获取国外Selegirin盐2.5 mg“ taiyo” JAja药品价格,使用等信息,最快 24 小时回馈

出境医 / 海外药品 / Selegirin盐2.5 mg“ taiyo” JAja

Selegirin盐2.5 mg“ taiyo” JAja

Selegirin盐酸片2.5mg“ Taiyo”


创建或修订年

**马克:于2020年6月修订(第13版)

*标记:2016年10月修订

日本标准产品分类编号

871169

日本标准产品分类编号,等等。

额外的
2016年5月2016年5月

医学分类名称

帕金森氏病治疗(选择性MAO-B抑制剂)

批准,等等

销售名称
Selegirin盐酸片2.5mg“ Taiyo”

销售名称代码

1169010F1040

批准 /许可号码

批准编号
21900AMZ00026000
欧洲商品名称
Selegiline HCl

药品价格

2007年7月

销售开始

2007年7月

到期日期,等等。

积累

室温 /密封容器存储

截止日期

在外观上显示的到期日期内使用。

笔记

请参阅“处理预防措施”的部分

法规类别

电力药物,兴奋剂原材料,处方药

(注意 - 根据医生的处方等使用)

作品

一台平板电脑:

Selegirin盐酸盐... 2.5mg

<加法>

Alpha开胃淀粉,晶体纤维素,易变,硬脂酸镁,淀粉酸钠,tomolo巧克力,乳糖氢。

特点

白色裸锁

识别码(PTP)

T 063

外部形状(尺寸)
表(直径毫米)

6.5

外部形状(尺寸)
背部(重量毫克)

120

外部形状(尺寸)
侧(厚度毫米)

2.7

一般名称

Selegirin盐酸片

警告

1。
请勿使用这种药物和三重抗抑郁药(盐酸阿米替氨酸等)。此外,至少每隔14天停止使用该药物,然后开始服用三重抗抑郁药。 (请参阅有关“互动”的部分)

2。
在这种药物中,随着剂量的增加,MAO-B的选择性作用降低,存在非选择性MAO抑制的危险,不允许进一步的效果,因此每天不超过10 mg。 (请参阅“用药过量”的部分)

限制

(请勿对下一个患者进行管理)

1。
对该药物成分过敏的患者

2。
盐酸the虫,氢化曲马多或盐酸tapentadol [报道了高兴奋,精神混乱等的表达]

3。
接受非选择性单胺氧化抑制剂(盐酸盐)的患者[报道了高度较高的低血压]

四个。
精神分裂症或其以前的患者[报告心理症状]

五。
患有中央兴奋药物的患者,例如兴奋剂,可卡因等。

6。
在基于正方形的抗抑郁药或取消的情况下,被施用或取消的患者(请参阅“相互作用”部分)

7。
**选择性5-羟色胺反应抑制剂(全酰胺马来酸等),血清素重新连接抑制 / 5-羟色胺的受体(Bolchoxetination Hydride),5-羟色胺去甲肾上腺素抑制剂(Millenasha Planp Plann等)患者接受选择性非肾上腺素抑制剂(Atomoxetine抑制剂)患者(或去甲肾上腺素 - 羟色氨酸活性抗抑郁药(请参阅“相互作用”的规格)

功效 /效果

帕金森氏病(一起使用含左旋多巴的制剂时:不使用YAHR严重的I -IV ,Levodupa - 不使用含左旋的配方:Yahr严重的I -IIII -III

用法 /剂量

一起使用含左旋多巴的产品时:
通常,早餐后每天每天开始使用2.5毫克,作为成人盐酸盐盐,每两周每天增加2.5毫克,设定最大剂量并维护(标准维护(标准维护)。每天7.5mg。 )。如果每日数量为5.0毫克或以上作为盐酸盐的盐酸盐,则在早餐和午餐后将其划分。但是,在7.5毫克的情况下,早餐后5.0毫克,午餐后2.5毫克。
此外,根据年龄和症状,它会增加或减少,但每天不超过10 mg。

当不同时使用含左旋多巴公式时:
通常,它以2.5毫克的盐酸盐酸盐盐酸盐每天在早餐后一次,每两周每天增加2.5毫克,每天每天10毫克。如果每日数量为5.0毫克或以上作为盐酸盐的盐酸盐,则在早餐和午餐后将其划分。但是,在7.5毫克的情况下,早餐后5.0毫克,午餐后2.5毫克。
此外,根据年龄和症状,它会增加或减少,但每天不超过10 mg。

