4006 776 356
免费咨询 9:00-18:00
获取国外Zolpidem蹲下锁5mg“ nig” / zorpidem蹲锁10mg“ nig”jazh-CN药品价格,使用等信息,最快 24 小时回馈
出境医 / 海外药品 / Zolpidem蹲下锁5mg“ nig” / zorpidem蹲锁10mg“ nig”jazh-CN
Zolpidem蹲下锁5mg“ nig” / zorpidem蹲锁10mg“ nig”jazh-CN
** zorpidem蹲锁5mg“ nig” / ** zorpidem squer锁10mg“ nig”
创建或修订年
- **修订于2022年12月(第12版,随附的继承)
- *修订于2022年7月
日本标准产品分类编号
- 871129
医学分类名称
- 睡眠代理
批准,等等
- 销售名称
- **散齿壁酸片5mg“ nig”
销售名称代码
- 1129009F1378
批准 /许可号码
- 批准编号
- 22400AMX00221
- 欧洲商品名称
- Zolpidem Tartrate选项卡。
药品价格
- ** 2022年12月
销售开始
- 2012年6月
到期日期,等等。
- 储蓄
- 室温存储(应在平板电脑分开后存储)
- 截止日期
- 3年(在外部盒子上显示,标签)
标准名称
- 日本药房zorpidem Solpidem会说话平板电脑
法规类别
- 精神药物
- habitical毒品1)
- 注意1)预防措施 - 习惯性
- 处方药2)
- 注2)用处方使用医生等。
作品
- 有效成分
- 日本局琐事壁酸
- 内容
- 一台平板电脑中的5mg
- 添加剂
- 乳糖氢,晶体纤维素,淀粉糖钠,氢化钠,tark,硬脂酸镁,氧化钛,6000 Mocrogol 6000,黄色Trin氧化物,铁,carnaubaro。
特点
- 膜涂层锁包含浅色一条线
- 外形

- 直径
- 6.6mm
- 厚度
- 2.7mm
- 大量的
- 约93mg
- 识别代码
- KT ZP / 5
- 销售名称
- **佐蛋白酶壁酸片10mg“ nig”
销售名称代码
- 1129009F2374
批准 /许可号码
- 批准编号
- 22400AMX00222
- 欧洲商品名称
- Zolpidem Tartrate选项卡。
药品价格
- ** 2022年12月
销售开始
- 2012年6月
到期日期,等等。
- 储蓄
- 室温存储(应在平板电脑分开后存储)
- 截止日期
- 3年(在外部盒子上显示,标签)
标准名称
- 日本药房zorpidem Solpidem会说话平板电脑
法规类别
- 精神药物
- habitical毒品1)
- 注意1)预防措施 - 习惯性
- 处方药2)
- 注2)用处方使用医生等。
作品
- 有效成分
- 日本局琐事壁酸
- 内容
- 1平板电脑中的10毫克
- 添加剂
- 乳糖氢,晶体纤维素,淀粉糖钠,氢化钠,tark,硬脂酸镁,氧化钛,6000 Mocrogol 6000,黄色Trin氧化物,铁,carnaubaro。
特点
- 膜涂层锁包含浅色一条线
- 外形

- 直径
- 8.6毫米
- 厚度
- 3.2mm
- 大量的
- 约186毫克
- 识别代码
- KT ZP 10
警告服用这种药物后,它可能出现在飘动的状态和伴随症状的睡眠状态(梦幻症状等)。另外,请注意,您可能不会记得觉醒的事件,直到入睡。 |
限制(请勿对下一个患者进行管理) 1。对该药物成分过敏的患者2。严重肝损伤的患者[代谢功能的降低会增加血液浓度并具有很强的作用。这是给出的3。严重肌肉的患者[症状可能因肌肉放松动作而恶化。这是给出的四个。急性障碍物,青光眼患者[眼内压力增加并可能恶化症状。这是给出的五。 *这种药物(严重的自我障碍,其他伤口,事故等)作为睡眠伴奏症状(例如梦幻症状)的患者可能表达伴随的症状。这是给出的 |
