4006 776 356
免费咨询 9:00-18:00
获取国外zorpidem蹲下锁5mg“ ze” / zorpidem squer锁10mg“ ze”jazh药品价格,使用等信息,最快 24 小时回馈
出境医 / 海外药品 / zorpidem蹲下锁5mg“ ze” / zorpidem squer锁10mg“ ze”jazh
zorpidem蹲下锁5mg“ ze” / zorpidem squer锁10mg“ ze”jazh
2012年6月
zorpidem蹲下锁5mg“ ze” / zorpidem squer锁10mg“ ze”
创建或修订年
- **于2023年1月(第12版)K13修订
- *修订于2022年7月
日本标准产品分类编号
- 871129
医学分类名称
- 睡眠代理
批准,等等
- 销售名称
- Zolpidem蹲锁5mg“ ZE”
销售名称代码
- 1129009F1181
批准 /许可号码
- 批准编号
- 22400AMX00434
- 商标
- ZOLPIDEM TARTRATE片5mg“ ZE”
药品价格标准日期
- 2012年6月
销售日期
- 2012年6月
储蓄,到期日期等
- 储蓄
- 室温是存储的,但是平板电脑拆分后,阴影保存
- 截止日期
- 显示在外盒子上
标准名称
- 日本药房
- Zorpidem蹲锁
法规类别
- 精神药物
- 习惯性药物
- (与习惯的预防措施)
- 处方药
- (根据医生等处方使用预防措施)
作品
- 成分和数量(在1片中)
- Zolpidem松鼠5mg
- 添加剂
- 含有乳糖氢,纤维素晶体纤维素,氢化脂蛋白,星酸钠,硬脂酸镁,6000个宏观戈尔,氧化钛,铁中con虫,铁,铁和carnaubaro。
特点
- 药物
- 膜涂层锁(带有分界线)
- 语气
- 淡色
- 外形

- 尺寸
- 直径:6.6mm厚度:2.7mm重量:93毫克
- 识别代码
- Ze54,5
- 销售名称
- Zolpidem蹲锁10mg“ ZE”
销售名称代码
- 1129009F2188
批准 /许可号码
- 批准编号
- 22400AMX00435
- 商标
- Zolpidem Tartrate片10mg“ ZE”
药品价格标准日期
- 2012年6月
销售日期
- 2012年6月
储蓄,到期日期等
- 储蓄
- 室温是存储的,但是平板电脑拆分后,阴影保存
- 截止日期
- 显示在外盒子上
标准名称
- 日本药房
- Zorpidem蹲锁
法规类别
- 精神药物
- 习惯性药物
- (与习惯的预防措施)
- 处方药
- (根据医生等处方使用预防措施)
作品
- 成分和数量(在1片中)
- Zolpidem 10 mg
- 添加剂
- 含有乳糖氢,纤维素晶体纤维素,氢化脂蛋白,星酸钠,硬脂酸镁,6000个宏观戈尔,氧化钛,铁中con虫,铁,铁和carnaubaro。
特点
- 药物
- 膜涂层锁(带有分界线)
- 语气
- 淡色
- 外形

- 尺寸
- 直径:8.6毫米厚:3.4毫米重量:185mg
- 识别代码
- Ze55,10
警告- 服用这种药物后,它可能出现在飘动的状态和伴随症状的睡眠状态(梦幻症状等)。另外,请注意,您可能不会记得觉醒的事件,直到入睡。
|
限制(请勿对下一个患者进行管理)- 1。
- 对该药物成分过敏的患者
- 2。
- 严重肝损伤的患者[代谢功能的降低会增加血液浓度并具有很强的作用。这是给出的
- 3。
- 严重肌肉的患者[肌肉松弛可能会使症状恶化。这是给出的
- 四个。
- 青光眼角的急性阻塞这是给出的
- 五。
- *这种药物(严重的自我障碍,其他伤口,事故等)作为睡眠伴奏症状(例如梦幻症状)的患者可能表达伴随的症状。这是给出的
|
原则上是禁忌的(原则上,它不会对下一个患者进行管理,但请在必要时仔细管理)- 如果由于肺部,肺气肿,支气管哮喘和脑血管疾病而高度降低呼吸功能,则很容易引起由于呼吸道控制引起的二氧化碳cooocis。这是给出的
|
功效或效果
- 失眠(不包括与精神分裂症和躁狂抑郁有关的失眠)
与效果相关的使用预防措施
