4006 776 356
免费咨询 9:00-18:00
获取国外Bufferin组合锁A330jazh-CN药品价格,使用等信息,最快 24 小时回馈
出境医 / 海外药品 / Bufferin组合锁A330jazh-CN
Bufferin组合锁A330jazh-CN
2009年9月
Bufferin组合锁A330
创建或修订年
- **于2023年1月(第七版)修订
- *修订于2022年5月(第六版)
日本标准产品分类编号
- 871143
日本标准产品分类编号,等等。
- 重新评估结果公告年(最新)
- 2014年4月
医学分类名称
- 动脉镇痛火焰橡皮擦
批准,等等
- 销售名称
- Bufferin组合锁A330
销售名称代码
- 1143010F2074
批准 /许可号码
- 批准编号
- 22100AMX01013000
- 商标
- Bufferin组合片A330
药品价格标准日期
- 2009年9月
销售日期
- 2009年9月
储蓄,到期日期等
- 储蓄
- 水分减少并保存
- 截止日期
- 在包装中显示的到期日期内使用。
作品
- 该药物每片含330毫克的阿司匹林,150毫克的拨号(歧义氨基酯50 mg和碳酸镁100 mg)。
- 包括玉米作为添加剂。
特点
- 这是一个两个层次的锁,其中包含阿司匹林和拨号国家,是一个白色的裸片,在平板电脑的一侧刻有DB。
- 飞机

- 边

- 尺寸 /直径
- 11.0mm
- 尺寸 /厚度
- 5.2mm
- 重量
- 0.54克
- 识别代码
- D B
限制(请勿对下一个患者进行管理)- 1。
- 对这种药物的成分或水杨酸制剂过敏的患者和该药物的患者
- 2。
- 消化溃疡的患者(但是,请参见“陷入困境”的“护理”部分,可能会使胃出血或消化溃疡的表达恶化。这是给出的
- 3。
- 严重的血液异常患者[可能会恶化血液异常,并具有严重的副作用。这是给出的
- 四个。
- 严重的肝损伤患者[血液浓度增加,可能发生严重的副作用。这是给出的
- 五。
- 严重的肾脏疾病患者[血液浓度增加,可能发生严重的副作用。这是给出的
- 6。
- 严重心脏功能障碍的患者[血液浓度升高和严重的副作用。这是给出的
- 7。
- 阿司匹林哮喘(由于非替代性抗炎镇痛药等引起的哮喘癫痫发作或现有患者[严重的哮喘发作可能引起严重的哮喘发作。这是给出的
- 8。
- 孕妇在分娩的12周内[请参阅有关“孕妇,妇产科,护理妇女等”的部分
|
功效或效果
- 头痛,牙痛,月经疼痛,寒冷,类风湿关节炎,风湿性热,有症状的神经痛
用法和剂量
- 1.头痛,牙痛,月经疼痛,抗热热
- 通常,每位成人2片,每天两次。
- 2.类风湿关节炎,风湿性热,有症状的神经痛
- 通常,每次2至4片,每天2-3次。
- 在每种情况下,根据年龄和症状,它都会适当增加或减少。
使用预防措施
谨慎的管理
(请小心地给下一个患者管理)
- 1。
- 患有消化溃疡病史的患者[消化溃疡可能会复发。这是给出的
- 2。
- 血液异常或其病史的患者[副作用可能表现强烈。这是给出的
- 3。
- 出血趋势的患者[可能发生血小板功能异常。这是给出的
- 四个。
- 肝脏损伤或病史的患者[副作用可能出现强烈。这是给出的
- 五。
- 肾脏疾病或其病史的患者[副作用可能表现出强烈的出现。这是给出的
- 6。
- 心脏功能异常的患者[副作用可能出现强烈。这是给出的
- 7。
- 有超敏反应史的患者
- 8。
- 支气管哮喘的患者[可能诱发哮喘发作。这是给出的
- 9。
- 老年人[请参阅“老年人行政”部分]
- 十。
- 孕妇(但是,禁忌分娩的12周内孕妇)或可能怀孕的妇女[请参阅“执行孕妇,妇产科,护理妇女等的行政”部分。