原则上是禁忌的(原则上,它不会对下一个患者进行管理,但请在必要时仔细管理)如果由于肺部,肺气肿,支气管哮喘和脑血管疾病而高度降低呼吸功能,则可能导致由于呼吸道控制引起的二氧化碳coococis。这是给出的 |
功效 /效果
失眠(不包括与精神分裂症和躁狂抑郁有关的失眠)
<与效果相关的使用预防措施>
- 确认心解疾病后必须进行该药物的给药。对于与躁狂抑郁症相关的精神分裂症或失眠,无法期望这种药物的有效性。
用法 /剂量
- 通常,就在睡前之前,将5至10 mg的唑吡坦口服作为Zolpidem Tapic Acid口服。此外,老年人一次开始服用5毫克。由于年龄,症状和疾病,它会适当增加或减少,但每天不会超过10 mg。
<与使用和剂量有关的预防措施>
1。- 对这种药物的反应存在个体差异,作为一种深度状态,伴随症状的睡眠(梦想倾倒症状等)出现为剂量依赖性,因此当服用该药物时,从少量开始使用该药物(5 mg)一次)。如果您不得不不避免地增加数量,请在观察它的同时仔细管理。但是,它不会超过10毫克,并且会随着症状的改善而尝试减肥。
2。- 服用这种药物时,请在上床睡觉前服用。此外,如果您没有足够的睡眠时间在患者起床之前开始进行活动,或者如果您暂时起床去工作等。当有可能在药用效应消失之前开始活动时。
使用预防措施
谨慎的管理
(请小心地给下一个患者管理)
- 1。
- 无力的患者[强烈表达药物,并且可能出现副作用。这是给出的
- 2。
- 老年人(请参阅有关“老年管理”的部分)
- 3。
- 心脏障碍的患者[可能发生血压,心脏病患者可能导致症状恶化。这是给出的
- 四个。
- 肝损害的患者(请参阅“禁忌症”部分)
- 五。
- 肾脏疾病的患者[排泄延迟,可能具有很强的作用。这是给出的
- 6。
- 大脑中有机残疾患者[可能有强烈的作用。这是给出的
重要的基本预防措施
- 1。
- 避免连续给药长期使用,因为它可能由于连续使用而导致药物依赖性。在继续使用该药物时,请仔细考虑需要治疗(请参阅“严重副作用”部分)。
- 2。
- 请注意不要从事危险机器(例如驾驶汽车)的操作,因为这种药物的影响可能会在第二天早晨进行,因为嗜睡,注意力,集中和反射性运动能力可能会发生。
相互作用
- 该药物主要由CYP3A4和CYP2C9和CYP1A2(主要是CYP3A4和CYP1A2)代谢。
合并用途的注释
(请注意联合使用)
- 麻醉药,例如毒品名称
- 临床症状 /度量方法
- 请仔细管理,因为可能会出现呼吸抑制。
- 机械 /危险因素
- 呼吸可能会减少。
- 药物名称,例如中枢神经系统抑制剂,势词衍生物,巴孔酸衍生物等。
- 临床症状 /度量方法
- 谨慎地弄清楚中枢神经系统抑制效应可能会增加。
- 机械 /危险因素
- 该药物和这些药物具有中枢神经约束。
- 酒精(酒精),例如毒品名称
- 临床症状 /度量方法
- 心理功能,感知,运动功能等可能会增加,因此请尽可能保持饮酒。
- 机械 /危险因素
- 酒精通过作用于GABA A受体具有中枢神经系统抑制作用,因此可以通过结合使用中枢神经系统抑制作用。
- 利福平诸如药物名称
- 临床症状 /度量方法
- 该药物的血液浓度可能会降低,并且可能会降低作用。
- 机械 /危险因素
- 药物代谢酶CYP3A4受到指导,促进了该药物的代谢。
副作用
- 该药物不进行调查,以阐明副作用的频率,例如用法调查。
严重的副作用