- 确认心解疾病后必须进行该药物的给药。对于与躁狂抑郁症相关的精神分裂症或失眠,无法期望这种药物的有效性。
用法和剂量
- 通常,就在睡前之前,将5至10 mg的唑吡坦口服作为Zolpidem Tapic Acid口服。此外,老年人一次开始服用5毫克。由于年龄,症状和疾病,它会适当增加或减少,但每天不会超过10 mg。
与使用和剂量有关的预防措施
- 1。
- 对这种药物的反应存在个体差异,作为一种深度状态,伴随症状的睡眠(梦想倾倒症状等)出现为剂量依赖性,因此当服用该药物时,从少量开始使用该药物(5 mg)一次)。如果您不得不不避免地增加数量,请在观察它的同时仔细管理。但是,它不会超过10毫克,并且会随着症状的改善而尝试减肥。
- 2。
- 服用这种药物时,请在上床睡觉前服用。此外,如果您没有足够的睡眠时间在患者起床之前开始进行活动,或者如果您暂时起床去工作等。当有可能在药用效应消失之前开始活动时。
使用预防措施
谨慎的管理
(请小心地给下一个患者管理)
- 1。
- 无力的患者[药物的作用得到强烈表达,并且可能出现副作用。这是给出的
- 2。
- 老年人(请参阅有关“老年管理”的部分)
- 3。
- 心力衰竭的患者[可能发生血压,心脏病患者可能会恶化症状。这是给出的
- 四个。
- 肝损害的患者(请参阅[禁忌症]部分)
- 五。
- 肾脏疾病的患者[排泄被延迟,并且可能出现影响。这是给出的
- 6。
- 大脑中有机残疾患者[可能有强烈的作用。这是给出的
重要的基本预防措施
- 1。
- 避免连续给药长期使用,因为它可能由于连续使用而导致药物依赖性。在继续使用该药物时,请仔细考虑需要治疗(请参阅“严重副作用”部分)。
- 2。
- 请注意不要从事危险机器(例如驾驶汽车)的操作,因为这种药物的影响可能会在第二天早晨发生,因为可能会发生嗜睡,注意力,注意力和反射性运动技能。
相互作用
互动的轮廓
- 该药物主要由CYP3A4和CYP2C9和CYP1A2(主要是CYP3A4和CYP1A2)代谢。
合并用途的注释
(请注意联合使用)
- 1。麻药
- 临床症状 /度量方法
- 请仔细管理,因为可能会出现呼吸抑制。
- 机械 /危险因素
- 呼吸可能会减少。
- 2。中枢神经系统抑制剂示例衍生物,balbitur酸衍生物等。
- 临床症状 /度量方法
- 谨慎地弄清楚中枢神经系统抑制效应可能会增加。
- 机械 /危险因素
- 该药物和这些药物具有中枢神经约束。
- 3。酒精(喝)
- 临床症状 /度量方法
- 心理功能,感知,运动功能等可能会增加,因此请尽可能保持饮酒。
- 机械 /危险因素
- 酒精通过作用于GABA A受体具有中枢神经系统抑制作用,因此可以通过结合使用中枢神经系统抑制作用。
- 四个。利福平
- 临床症状 /度量方法
- 该药物的血液浓度可能会降低,并且可能会降低作用。
- 机械 /危险因素
- 药物代谢酶CYP3A4受到指导,促进了该药物的代谢。
副作用
概述表达状态,副作用
- 该药物不进行调查,以阐明副作用的频率,例如用法调查。
严重的副作用
- 1.依赖性,戒断症状(均经常未知) :
- 由于连续使用可能会导致药物依赖性,因此请注意观察,并小心施用用于剂量和使用期。此外,由于剂量突然减少或取消给药,可能会出现戒断症状,例如抗降压失眠,易怒等症状,因此,如果停产管理,则逐渐减轻了体重。
- 2.精神症状和意识障碍(均经常未知) :
- *精神症状和意识障碍,例如ir妄,混乱,幻觉,兴奋,意识下降和意识可能会出现,因此如果发现异常,可以充分观察患者的状况并停止给药。
- 3. *过渡后阳性状态,肿块状态,伴随症状的睡眠(梦幻症状等) (两者都未知) :
- *超出阳性的过度(我不记得在入睡之前发生的事件,我不记得在觉醒时发生的事件),睡眠状态,睡眠伴奏症状(例如梦想症状等)可能会出现。之后,立即上床睡觉,请注意在睡眠期间不要表演。据报道,汽车等的驾驶,餐点等,并且不记得没有足够唤醒的事件。还报道了包括死亡在内的严重自我障碍,其他伤口和事故。如果发现异常,请停止给药。
- 4.呼吸抑制(频率未知) :
- 呼吸抑制可能会出现。此外,如果将呼吸功能施用给高度降低呼吸功能的患者,则可能引起二氧化碳,因此在这种情况下,应固定气道并应适当进行通风。