- 11。
- 儿童[请参阅“重要的基本预防措施”部分,“对儿童的管理等”]
- 12。
- 手术,心脏导管测试或牙齿拔牙前一周之内(存在增加失血的风险。这是给出的
- 13。
- 长期服用非替代性抗炎性镇痛药引起的消化溃疡的患者需要长期服用该药物,并已通过杂种治疗(杂酚醇是非替代性抗抑制性镇痛药。具有有效性和有效性,但也有一种消化溃疡,表现出Miso Prostor对治疗的抵抗力,因此,如果连续施用该药物,则观察到进展并谨慎。给药。)
- 14。
- 酒精饮料的酒精饮料[胃出血的危险可能会增加。 (请参阅“互动”部分)]
重要的基本预防措施
- 1。
- 尽管实际使用水杨酸制剂与日本不同,但在美国有一份流行病学调查报告,表明水杨酸配方和黑麦病的相关性,因此该药物不适合15岁以下的水痘。原理,如果不可避免地给药时,必须在给药后仔细管理和观察患者的状况。
[RAI综合征:首先,病毒疾病(例如水痘和流感)在儿童中,严重的呕吐,意识,抽搐(急性脑水肿)和肝脏和其他器官,线粒体变形,AST(GOT)・AST(GOT)・(GOT)・死亡率(GPT) / LDH / CK(CPK),高氨,降压症,低血糖等死亡率在短时间内表达。这是给出的 - 2。
- 应当指出,用抗染料镇痛药治疗不是一种病变疗法,而是一种有症状的治疗方法。
- 3。
- 当使用该药物用于慢性疾病(类风湿关节炎,变形关节炎等)时,请考虑以下问题。
- (1)
- 对于长期给药,应进行定期临床测试(尿液检查,血液检查,肝功能检查等)。此外,如果发现异常,请采取适当的措施,例如减肥和毒品假期。
- (2)
- 考虑药物疗法以外的其他疗法。
- 四个。
- 当使用这种药物进行急性疾病时,请考虑以下物品。
- (1)
- 考虑到疼痛和发烧程度。
- (2)
- 原则上,避免长期服用同一药物。
- (3)
- 如果有因果疗法,请这样做。
- 五。
- 充分观察患者的状况并注意副作用的表达。
请注意治疗后患者的状况,尤其是在高烧儿童,老年人或消耗性疾病的疾病中,可能会出现体温下降,塌陷,肢体冷却等。 - 6。
- *由于可能受到感染,因此在由于感染引起的炎症时,应在必要时使用适当的抗菌剂,并应仔细地进行观察。
- 7。
- 希望避免与其他抗炎镇痛药结合使用。 [请参阅“互动”部分]
- 8。
- 老年人和儿童应特别注意副作用的表达,并仔细管理,例如最大程度地减少必要的用途。
- 9。
- 据报道,在手术前一周内给予阿司匹林的例子,失血量显着增加,因此请谨慎术前给药。
相互作用
合并用途的注释
(请注意联合使用)
- 1。药物名称等。尿酸排泄启动子Propereneid bennese bromalon
- 临床症状 /度量方法
- 尿酸排泄促进剂可减少尿酸排泄。
- 机械 /危险因素
- 该药物拮抗尿酸排泄的尿酸排泄。
- 2。药物名称等(胰岛素制剂,torubutamide等)
- 临床症状 /度量方法
- 要小心,因为它可能会增加血糖下降效应,并在必要时减轻体重。
- 机械 /危险因素
- 水杨酸本身具有血糖。此外,还认为,溢出的磺酰基尿素样低血糖的数量被基于磺酰基尿素的浸润剂(例如Torubotamide)代替,与血浆蛋白结合。
- 3。抗凝剂等药物名称:库玛琳抗凝葡萄糖钙
- 临床症状 /度量方法
- 由于可以增强基于库玛林的抗凝剂的作用,因此可能会延长出血时间,消化管出血等,因此仔细施用它很重要,例如减少基于库马林的抗凝剂的量。
- 机械 /危险因素
- 该药物被基于Kumarine的基于Kumarine的抗凝剂与血浆蛋白结合,并释放。此外,该药物具有血小板聚集抑制作用和由于消化管刺激引起的出血作用。
