4006 776 356
免费咨询 9:00-18:00
获取国外Entacapon片剂100mg“ Amel”jazh-CN药品价格,使用等信息,最快 24 小时回馈
出境医 / 海外药品 / Entacapon片剂100mg“ Amel”jazh-CN
Entacapon片剂100mg“ Amel”jazh-CN
2016年6月
Entacapon片剂100mg“ Amel”
创建或修订年
- **修订于2018年10月(第三版)
- *修订于2018年2月
日本标准产品分类编号
- 871169
医学分类名称
- 外围COMT抑制剂
批准,等等
- 销售名称
- Entacapon片剂100mg“ Amel”
销售名称代码
- 1169014F1056
批准 /许可号码
- 批准编号
- 22800AMX00298
- 商标
- Entacapone
药品价格标准日期
- 2016年6月
销售日期
- 2016年6月
储蓄,到期日期等
- 储蓄
- 无机容器,室温存储
- 截止日期
- 显示在包装盒和标签上。
请勿使用已通过到期日期的产品。
标准名称
- *日本药房
- Entacapon锁
法规类别
- 处方药1)
- 注意1)注意 - 医生的处方使用。
作品
- 有效成分
- 日本一台平板电脑100mg
- 添加剂
- D-甘露醇,晶体纤维素,淀粉钠,迦密层,羟基硫素,硬脂酸镁,氢化蛋白,氢化蛋白,深gricerin,氧化钛,铁三角洲铁,铁三骨,三位一体,carnavarou,carnaubarou。
特点
- 药物
- 椭圆形膜涂料锁
- 颜色
- 浅黄色红色黄色红色
- 外部形状,大小等。

低直径:约6.2mm
长直径:大约13.3mm
厚度:约4.7毫米
质量:约313.0mg- 识别代码
- Entacapon 100“ Amel”
限制(请勿对下一个患者进行管理)- 1。
- 对该药物成分过敏的患者
- 2。
- 恶性综合征,水平肌肉融化或这些病史的患者(请参阅“副作用”的部分)
|
功效或效果
- 帕金森氏病的每日波动改善了帕金森氏病的日常波动(佩戴氏症现象)因左旋多巴calvidpopa或Levodopa Benzeradidate盐酸盐而导致
与效果相关的使用预防措施
- 1。
- 该药物应用于帕金森氏病患者,这些患者被认为是日常波动的症状(穿着现象)。
- 2。
- 该药物应用于无效治疗Levodpopa,carbidopapa或Levodpapa Benzeraded盐酸盐(每天至少300毫克作为Levodpopa)的患者。
用法和剂量
- 该药物不单独使用,但始终与Levodpupa Calvidpopa或Levodpopa Benzeradido盐酸盐一起使用。
通常,100毫克口服给成人作为一种娱乐。
此外,根据症状,可以将200毫克作为一种娱乐施用。
但是,每天不超过八次。
与使用和剂量有关的预防措施
- 1。
- 该药物是一种有效与左旋多巴碳纤维或左旋多巴的盐酸盐盐酸盐的作用,并且在单一药物中无效。
- 2。
- 在这种药物中,Levodpopa(例如Dyskinesi)的多巴胺可操作性可能会提高RevoDpupa的生物使用率。因此,在剂量开始或增加剂量时,患者的病情充分观察到,如果有多巴胺可操作性的副作用,请调整该药物或左旋多巴钙钙钙蛋白酶钙或左伏doppa Benzeradpaed Benzeradpaed盐酸盐。
- 3。
- 如果该药物一次增加到200毫克,则可以表达障碍等,因此请小心增加量。另外,当数量增加时,应充分观察观察,如果表达了这些症状,应采取适当的治疗方法,例如根据症状程度减少该药物的量。
- 四个。
- 该药物的增加应仔细执行,一次不超过200 mg,每天1,600毫克。
- 五。