<与使用和剂量有关的预防措施>

当该药物的给药开始给levodpapa施用时,当左旋多巴含有左旋多巴的产物的给药开始以给予该药物的患者时,Levodupa的副作用与Levodupa结合使用。 - 含这种药物。由于可能会增强,因此请确保观察并仔细确定维护量。维护数量维护后,如果不确定的运动,幻觉,妄想等似乎是左旋多巴和该药物之间的组合效应,请适当治疗该药物或左旋多巴体重减轻。此外,当减少该药物或左旋帕帕的体重时,还认为该药物的MAO-B抑制作用会持续很长一段时间来减少效果。

使用预防措施

谨慎的管理

(请小心地给下一个患者管理)

1。
严重的肝损害患者[该药物的代谢可能被抑制,毒性可能会大大增加]

2。
严重的肾脏疾病[该药物的代谢产物会累积并因代谢而引起中心作用]

3。
接受高剂量LevoDPA的患者[高副作用率]

四个。
老年人[可能会出现体位低血压](请参阅“老年人行政”部分)

五。
患有心理和心血管疾病的患者(英国的测试1比较了一组单独的左杆帕帕帕和盐酸Selegirin后的一组左旋多巴的患者),在使用左伏达帕帕( Levodpapa group)后使用了盐酸盐氯化物。由于思维和心脏心血管障碍,被管理的组造成了更多的死亡](请参阅第3节。3节)。

6。
心绞痛的患者[通过这种药物可能恶化]

重要的基本预防措施

1。
在使用该药物期间,请确保定期保持效果,如果效果消失,请停止使用并不会整齐地给药。

2。
头晕,注意力,集中注意力,集中力,反射功能等可能会发生,因此请注意不要从事危险的工作,例如驾驶汽车,操作机和高海拔。

3。
在英国,对早期和轻度帕金森氏病的患者进行了一项长期的神经保护临床试验,比较了盐酸盐盐盐酸盐后产生的左旋多巴组和一组左旋多巴。结果,有一份报告称,在盐酸盐酸盐施用后,左旋多巴群的死亡率约为1.6倍,响应于Levodpa单组的死亡率。据报道,随后的跟踪调查2)大约是1.3倍,但没有显着差异。此外,据报道,在使用英国制药机构要求的12,621个普通医疗数据库的队列研究中,它高约1.1倍,但没有显着差异。此外,英国(美国,挪威,瑞典,德国,德国,芬兰,芬兰之间没有显着差异,没有显着差异,并且在2000年英国的同伙研究报告中,据报道5)盐和Levodapa患者的死亡率与健康人相同,与盐酸盐酸盐治疗相关的死亡率没有增加。

相互作用

禁忌症

(不要一起使用)

1。

毒品名称,等等
盐酸盐酸盐Opistan (R)等。型型盐酸抗体电车 R)等。

临床症状 /度量方法
已经报道了诸如高度兴奋和精神混乱之类的表达。为了停止这种药物的给药,然后开始给予氢氯化曲马多和盐酸)的施用,应至少放置至少14天的间隔。同样,当从氢氯化菌群转换为该药物时,必须放置两到三天的间隔。

机械 /危险因素
该机制未知。

2。

毒品名称,等等
非选择性单胺氧化抑制剂盐酸盐抑制剂

临床症状 /度量方法
已经报道了高度体位性低血压的表达。

机械 /危险因素
细节是未知的,但可能是由于额外效果所致。

3。

毒品名称,等等
基于方形的抗抑郁药盐酸盐(R) ,等。

临床症状 /度量方法
已经出现了高血压,晕厥,衰减,出汗,癫痫,运动和精神障碍的变化以及诸如肌肉强刚性之类的副作用,并且已经报道了更多的死亡。

机械 /危险因素
细节是未知的,但由于关节和协同作用而被认为。

四个。

毒品名称,等等
选定的5-羟色胺反应抑制剂呋喃胺马来酸Lebox (R)等。盐酸盐酸盐paxil (R)
Coltralin盐酸盐Jazoloft TM
Escitaropramuschuic Aid lexapro (R)

临床症状 /度量方法
**由于在停用该药物的给药后,两种药物的作用都可以增强团圆抑制剂以及去甲肾上腺素和5-羟色胺的抗抑郁药,必须放置14天的间隔。 When switching to this drug, fullboxamine maleic acid and venulafaxine hydrochloride are 7 days, paroxetine hydrochloride, certrarin hydrochloride, bolchoxetine hydrogenatite, atomoxetine hydrochloride, millethaosapine and escalopramusu is For 14 days, Mirnashi Plan hydrochloride must be set for 2 to 3 days, and Duroxetine盐酸盐必须间隔5天。