- 四个。分析性凝血,例如药物名称:血液凝血预防剂,肝素制备,那道钠钠,XA抑制剂,loxavan等。反凝结剂bin drum davigatran etexilat甲酸甲酸,Trombie Modulin alpha
- 临床症状 /度量方法
- 与这些药物一起使用可能会增加出血的风险,因此请小心并小心。
- 机械 /危险因素
- 由于该药物具有血小板聚集抑制,因此使用这些药物可能会增加出血趋势。
- 五。化学名称,例如药物名称,血小板聚集等。芝加哥盐酸盐盐酸盐盐酸盐羟基核酸摄影术Grelle硫酸硫酸盐Tromboxan合成肥大抑制剂ozurelnatorium ozurelnatorium ozurelnatorium e 1 E 1和I 2衍生物belloproston porium torium e 1和I 2衍生物belloproston porium exteraporton等等。
- 临床症状 /度量方法
- 与这些药物一起使用可能会增加出血的风险,因此请小心并小心。
- 机械 /危险因素
- 由于该药物具有血小板聚集抑制,因此使用这些药物可能会增加出血趋势。
- 6。绘制的名称等。血栓溶解剂尿蛋白酶T-PA制备等。
- 临床症状 /度量方法
- 与这些药物一起使用可能会增加出血的风险,因此请小心并小心。
- 机械 /危险因素
- 由于该药物具有血小板聚集抑制,因此使用这些药物可能会增加出血趋势。
- 7。药物名称等。Methotrexart
- 临床症状 /度量方法
- Methotrexart(骨髓抑制,肝脏,肾脏,胃肠道疾病等)的副作用可能会增加。
- 机械 /危险因素
- 该药物被甲氨蝶呤与血浆蛋白结合而取代,并进行了播放。此外,该药物被认为可以抑制甲虫的肾脏排泄。
- 8。锂制剂,例如药物名称
- 临床症状 /度量方法
- 血液锂浓度可能会增加,锂中毒可能会增加。
- 机械 /危险因素
- 据认为,由于前列腺素在这种药物的肾脏中前列腺素的前列腺素生物性,锂的锂体外会降低,血液浓度增加。
- 9。欢呼的利尿剂,例如药物名称
- 临床症状 /度量方法
- 利尿剂和降压作用可能会降低。
- 机械 /危险因素
- 由于该药物在肾脏中这种药物的前列腺素生物合成抑制作用,因此被认为可以减少水和钠的排泄。
- 十。药物名称非类固醇抗炎型镇痛糖酸二叠纪等,等等。
- 临床症状 /度量方法
- 非固醇抗炎止痛药的血液浓度可能会降低,并可能降低影响。
- 机械 /危险因素
- 据认为,考虑到血浆蛋白合并位点的非替代性抗炎性镇痛药的吸收抑制。
- 11。药物名称非类固醇抗炎型镇痛糖酸二叠纪等,等等。
- 临床症状 /度量方法
- 出血可能会增加,并且可能带来较低的肾功能。
- 机械 /危险因素
- 该机制未知。
- 12。硝酸甘油,例如药物名称
- 临床症状 /度量方法
- 硝酸甘油的作用可能会降低。
- 机械 /危险因素
- 该药物可以抑制前列腺素I 2BA的生物合成,该生物合成是由血管内皮细胞产生和产生的,具有血管延伸,并且容易受到硝酸甘油血管延伸的影响。
- 13。基于四骑自行车的抗菌新kinolon抗菌剂,例如药物名称
- 临床症状 /度量方法
- 四循环抗生素或新的中央酮抗菌剂的作用减少了抗菌力。
- 机械 /危险因素
- 据认为,拨号酸对照的拨号板会产生四循环抗生素或新的金诺酮抗菌剂和脱糖性螯合物,从而抑制这些药物从消化道中吸收,并降低血液浓度。
- 14。化学名称等。皮质激素剂贝塔米甲叶替森乙酸盐乙酸酯埃塞甲甲基泼尼松酮等
- 临床症状 /度量方法
- 据报道,将这种药物与这些药物一起使用时会增加该药物的血液浓度,并引起水杨酸中毒。