- 5.肝功能障碍,黄疸(两者都不知道) :
- 可能会出现AST(GOT),ALT(GPT),γ-GTP,Al-P上升的肝功能障碍和黄疸,因此,如果您观察到它,并且如果发现任何异常,将给予给药。取消并采取适当的措施。
另一个副作用
- 1.精神神经系统
- 未知频率
- 睡觉,嗜睡,头痛,昏昏欲睡的感觉,头晕,头晕,焦虑,噩梦,喜怒无常,幻觉,麻木,麻木
- 2.血液
- 未知频率
- 白细胞,白细胞减少
- 3.肝脏
- 未知频率
- Alt(GPT)增加,γ-GTP增加,AST(GOT)增加,LDH上升
- 4.肾脏
- 未知频率
- 蛋白尿
- 5.消化
- 未知频率
- 顽皮,呕吐,厌食,腹痛,腹泻,嘴巴幻觉,食欲增加
- 6.心血管
- 未知频率
- 呼吸
- 7.超敏反应注1 )
- 未知频率
- 皮疹,所以发痒
- 8.骨骼肌
- 未知频率
- 大,疲劳,下肢无力,肌肉痉挛
- 9.眼睛
- 未知频率
- 双视图,视觉障碍,雾目录
- 10.其他
- 未知频率
- 口渴,不适,跌落注2) ,味道异常
- 注意1)如果表达,请停止管理。
- 注2)报道了由于下降而导致老年人骨折的一个例子。
老年人的管理
- 运动嫉妒可能会发生。此外,由于可能出现副作用,因此应从少量(一次5 mg)开始给药,并且一次不超过10 mg。
管理孕妇,妇产科妇女等。
- 1.孕妇等:
- 对于可能怀孕的孕妇或妇女,只有在确定治疗要超过危险的情况下才有必要管理。 [尚未确定怀孕期间的管理安全。据报道,这种药物是人类的胎盘,并退休的症状,例如呼吸抑制,抽搐,震颤,易于刺激和难以喂食从怀孕后期服用这种药物的患者出生的儿童。 。这些症状可能被报告为新生短语。这是给出的
- 2.母乳喂养妇女:
- 希望在哺乳期间避免给女性服用,但是如果不可避免地给药,请避免母乳喂养。 [据报道,它将转向母乳喂养,并有可能被新生儿销毁的风险。这是给出的
给儿童的管理等
- 尚未建立低出生体重,新生儿,婴儿,婴儿或儿童的安全性(经验更少)。
过量
- 症状:
- 仅在这种药物的过量服用中,据报道,可能会报告意识障碍,但可能会出现严重的症状,例如中枢神经系统抑制,血压降低,呼吸抑制和磨损。
- 行动:
- 除了监测呼吸,脉搏和血压外,还采取了适当的措施,例如呕吐,胃清洁,吸附剂和泻药给药,输液和气道。此外,当使用明显或怀疑该药物的过量服用这种药物时,使用fulmazenyl(苯二氮卓受体拮抗剂)作为治疗时,请先采取预防措施(禁忌症,谨慎,谨慎的给药,相互作用,相互作用等。该药物不会被血液透析去除。
适用的预防措施
- 在药物时:
- PTP包装药物应从PTP纸中取出并教给它。据报道,PTP纸的硬尖角在食管粘膜中被刺伤,并且严重的并发症(例如纵隔炎)是由穿孔引起的。这是给出的
其他预防措施
- 在未鉴定药物的未鉴定的新药(苯二氮卓受体拮抗剂)中服用的患者可能会改变或延迟这种药物。
药代动力学
- 1.生物当量测试1)
- Zolpidem蹲下锁5毫克或Zolpidem蹲片10毫克“ ZE”,每种标准制剂(5毫克或10毫克作为Zolpidem说话)通过交叉方法(5 mg或10 mg或10毫克)健康的成年男孩固定在快速的 - 充满固定的成年男孩。由于对90%置信区定律的统计分析(AUC,CMAX)的统计分析,它在log(0.80)到log(1.25)的范围内。两种药物的生物学等效性已得到证实。
Zolpidem蹲锁5mg“ ZE”

Zolpidem蹲锁10mg“ ZE”

血浆浓度和参数(例如AUC和CMAX)可能会根据测试条件(例如选择受试者的选择,收集体液的时间数量等)而有所不同。- 2.侵犯行为2)
- 已经证实,Zolpidem蹲锁5mg“ ZE”和10毫克的同一片剂“ ZE”与日本药品药品中规定的Zolpidem Tap Tap Locks的洗脱标准相匹配。
药代动力学表
| 判断参数 | 判断参数 | 参考参数 | 参考参数 |
| AUC (0→24) (ng/hr/ml) | cmax (ng/ml) | tmax (HR) | T 1/2 (HR) |