- 据报道,该药物的血液浓度在肝损伤患者中增加了,因此必须最小化至200 mg。如果您必须一次增加200毫克的数量,请在观察它时特别仔细地管理它。 (请参阅有关“仔细管理”的部分)
- 6。
- 在重量小于40 kg的患者中,如果您一次施用200 mg,则表达障碍可能会增加,因此请小心一次将其增加到200毫克。
使用预防措施
谨慎的管理
(请小心地给下一个患者管理)
- 1。
- 肝脏或其病史的患者[据报道,肝疾病患者的血液浓度增加了。 ](请参阅<使用与剂量和剂量有关的预防措施的部分)
- 2。
- 棕色细胞瘤的患者[高血压波峰的风险可能会增加。这是给出的
重要的基本预防措施
- 1。
- 在这种药物中,Levodpopa(例如Dyskinesi)的多巴胺可操作性可能会提高RevoDpupa的生物使用率。因此,当使用抗Packinson剂时,应同时仔细观察患者的病情,例如调整这些剂量。
- 2。
- 当暂停该药物的给药时,可能表达帕金森氏病中恶性综合征和水平肌肉融化,因此在观察患者病情的同时逐渐降低剂量。请小心,例如增加使用的左旋多巴 / carbidpopa或Levodopa benzeradido benzeradido hydrochorido hydrochorido hydrochorido 。
- 3。
- 接受这种药物的患者,例如在高海拔高度工作的驾驶汽车,因为可能会出现突然的睡眠,钩子或体位性低血压,从事危险工作。
- 四个。
- 该药物始终与Levodopa,Carbidopa或Levodopa Benzeradidated盐酸盐一起口服,因此请务必注意Levodpupa,Calvidpopa,或Revodpupa Benzeradatidatiate盐酸盐的附件。
- 五。
- 在这种药物和左旋多巴以及患有左旋多巴或多巴胺受体激动剂的患者中,他们在社会上具有不利的结果,例如个人生活的崩溃。在可持续的赌博状态下) ,痴迷的型购买和饮食,已经报道了,因此,如果出现这种症状,减肥或停药是合适的。进行治疗。此外,解释了患者及其家人的这种障碍的症状。
相互作用
- 该药物是一种类别-O-甲基转移酶(COMT)抑制剂,它可能会增加由COMT代谢的药物的血液药物浓度,因此,将其与这种药物结合使用时,请小心。此外,由于建议这种药物抑制药物代谢酶CYP2C9,因此当该酶与代谢药物结合使用时,请小心。
合并用途的注释
(请注意联合使用)
- 由COMT代谢的药物,例如药物名称(肾上腺素(也称为肾上腺素),去甲肾上腺素(也称为Noruepinefin),异丙肾上腺素,多巴胺等)
- 临床症状 /度量方法
- 可能会增加心率,心律不齐和血压波动。
无论转移途径如何,包括吸入。 - 机械 /危险因素
- 这些具有类别组的药物由COMT代谢,但是该药物可以抑制这些药物的代谢并增加作用。
- 选择性MAO-B抑制剂(Selegirin)
- 临床症状 /度量方法
- 有升高血压的风险。这种药物与塞勒吉林之间的相互作用尚未被识别,但是当使用这种药物和塞勒吉林一起使用时,Selegirin的每日量不得超过10 mg。
- 机械 /危险因素
- Selegirin增加了剂量,并且有选择性抑制作用的毛发抑制作用降低,并且存在非选择性MAO抑制作用的危险,因此可以通过将其与这种药物一起使用生理儿茶酚胺的代谢。是。
- 毒品名称等
- 临床症状 /度量方法
- 据报道,这种药物已将R-Walfarin(光学异质体)的AUC增加了18%,并将叶酸蛋白酶蛋白比(INR值)提高了13%。
请注意在一起使用时血液凝血能力的波动。 - 机械 /危险因素
- 该机制未知。
- 毒品名称,等等
- 临床症状 /度量方法
- 铁剂的作用降低。如果将其与铁一起使用,请至少需要2到3个小时或更长时间。