1.依赖性,戒断症状:未知频率由于连续使用可能会导致药物依赖性,因此请注意观察,并小心施用用于剂量和使用期。此外,由于剂量突然减少或取消给药,可能会出现戒断症状,例如抗降压失眠,易怒等症状,因此,如果停产管理,则逐渐减轻了体重。 2. *心理症状,意识障碍:未知频率可能会出现精神症状和意识障碍,例如妄想症,混乱,幻觉,兴奋,抑郁和意识水平的降低,因此请确保观察患者的状况并在发现异常时停止给药。 3. *过渡后海报,肿块状态,伴随症状的睡眠(梦幻症状等) :未知频率太阳性海报(我不记得这些事件直到服用药物后入睡,我不记得觉醒时的事件),睡眠状态,伴随症状的睡眠状态(梦幻症状等)可能会出现。一定要立即上床睡觉,不要在睡眠期间醒来。据报道,汽车等的驾驶,餐点等,并且不记得没有足够唤醒的事件。还报道了包括死亡在内的严重自我障碍,其他伤口和事故。如果发现异常,请停止给药。 4.呼吸抑制:未知频率呼吸抑制可能会出现。此外,如果将呼吸功能施用给高度降低呼吸功能的患者,则可能引起二氧化碳,因此在这种情况下,应固定气道并应适当进行通风。 5.肝功能障碍,黄疸:未知频率可能会出现AST(GOT),ALT(GPT),γ-GTP,Al-P上升的肝功能障碍和黄疸,因此,如果发现您并发现了异常,则将其施用,进行管理。取消并采取适当的措施。另一个副作用
- 精神科
- 未知频率
- 睡觉,嗜睡,头痛,昏昏欲睡的感觉,头晕,头晕,焦虑,噩梦,喜怒无常,幻觉,麻木,麻木
- 血
- 未知频率
- 白细胞,白细胞减少
- 肝
- 未知频率
- Alt(GPT)增加,γ-GTP增加,AST(GOT)增加,LDH上升
- 肾
- 未知频率
- 蛋白尿
- 消化器官
- 未知频率
- 顽皮,呕吐,厌食,腹痛,腹泻,嘴巴幻觉,食欲增加
- 心血管
- 未知频率
- 呼吸
- 高敏性注1)
- 未知频率
- 皮疹,所以发痒
- 骨骼肌
- 未知频率
- 大,疲劳,下肢无力,肌肉痉挛
- 眼睛
- 未知频率
- 双视图,视觉障碍,雾目录
- 其他的
- 未知频率
- 口渴,不适,下降命令2) ,味道异常
- 注意1)如果表达,请停止管理。
- 注2)报道了由于下降而导致老年人骨折的一个例子。
老年人的管理
- 嫉妒往往会发生。此外,由于可能出现副作用,因此应从少量(一次5 mg)开始给药,并且一次不超过10 mg。
管理孕妇,妇产科妇女等。
- 1。
- 孕妇:
- 对于可能怀孕的孕妇或妇女,只有在确定治疗要超过危险的情况下才有必要管理。 [尚未确定怀孕期间的管理安全。据报道,这种药物是人类的胎盘,并退休的症状,例如呼吸抑制,抽搐,震颤,易于刺激和难以喂食从怀孕后期服用这种药物的患者出生的儿童。 。这些症状可能被报告为新生短语。这是给出的
- 2。
- 母乳喂养的女人:
- 希望在哺乳期间避免给女性服用,但是如果不可避免地给药,请避免母乳喂养。 [据报道,它将转向母乳,这可能会导致新生儿。这是给出的
给儿童的管理等
- 尚未建立低出生体重,新生儿,婴儿,婴儿或儿童的安全性(经验更少)。
过量
- 症状:
- 仅在这种药物的过量服用中,据报道,可能会报告意识障碍,但可能会出现严重的症状,例如中枢神经系统抑制,血压降低,呼吸抑制和磨损。
- 行动:
- 除了监测呼吸,脉搏和血压外,还采取了适当的措施,例如呕吐,胃清洁,吸附剂和泻药给药,输液和气道。此外,当使用明显或怀疑该药物的过量服用这种药物时,使用fulmazenyl(苯二氮卓受体拮抗剂)作为治疗时,请先采取预防措施(禁忌症,谨慎,谨慎的给药,相互作用,相互作用等。该药物不会被血液透析去除。
适用的预防措施
- 在药物时:
- PTP包装药物应从PTP纸中取出并教给它。 (据报道,食管粘膜的难度很难在食管粘膜中具有硬尖角,然后引起严重的并发症,例如纵隔炎)。
其他预防措施
- 在未鉴定药物的未鉴定的新药(苯二氮卓受体拮抗剂)中服用的患者可能会改变或延迟这种药物。
药代动力学
- 1.生物当量测试1)
- Zorpidem蹲下锁5毫克“ Nig”或Zolpidem Talk Table片10毫克“ Nig”和标准准备工作,并用1片(5毫克或10毫克作为Zolpidem Tap Tap)用尽了一个健康的成年男孩。结果通过对获得的药代动力学参数(AUC,CMAX)的统计分析,证实了两种药物的生物等效性。