- 机械 /危险因素
- 据说皮质激素剂显着增加了水杨酸的肾脏排泄和肝代谢,据说水杨酸浓度小于治疗区域,并且当与结合使用时,可以增加水杨酸的剂量肾上腺皮质激素。在失去或停止皮质类固醇时要小心。
- 15。药物名称等。氟叶二硫乙烷
- 临床症状 /度量方法
- 该药物的副作用可能会得到增强。
- 机械 /危险因素
- 在肾脏的排泄物中与该药物竞争。
- 16。药物名称等。乳酸钠
- 临床症状 /度量方法
- 该药物的尿液排泄可能会增加。
- 机械 /危险因素
- 据认为,这种药物的尿液排泄是通过乳酸钠的碱作用来促进的。
- 17。 OxyCamal抗炎镇痛药(Pilloxicam等),例如药物名称
- 临床症状 /度量方法
- 存在两种药物或一种药物的副作用的频率可能会增加的风险。
- 机械 /危险因素
- 该机制未知。
- 18。巴布隆钠,例如药物名称
- 临床症状 /度量方法
- 钠粉的作用可能会增强并引起震颤。
- 机械 /危险因素
- 阿司匹林被巴布隆钠与血浆蛋白结合取代并被释放。
- 19。 fenitoin,毒品名称等。
- 临床症状 /度量方法
- 据报道,总均经浓度降低了,但是非结合的落下浓度不会降低,因此,基于总苯酚浓度增加数量时,请仔细观察到临床症状等。
- 机械 /危险因素
- 该药物被落下的均经均经均取代并将其分开。
- 20。乙酰唑胺,例如药物名称
- 临床症状 /度量方法
- 据报道,它可以增强乙酰唑胺的副作用,并引起中枢神经系统症状,例如流动,混乱和代谢性酸中毒。
- 机械 /危险因素
- 阿司匹林被与血浆蛋白键合的乙酰酰胺代替并分离。
- 21。药物名称等。血管紧张素转化酶抑制剂(ACE抑制剂)
- 临床症状 /度量方法
- ACE抑制剂的降压作用可能会降低。
- 机械 /危险因素
- 这种药物拮抗了ACE抑制剂的前列腺素生物合成作用。
- 22。药物名称等。β受体阻滞剂
- 临床症状 /度量方法
- β受体阻滞剂的降压作用可能会降低。
- 机械 /危险因素
- 该药物抑制前列腺素活体合成,并竞争β受体阻滞剂的降压作用。
- 23。盐酸载脑盐,例如药物名称
- 临床症状 /度量方法
- 消化溃疡可能发生。
- 机械 /危险因素
- Colin系统被激活,并促进胃酸分泌。
- 24。化学名称等。
- 临床症状 /度量方法
- 可能会出现肾病性疾病。
- 机械 /危险因素
- 据认为,肾脏疾病的副作用将相互增加。
- 二十五。毒品名称等。Zafiru演员
- 临床症状 /度量方法
- Zaffirle铸件的血浆浓度可能会增加。
- 机械 /危险因素
- 机制是未知的。
- 26。前列腺素D 2 ,Tromboxan A 2受体拮抗剂(Seratroodast,Ramatrovan)
- 临床症状 /度量方法
- 在检查针对人类血清毒素的相互作用(在体外)时,该药物可能会增加这些药物的非结合部分。
- 机械 /危险因素
- 人们认为这些药物被这种药物和血浆蛋白结合的位点代替,并且捐赠的血液浓度增加了。
- 27。选定的5-羟色胺聚会抑制剂(SSRI),例如药物名称
呋喃胺马来酸盐酸,等。- 临床症状 /度量方法
- 皮肤异常出血(斑点出血,紫色斑点等)和出血症状(胃肠道出血等)。
- 机械 /危险因素
- 人们认为,SSRI的给药会阻碍血小板聚集,并且通过与该药物结合来增加出血趋势。
- 28。毒品名称酒精
- 临床症状 /度量方法
- 胃肠道出血可能会增加。
- 机械 /危险因素
- 据认为,该药物的酒精和前列腺素合成抑制性胃肠道出血会增加。
副作用
概述表达状态,副作用
