘,并退休的症状,例如呼吸抑制,抽搐,震颤,易于刺激和难以喂食从怀孕后期服用这种药物的患者出生的儿童。 。这些症状可能被报告为新生短语。这是给出的 - 2.母乳喂养的女人
- 希望在哺乳期间避免给女性服用,但是如果不可避免地给药,请避免母乳喂养。
[据报道,它将转向母乳,这可能会导致新生儿。这是给出的
给儿童的管理等
- 尚未建立低出生体重,新生儿,婴儿,婴儿或儿童的安全性(经验更少)。
过量
- 1.症状
- 仅在这种药物的过量服用中,据报道,可能会报告意识障碍,但可能会出现严重的症状,例如中枢神经系统抑制,血压降低,呼吸抑制和磨损。
- 2.行动
- 除了监测呼吸,脉搏和血压外,还采取了适当的措施,例如呕吐,胃清洁,吸附剂和泻药给药,输液和气道。此外,当使用明显或怀疑该药物的过量服用这种药物时,使用fulmazenyl(苯二氮卓受体拮抗剂)作为治疗时,请先采取预防措施(禁忌症,谨慎,谨慎的给药,相互作用,相互作用等。该药物不会被血液透析去除。
适用的预防措施
- 在毒品时
- PTP包装药物应从PTP纸中取出并教给它(意外摄入PTP纸会导致硬尖角以插入食管粘膜,并进一步穿孔,并进行严重的合并,例如纵隔炎。据报道患有疾病)。
其他预防措施
- 在未鉴定药物的未鉴定的新药(苯二氮卓受体拮抗剂)中服用的患者可能会改变或延迟这种药物。
药代动力学
- 1.生物当量测试
- (1) Zorpidem蹲锁5mg“ EE”
- ZOLPIDEM蹲锁5mg“ EE”是确定的,当Zolpidem酿造的片剂10 mg“ EE”是基于“具有不同内容的口服固体形式的生物等效测试指南”时,洗脱行为是等效的。相等的。 1)
- (2) Zorpidem蹲锁10mg“ EE”
- 通过交叉方法(10 mg作为Zolpidem Tapic Acid)进行Zorpidem蹲锁10mg“ EE”和标准制剂,并测量血浆Zolpidem浓度以测量血浆Zolpidem浓度,通过给药。 - 导向参数(AUC,C MAX )证实了这两种药物的生物学当量。 1)
血浆浓度和参数(例如AUC和C max)可能会根据测试条件(例如选择受试者的选择,少年的时间数量等)而有所不同。

- 2.在洗脱行为中
- Zolpidem蹲锁5毫克的“ EE”和10毫克的Zolpidem片剂和10毫克的“ EE”被确认适合日本药房指定的Zolpidem Talk Locks的洗脱标准。 2)
药代动力学表
生物等效测试:Zolpidem蹲锁10mg“ EE”
| 判断参数: AUC 0-24小时 (ng / hr / ml) | 判断参数: c最大 (ng / ml) | 参考参数: t max (HR) | 参考参数: T 1/2 (HR) |
Zorpidem蹲锁 10mg“ EE” | 640.58±296.74 | 146.81±51.54 | 0.9±0.5 | 2.6±0.9 |
| 标准准备 | 622.27±239.76 | 147.77±41.13 | 0.8±0.5 | 2.7±1.0 |
(平均±SD,n = 20)
药物
- 唑吡丁鳞酸不是基于苯二氮卓类化合物的化合物,而是选择性地粘结到苯二氮卓接头,并显示出相同的作用。苯二氮卓类接合的位点存在于抑制的神经素养剂GABA A受体亚基中,并且通过在此结合,GABA A受体会增加GABA的亲和力,并增强GABA A System Aver抑制机制。 3)
有关活性成分的物理和化学知识
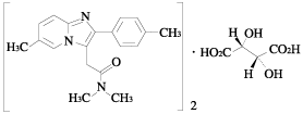
- 通用名称
- Zolpidem tartrate
- 化学名称
- n , n ,6-三甲基-2-(4-甲基苯基)咪唑[1,2- a ] -pyridine -3 -3-乙酰氨酰胺半hemi-(2 r ,3 r )-tartrate -tartrate
- 分支仪式
- (C 19 H 21 N 3 O) 2・ c 4 H 6 O 6
- 数量
- 764.87
- 结构公式

- 物理化学
- Zorpidem Tartar Acid是白色晶粉。
该产物很容易溶于乙酸(100),很容易溶解在N , N-二甲基甲醇或甲醇中,略微溶于水中,并且很难溶于乙醇(99.5)或无水酸。
该产品溶解在0.1mol / L盐酸测试溶液中。
该产品逐渐变黄。
转动[α] 20 D :大约 + 1.8°(1G,N-二甲基甲酰胺,20 mL,100mm)。
处理的预防措施
- 加速测试
- 由于加速度测试(40°C,相对湿度,75%,6个月),Zolpidem squer锁5 mg“ EE”和Zolpidem squeezine 10 mg“ EE”(最终包装)在正常市场下稳定3年分布。假定是。四)
包装
- Zolpidem蹲锁5mg“ EE”:500片(玫瑰)
- Zorpidem蹲锁5mg“ EE”:100片(PTP)
- Zolpidem蹲锁5mg“ EE”:140片(PTP)
- Zolpidem蹲锁5mg“ EE”:500片(PTP)
- Zolpidem蹲下锁10mg“ EE”:500片(玫瑰)
- Zolpidem蹲锁10mg“ EE”:100片(PTP)
- Zolpidem蹲锁10mg“ EE”:140片(PTP)
- Zolpidem蹲锁10mg“ EE”:500片(PTP)
主要文献和文档请求目的地
主要文献
- 1)
- 生物等效性的材料(在房屋材料中)
- 2)
- 与Lutting有关的材料(Hermed Inc. Inc.)
- 3)
- 第七修订的日本药房解释书(Hirokawa Shoten)C -2900(2016)
- 四)
- 稳定材料(在 - 房屋材料中)
文学要求
- 请索取下面“主文档”列中描述的文档和房屋材料。
Nissin II Corporation客户支持中心 - 〒930-8583工会城索戈学院1-6th 21
- 收费 - Free(0120)517-215
- 传真(076)442-8948
有关长期管理药物的信息
- [有关药物期限限制药物的信息]
该药物基于卫生,劳动和福利部97号公告(2008年3月19日),药物量限制为30天。
制造商等的姓名或名称和地址等。
- 制造和分销商
- Hermed Co.,Ltd。
- 富山城市索拉·库基(Sora Kouki)1-6-6 No.21
- 卖方
- Nisshin II公司
- 富山城市索拉·库基(Sora Kouki)1-6-6 No.21