- ○Zolpidem挤压谈话平板电脑5mg“ nig”


- ○zorpidem蹲锁10mg“ nig”


- 血浆浓度和参数(例如AUC和CMAX)可能会根据测试条件(例如选择受试者的选择,收集体液的时间数量等)而有所不同。
- 2.侵犯行为2)
- Zolpidem蹲锁5 mg“ nig”和Zolpidem Taks Tak 10 mg“ Nig”已被确认与Nippon Pharmaceutical Pharmaceuticals中标记的Zolpidem Talker片剂的洗脱标准兼容。
药物
杂齿式绘画不是苯二氮卓类化合物,而是选择性地粘结到苯二氮卓类联合位点并显示出相同的效果。苯二氮卓类接合的位点存在于抑制的神经递质GABA A受体亚基中,并且通过在此结合,GABA A受体会增加GABA的亲和力,并增强GABA A系统神经抑制机制。指示催眠效应效应3) 。有关活性成分的物理和化学知识
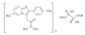
通用名称Zolpidem tartrate(Jan),Zolpidem tartrate化学名称N , N ,6-三甲基-2-(4-甲基苯基)Imidazo [1,2-A]吡啶-3-乙酰氨酰胺半(2 R ,3 R ) - tartrate-tartrate分子(C 19 H 21 N 3 O) 2・ c 4 H 6 O 6分子量764.87结构公式
特点它是白色结晶粉。
溶于乙酸(100)很容易溶解在N , N-二甲基甲醇或甲醇中,很难溶于水中,并且很难溶于乙醇(99.5)或无水酸性。
0.1mol/L溶于盐酸测试中。
光逐渐变成黄色。处理的预防措施
稳定性测试4)由于使用最终包装产品(40°C,相对湿度,75%,6个月),Zolpidem溶蛋白溶液挤压片5毫克“ Nig”和Zolpidem Talking Tablapt 10 mg“ Nig”稳定3年在正常的市场分布下。假定是。包装
- Zolpidem蹲锁5mg“ nig”:100片(PTP10片X 10)
- Zolpidem蹲锁5mg“ nig”:140片(PTP14片X 10)
- Zolpidem蹲锁5mg“ nig”:500片(PTP10片X 50)
- Zolpidem蹲锁5mg“ nig”:500片(玫瑰)
- Zolpidem蹲锁10mg“ Nig”:100片(PTP10片X 10)
- Zolpidem蹲锁10mg“ Nig”:140片(PTP14片X 10)
- Zorpidem蹲锁10mg“ nig”:500片(PTP10片X 50)
- Zorpidem蹲锁10mg“ nig”:500片(玫瑰)
主要文献和文档请求目的地
主要文献
- 1)
- Nissin Medical Kifu工厂有限公司:在 - 房屋材料(生物等效测试)中
- 2)
- Nisshin Kifu Factory Co.,Ltd。:在房屋材料(洗脱测试)中
- 3)
- 第七次修订的日本药品评论,2016年Hirokawa Bookstore; C-2897
- 四)
- Nisshin Kifu工厂有限公司:在 - 房屋材料(稳定性测试)中
文献请求 /产品信息查询
- **请在下面的主要文献列中索取文献和 - 房屋材料。
Nissin II Corporation客户支持中心 - 〒930-8583工会城索戈学院1-6th 21
- 电话(0120)517-215
- 传真(076)442-8948
制造商等的姓名或名称和地址等。
- 销售
- 武田制药有限公司
- 4-1-1,大阪的Chuo-ku
- **销售代理
- Nisshin II公司
- 富山城市sora chang 1-6-6 21
- **制造和分销商
- Nisshin Kifu工厂有限公司
- 富山城市sora chang 1-6-6 21