- 在总共470例中,症状和小儿水牛的副作用的数量与该药物相同的阿司匹林拨号轴的制剂是64例副作用。主要症状是胃肠道疾病(50例)。
严重的副作用
- 1.休克,过敏反应
- 可能会出现冲击和过敏症(呼吸困难,全身FLEN,血管水肿,荨麻疹等),因此请务必观察它们,如果发现异常并采取适当的措施,请取消给药。
- 2.流血
- 胞缘出血,例如脑出血
- 由于可能出现颅内出血(最初的症状:头痛,恶心,呕吐,意识障碍,偏瘫等),因此可以充分观察到,如果出现这种症状,则停止使用该症状。应采取适当的措施。
- 肺出血,胃肠道出血,鼻血出血,眼底出血等。
- 由于可能会出现肺出血,胃肠道出血,鼻腔出血,眼底出血等,因此必须进行足够的观察,如果出现这种症状,则必须停止使用并采取适当的措施。
- 3.有毒表皮坏死溶解(十),皮肤粘膜综合征(史蒂文斯 - 约翰逊综合症),剥皮皮炎
- 可能会出现有毒表皮恶化,皮肤粘膜综合征和皮炎,因此可以充分观察到,如果出现这种症状,请停止给药并接受适当的治疗。
- 4.回收贫血,减少血小板,白细胞减少
- 可能会出现特性贫血,血小板化和白细胞,因此应充分观察到,如果发现异常,则应停止给药并采取适当的措施。
- 5.引起哮喘攻击
- 它可能引起哮喘攻击。
- 6.肝功能障碍,黄疸
- 可能会出现肝功能障碍和黄疸,其AST(GOT),ALT(GPT),γ-GTP等显着增加,可能会出现足够的观察结果,如果发现异常,则停产,应进行适当的措施。拍摄。
- 7. *消化溃疡,小肠 /结直肠溃疡
- 可能会出现胃溃疡和十二指肠溃疡等消化溃疡。此外,由于可能会出现消化道出血,肠道穿孔,小肠 /结直肠溃疡,出现狭窄和阻塞,因此有必要充分观察,如果发现异常,请停止给药,并采取适当的措施。
- (两个都是未知的)
另一个副作用
- 1.消化
- 5%或更多或频率未知
- 胃肠道疾病,呕吐,腹痛,胃灼热,便秘,腹泻,食管炎,嘴唇肿胀,血腥,恶心
- 2.消化
- 5%至0.1%
- 顽皮,厌食症,胃不适
- 3.超敏反应
- 5%或更多或频率未知
- 麻疹
- 4.超敏反应
- 5%至0.1%
- 皮疹,水肿
- 5.皮肤
- 5%或更多或频率未知
- 是的,瘙痒,皮疹,负担,出汗
- 6.精神病神经系统
- 5%或更多或频率未知
- 头晕,兴奋
- 7.精神神经系统
- 5%至0.1%
- 头痛
- 8.肝脏
- 5%或更多或频率未知
- AST(GOT)增加,ALT(GPT)增加
- 9.肾脏
- 小于0.1%
- 肾脏疾病
- 10.心血管
- 5%或更多或频率未知
- 血压降低,肺炎
- 11.心血管
- 5%至0.1%
- 学科
- 12.呼吸道
- 5%或更多或频率未知
- 过度换气,支气管炎,鼻腔出血
- 13.呼吸道
- 5%至0.1%
- 鼻炎
- 14.传感器
- 5%或更多或频率未知
- 角质炎
- 15.传感器
- 5%至0.1%
- 耳鸣,听力损失
- 16.血液
- 小于0.1%
- 贫血,血小板功能降低(出血时间的扩展)
- 17.其他
- 5%或更多或频率未知
- 代谢性酸中毒
- 18.其他
- 5%至0.1%
- 疏忽
老年人的管理
- 老年人的生理功能(例如肾功能和肝功能)的生理功能有所下降,因此可能会出现副作用,因此在观察患者病情的同时仔细给药,例如从少量开始给药。 [请参阅“重要的基本预防措施”部分]
管理孕妇,妇产科妇女等。
- 1。
- 在分娩的12周内不要对孕妇管理。 [妊娠期的延伸,动脉管的早期关闭,子宫收缩的抑制以及分娩过程中出血增加。在海外的大规模流行病学调查中,怀孕期间服用阿司匹林与出生孕率的诞生之间的因果关系是负的,但是如果使用长期使用时间,则母亲的贫血,分娩后的血液,延伸后的血液据报道,据报道,不可否认的是,分娩,死产,体重减轻和新生儿死亡的危险将增加。还据报道,在人类及其新生儿怀孕结束时服用的患者出现了出血异常。此外,在怀孕结束时对大鼠进行的实验报告了胎儿动脉收缩较弱。这是给出的