| Zolpidem蹲锁5mg“ ZE” | 309.9±136.6 | 85.1±31.6 | 0.7±0.3 | 2.0±0.4 |
| 标准准备(平板电脑,5mg) | 290.1±131.9 | 77.8±29.4 | 1.0±0.4 | 2.1±0.4 |
(平均±SD,n = 20)
| 判断参数 | 判断参数 | 参考参数 | 参考参数 |
| AUC (0→24) (ng/hr/ml) | cmax (ng/ml) | tmax (HR) | T 1/2 (HR) |
| Zolpidem蹲锁10mg“ ZE” | 529.7±264.9 | 141.6±44.2 | 1.2±1.1 | 1.9±0.6 |
| 标准准备(平板电脑,10mg) | 577.0±309.0 | 158.4±75.2 | 1.1±0.9 | 1.9±0.7 |
(平均±SD,n = 20)
药物
- 唑吡丁鳞酸不是基于苯二氮卓类化合物的化合物,而是选择性地粘结到苯二氮卓接头,并显示出相同的作用。苯二氮卓类接合的位点存在于抑制的神经素养剂GABA A受体亚基中,并且通过在此结合,GABA A受体会增加GABA的亲和力,并增强GABA A System Aver抑制机制。 3)
有关活性成分的物理和化学知识
- 通用名称:
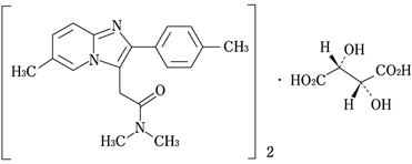
- *Zolpidem tartrate(Jan)
- 化学名称:
- N , N ,6-三甲基-2-(4-甲基苯基)Imidazo [1,2- a ]吡啶-3-乙酰氨酰胺半(2 r ,3 r ) - tartrate-tartrate
- 分子类型:
- (C 19 H 21 N 3 O) 2・ c 4 H 6 O 6
- 分子量:
- 764.87
- 结构公式:

- 一致:
- Zorpidem Tartar Acid是白色晶粉。溶于乙酸(100)很容易溶解在N , N-二甲基甲醇或甲醇中,很难溶于水中,并且很难溶于乙醇(99.5)或无水酸性。 0.1mol/L溶于盐酸测试中。光逐渐变成黄色。
转动[α] 20 D :大约 + 1.8°(1G, N -N -dimethylholmamide,20 mL,100mm)
处理的预防措施
- 稳定性测试4)
- 使用PTP包装和玫瑰包装的加速测试(聚乙烯瓶 /秘密水龙头)(40°C,相对湿度为75%,6个月),Zolpidem squeezu Sernine片5mg“ ZE”和10mg的同一锁“ ZE”通常是假设所有市场分销都稳定了三年。
包装
- Zolpidem蹲下锁5mg“ ZE” PTP:100片,500片
- ** zorpidem蹲锁10mg“ ZE” PTP:100片,500片
主要文献和文档请求目的地
主要文献
- 1)
- 全明星制药行业有限公司:生物当量测试的材料(在房屋材料中)
- 2)
- 全明星制药行业有限公司:与洗脱测试有关的材料(在房屋材料中)
- 3)
- *第18次修订的日本药房评论(Hirokawa Shoten),C-3033(2021)
- 四)
- 全明星制药行业有限公司:稳定性测试的材料(在房屋材料中)
文学要求
- 请在主要文档中描述的房屋材料中索取以下内容。
全星制药有限公司制药信息部 - 1-2-7 ASAHI-CHO,ABENO-KU,大阪545-0051
- 免费拨号0120-189-228
电话06-6630-8820 - 传真06-6630-8990
有关长期管理药物的信息
- 根据卫生,劳动和福利部第75号通知(2012年3月5日,2006年卫生,劳工和福利部公告,第107号公告,部分修正案),该药物一次不得超过30天。 。
制造商等的姓名或名称和地址等。
- 销售代理
- All Star Pharmaceutical Co.,Ltd。
- 2-4-12 Mukuro-ku,Sakai-ku,Sakai-shi
- 制造和分销商
- All Star Pharmaceutical Co.,Ltd。
- 1-2-7 ASAHI-CHO,ABENO-KU,大阪