- 机械 /危险因素
- 该药物可能在消化道中形成铁并螯合。
- 毒品名称等istra defillin
- 临床症状 /度量方法
- 与ISTRA Defirin一起使用增加了运动障碍形成的频率。
- 机械 /危险因素
- 该机制未知。
副作用
概述表达状态,副作用
- 该药物不进行调查,以阐明副作用的频率,例如用法调查。
严重的副作用
1.恶性综合征(频率未知)由于这种药物的快速体重减轻或取消,高烧,意识障碍(昏迷),高肌肉僵硬,不受欢迎的运动,冲击状态,凶猛,心动过速,不稳定的血压等,并伴有CK(CPK)(CPK)是水平肌肉融化或急性肾衰竭的风险。在这种情况下,该药物应重新管理,然后逐渐减少,并采取适当的措施,例如冷却体冷却和水合。 2.水平肌肉熔化(频率未知)由于可能发生水平肌肉熔化,因此观察到足够的观察,因此,如果肌肉疼痛,无力,CK(CPK)上升,血液和尿肌球蛋白上升等。还要注意由于水平肌肉融化而引起的急性肾衰竭的发作。 3.睡觉,睡觉(频率未知)由于可能没有前体的突然睡眠和睡眠,因此,在这种情况下,诸如左旋多巴制备,静止药物或取消给药的适当措施是适当的。 4.谬论,幻觉,幻觉,混乱(频率未知)幻影,幻觉,幻觉和混乱可能会出现,因此,如果出现这些症状,请采取适当的措施,例如左旋多巴制剂或去除药物。 5.肝功能障碍(频率未知)可能会发生肝功能障碍,例如胆汁的肝炎,因此,如果出现这种症状,请采取适当的措施,例如减肥或去除药物。另一个副作用
- 皮肤疾病
- (频率未知)
- 床上毛或变质的丘疹皮疹,荨麻疹,紫色斑点,皮肤,头发,胡须,指甲的变色
- 精神疾病
- (频率未知)
- 极端,失眠,噩梦,妄想,焦虑,病理性性欲增加
- 神经系统障碍
- (频率未知)
- 圣人,旋转头晕,锻炼,头晕,迪兹尼,头痛,浮动头晕,位置头晕,停车式的sonism(上下现象等),味道异常,过度运动,震颤。
- 胃肠道疾病
- (频率未知)
- 物理,结肠炎,便秘,恶心,上腹痛,腹泻2) ,胃不适,厌食,呕吐,干,胃炎,腹痛
- 肝脏障碍
- (频率未知)
- AST(GOT)增加,ALT(GPT)增加,γ-GTP增加
- 肾脏和尿路疾病
- (频率未知)
- 彩色尿液计划3) ,尿水潜艇阳性,尿液频繁,bun头升
- 血液和淋巴疾病
- (频率未知)
- 贫血,血红蛋白,白细胞降低,降低红细胞,增加白细胞,减少血细胞比容,铁缺乏症
- 全身性障碍
- (频率未知)
- 疲劳,无助,疏忽,周围水肿,口干
- 肌肉障碍
- (频率未知)
- 关节疼痛,肌肉疼痛,背痛,肌肉痉挛
- 其他的
- (频率未知)
- 细菌感染,血清铁的降低,CK增加(CPK),增加LDH,增加ALP,降低血压,强度低血压,高血压,体重减轻,减肥,下降,呼吸困难。
关于其他副作用的注释
- 注意2)在这种情况下,可能会导致体重减轻等,因此请注意一般状况。
- 注3)由于该药物的代谢物或该药物的代谢,尿液可能被涂上红棕色。
老年人的管理
- 在老年人中,通常会降低生理功能(肾功能,肝功能等),因此在观察患者病情的同时仔细给药。
管理孕妇,妇产科妇女等。
- 1。
- 仅当确定治疗的治疗超过孕妇或可能怀孕的妇女的危险时,才应进行管理。 [尚未确定怀孕期间的管理安全。此外,在生殖毒性测试中,胎儿骨延迟已确认1,000 mg/kg/day给药组。这是给出的
- 2。
- 在这种药物期间避免母乳喂养。 [有报道称,动物实验(大鼠)将移至母乳。这是给出的
给儿童的管理等
- 尚未确定低出生体重,新生儿,婴儿,婴儿或儿童的安全性(没有经验)。
过量
- 体征,症状
- 过量用药引起的急性症状包括混乱,活动减少,睡眠,皮肤变色,荨麻疹等。用药过量的最大每天为16,000毫克。
- 治疗