- 2。
- 孕妇(但是,除了12周内孕妇以外)或可能怀孕的妇女只有在确定治疗治疗以超过危险的情况下才能服用。管理时,将其保持在必要的最低限度,并仔细施用羊水。据报道,孕妇已使用环氧合酶抑制剂(口服剂,栓剂),肾功能不全,尿液尿量的尿液量和羊水承销。 [据报道,动物实验(大鼠)以骨效应出现。这可能导致妊娠和加班的延长。这是给出的
- 3。
- 母乳喂养的妇女应避免在这种药物期间母乳喂养。 [据报道,它可以搬到母乳中。这是给出的
给儿童的管理等
- 1。
- 在儿童中,可能会出现副作用,因此在观察患者病情的同时仔细给药,例如从少量开始给药。 [请参阅“重要的基本预防措施”部分]
- 2。
- 原则上,不应对15岁以下的水痘或流感患者进行施用,但是如果不可避免地给药,则有必要在给药后仔细施用和观察患者的状况。 [请参阅“重要的基本预防措施”部分]
过量
- 1.症状
- 显示出恶心,呕吐,口干,腹泻,头痛,头晕,耳鸣,听力损失,兴奋,抽搐,过度换气和昏迷等症状。可能会出现基于酸的平衡异常和电解质异常,导致热产生和脱水。在过度换气时,发生呼吸道碱中毒,代谢性酸中毒立即发生。
- 2.机制
- 由于肝的水杨酸代谢能力的限制,水杨酸的血液浓度越高,清除率降低,一半寿命增加。
- 3.行动
- 它对于进行呕吐和胃清洁,然后施用活性碳和泻药也很有用。体液和电解质之间的平衡是通过葡萄糖输注来维持的。对于儿童的高烧,去海绵浴。酸中毒是校正的,尿液是碱性碳酸钠的静脉注射。如果很严重,请考虑血液透析,腹膜灌注等。
其他预防措施
- 1。
- 在体外测试中,据报道,通过阿司匹林等葡萄糖酸代谢的药物抑制了抗杀虫剂(Dwilin)葡萄糖酸的整合。
- 2。
- 据报道,在长期非类固醇中服用的妇女中已经认识到暂时的不育症。
药代动力学
- 由于对健康人的施用Bufferin和单一的阿司匹林片剂等于0.66 g的阿司匹林,因此在服用后10、20和30分钟内,Bufferin显示了比起血浆的两倍。3) 。

临床结果
- 在禁止临床试验中,表4显示了34例病例的447例病例的一般临床试验和双盲比较测试(术后疼痛)的概述。
临床结果表
| 疾病名称 | 更多的 | 有点有效 |
| 类风湿关节炎 | 31.1(29/93) | 50.5(47/93) |
| 头痛 | 70.7(70/99) | 76.8(76/99) |
| 牙疼 | 82.6(19/23) | 82.6(19/23) |
| 神经痛 | 86.7(13/15) | 86.7(13/15) |
| 肌肉疼痛 | 77.8(7/9) | 77.8(7/9) |
| 椎间盘突出症 | 61.1(11/18) | 61.1(11/18) |
| 月经疼痛 | 66.7(6/9) | 66.7(6/9) |
| 发烧 | 78.6(22/28) | 78.6(22/28) |
| 术后疼痛 | 94.1(32/34) | 94.1(32/34) |
| 宫颈综合征 | 67.6(46/68) | 83.8(57/68) |
| 其他疾病 | 74.4(29/39) | 76.9(30/39) |
药物
- 1.分析效果5)
- 我们证实了乙酸化学刺激的镇痛作用,以及通过Randall-Selitto方法(大鼠)的阈值升高。
- 2.反加热的动作5)
- LPS(脂多糖)施用到家族兔子,引起实验热,并检查Bufferin的抗染料作用。
- 3.抗炎作用5)
- Bufferin是对卡拉氏素生长的PODA -FLEDEMEMA(大鼠)的抑制作用,并且由于卡拉吉蛋白和组胺引起的血液透明度(大鼠)也识别出抑制作用。
- 4.胃粘膜刺激测试6)
- 比较了腺体胃中的水牛和阿司匹林的胃病与溃疡的长度和胃出血,并且由于比较非胰蛋白结扎的结果,Bufferin与单个阿司匹林相比是由胃疾病显着产生的。它很小。
- 5.胃抵抗测试7)
- 由于测试了刺激和胃出血等频率。通过双重比较测试方法,发现与单个taste的阿司匹林片剂相比,巴林的胃病较少。

有关活性成分的物理和化学知识
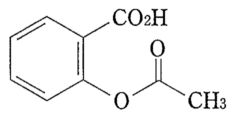
- 1.阿司匹林
- 通用名称
- 阿司匹林(阿司匹林)
- 化学名称
- 2-乙氧基苯甲酸
- 结构公式

- 分子
- C 9 H 8 O 4
- 分子量
- 180.16
- 熔点
- 大约136°C(提前加热溶液至130°C)
- 特点
- 白色晶体,谷物或粉末,没有气味,略带酸味。乙醇(95)或丙酮易于溶解,稍微溶于二乙醚,很难溶于水中。它溶解在氢氧化钠试验溶液或碳酸钠试验溶液中。在湿空气中,它逐渐溶于水杨酸和乙酸。
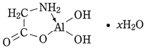
- 2.二氢型氨基氨基含量
- 通用名称
- 铝甘氨酸
- 化学名称
- 二氢氧氨基乙酸酯
- 结构公式

- 分子
- C 2 H 6 Alno 4 / XH 2 O
- 分子量
- 135.05(赤藻)
- 特点
- 使用白色粉末或谷物,没有气味,味道有点甜。
它几乎不溶于水或乙醇。它主要溶解在稀有的盐酸或氢氧化钠尖端溶液中。
- 3.碳酸镁
- 通用名称
- 碳酸镁
- 化学名称
- 碳酸镁
- 分子
- MGCO 3
- 分子量
- 84.31
- 特点
- 白肿块或粉末,没有气味。它几乎不溶于水,乙醇(95),1-丙醇或乙醚。它通过在稀有盐酸中泡沫熔化。饱和水溶液是碱性。
处理的预防措施
- 这种药物是通过吸收水分分解的,因此请在包裹在铝纸中时将其交给患者。
包装
- Bufferin组合片A330:600片(SP包装)
- Bufferin组合片A330:1000片剂(SP包装)
主要文献和文档请求目的地
主要文献
- 1)
- Sim,SM等:Br。Clin。Pharmac。,32(1),17-21,1991。BF -0004
- 2)
- Toshio Asada等:诊断和治疗,54(7),1237-1241,1966。BF-0021
- 3)
- Toshiyuki Hatashita等:诊断和治疗,67(2),359-368,1979。
- 四)
- Takiyama NA等:牙齿视图,37(5),939〜942,1971。其他BF-0023
- 五)
- Setsushi Iwasaki等:基本与临床,11(11),3139-3144,1977。BF-0024
- 6)
- Setsushi Iwasaki等:Applied Pharmacy,15(2),323-332,1978。BF-0025
- 7)
- Sher,DB等人:科学展览世界胃术大会,1958年5月。华盛顿特区BF-0224
文献请求 /产品信息查询
- Eisai Co.,Ltd。HHC热线
- 免费拨号0120-419-497
制造商等的姓名或名称和地址等。
- **制造和分销商
- 狮子有限公司
- 1-3-28库拉玛,塔托 - 库,东京111-8644
- 卖方
- Eisai Co.,Ltd.
- 4-6-10 Koishikawa,Bunkyo-ku,东京