- 根据症状进行症状治疗。根据需要进行住院的说明,并提供全面的支持疗法。
适用的预防措施
- 在毒品时
- PTP包装药物应从PTP纸中取出并教给它。 (据报道,PTP纸的难度 - 远处的尖锐角刺入食管粘膜中,进一步引起穿孔并引起严重的并发症,例如纵隔炎)。
其他预防措施
- 1。
- 在使用小麦角度多巴胺参与者(溴烯丙烯胺,pelgolide等)的患者中,已经报道了纤维并发症。
- 2。
- 由于这种药物可能加剧左旋左旋杆菌的体位性低血压,因此服用可能引起正常性低血压的药物(α /β抑制剂,α /β-释放剂,交感神经元外周障碍等)。
- 3。
- 在国内临床试验(8周管理)中,该药物是UPDR(统一的帕金森氏病评级量表)第一部分(心理功能,行动和情绪),第二部分(日常生活操作),第三部分(运动能力测试)改善效果Plasebo组之间没有显着差异。
药代动力学
- <生物等效测试> 1)
- ESTACAPON片剂100mg“ Amel”和标准配方是1片(100 mg作为娱乐方式),通过交叉方法,它是通过禁食到健康的成年男孩来测量血浆不愉快的身体浓度来获得的类似药物的参数。统计分析(AUC,CMAX)根据90%的置信区定律,在log(0.80)到log(1.25)的范围内,并确认了两种药物的生物当量。

- 血浆浓度和参数(例如AUC和CMAX)可能会根据测试条件(例如选择受试者的选择,收集体液的时间数量等)而有所不同。
- <征服行为> 2)
- 已经确认,娱乐锁的100mg“ Amel”适合Nippon Pharmacy Pharmaceuticals的洗脱标准。
药物
- 它抑制了负责左旋多巴代谢的一种酶,并阻止了在外围的revodpapa向3 -O-甲基甲基甲虫的转化,以增加左旋多巴的质量降低的量 - 降低左旋多巴的量。 3)
有关活性成分的物理和化学知识
- 通用名称
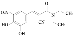
- Entacapone(Entacapone)
- 分子
- C 14 H 15 N 3 O 5
- 分子量
- 305.29
- *结构公式

- 化学名称
- (2 E )-2-Cyano-3-(3,4-二羟基-5-硝基苯基) -n , n -diethylprop-2-烯酰胺
- *特征
- 它是黄色至obi绿色黄色的结晶粉。
溶解在甲醇中有些困难,难以溶于乙醇(99.5),而几乎不溶于水。
认识到晶体多态性。
处理的预防措施
- <稳定性测试> 4)
- 由于使用最终包装产品(40°C,相对湿度为75%,6个月)的加速测试,据推测,在正常市场分布下,娱乐片的100mg娱乐片“ Amel”稳定了三年。
包装
- PTP100平板电脑(10片X 10)
500玫瑰
主要文献和文档请求目的地
主要文献
- 1)
- 共和党制药公司有限公司 - 房屋材料:生物等效测试
- 2)
- *在公司中的房屋材料中:在-Company Materials Co.,Ltd。
- 3)
- Goodman Gilman:Pharmaceuticals 12版,Hirokawa Shoten,780(2013)
- 四)
- 制药共和国有限公司,company材料:稳定性测试
文学要求
- **请在下面请求主要文献中描述的室内材料。
Republic Pharmaceutical Co.,Ltd。学术信息部 - 3-2-4 Nakanoshima,Kita-Ku,大阪530-0005
0120-041-189- 传真06-6121-2858
制造商等的姓名或名称和地址等。
- **制造和分销商
- Republic Pharmaceutical Co.,Ltd。
- 3-2-4 Nakanoshima,大阪Kita-Ku