机械 /危险因素
人们认为,由于5-羟色胺恢复抑制作用,大脑中的5-羟色胺浓度增加。

五。

毒品名称,等等
** 5-羟色胺聚会,5-羟色胺受体调节剂氢氢氢氢化氢(R)

临床症状 /度量方法
**由于在停用该药物的给药后,两种药物的作用都可以增强团圆抑制剂以及去甲肾上腺素和5-羟色胺的抗抑郁药,必须放置14天的间隔。 When switching to this drug, fullboxamine maleic acid and venulafaxine hydrochloride are 7 days, paroxetine hydrochloride, certrarin hydrochloride, bolchoxetine hydrogenatite, atomoxetine hydrochloride, millethaosapine and escalopramusu is For 14 days, Mirnashi Plan hydrochloride must be set for 2 to 3 days, and Duroxetine盐酸盐必须间隔5天。

机械 /危险因素
**羟色胺被认为会增加大脑中的大脑浓度,因为抑制作用。

6。

毒品名称,等等
5-羟色胺去肾上腺素的重写抑制剂mirnashi计划盐酸盐耐多素(R)
多罗西汀盐酸盐c (R)
盐酸苯甲酰盐酸盐IFXER (R)

临床症状 /度量方法
**由于在停用该药物的给药后,两种药物的作用都可以增强团圆抑制剂以及去甲肾上腺素和5-羟色胺的抗抑郁药,必须放置14天的间隔。 When switching to this drug, fullboxamine maleic acid and venulafaxine hydrochloride are 7 days, paroxetine hydrochloride, certrarin hydrochloride, bolchoxetine hydrogenatite, atomoxetine hydrochloride, millethaosapine and escalopramusu is For 14 days, Mirnashi Plan hydrochloride must be set for 2 to 3 days, and Duroxetine盐酸盐必须间隔5天。

机械 /危险因素
大脑中单胺的总量被认为增加。

7。

毒品名称,等等
选定的去甲肾上腺素重新IMPORT抑制剂Atmoxetine盐酸盐层(R)

临床症状 /度量方法
**由于在停用该药物的给药后,两种药物的作用都可以增强团圆抑制剂以及去甲肾上腺素和5-羟色胺的抗抑郁药,必须放置14天的间隔。 When switching to this drug, fullboxamine maleic acid and venulafaxine hydrochloride are 7 days, paroxetine hydrochloride, certrarin hydrochloride, bolchoxetine hydrogenatite, atomoxetine hydrochloride, millethaosapine and escalopramusu is For 14 days, Mirnashi Plan hydrochloride must be set for 2 to 3 days, and Duroxetine盐酸盐必须间隔5天。

机械 /危险因素
大脑中单胺的总量被认为增加。

8。

毒品名称,等等
去甲肾上腺素,5-羟色胺,活性抗抑郁药,Miltza Pin Remeron (R) ,等。

临床症状 /度量方法
**由于在停用该药物的给药后,两种药物的作用都可以增强团圆抑制剂以及去甲肾上腺素和5-羟色胺的抗抑郁药,必须放置14天的间隔。 When switching to this drug, fullboxamine maleic acid and venulafaxine hydrochloride are 7 days, paroxetine hydrochloride, certrarin hydrochloride, bolchoxetine hydrogenatite, atomoxetine hydrochloride, millethaosapine and escalopramusu is For 14 days, Mirnashi Plan hydrochloride must be set for 2 to 3 days, and Duroxetine盐酸盐必须间隔5天。

机械 /危险因素
人们认为,大脑中去甲肾上腺素和5-羟色胺的神经传输将增加。

合并用途的注释

(请注意联合使用)

1。药物名称,例如Chitochrome P-450 2D6和3A4公式注释注意
Simetidine kinidine sulfate hydrogen hydrophol hydrophol hydrochloride holoperoperidol hyaloperromycin Josa Maishin Clariconazin craminazine Itoliconazor Fulkonazole Mikonazole ethylimazole ethinyl ethyl ethyl ethral parapamyl hydrochloride, hydrochloride, etc.

临床症状 /度量方法
该药物的作用和毒性可能会大大增强。

机械 /危险因素
已经发现,这种药物是由肝脏的Chitochrome P-450 2d6和3a4代谢的,并且通过使用抑制其抑制其的药物会导致血液浓度升高。

2。接收衍生物,例如毒品名称等。

临床症状 /度量方法
该药物的作用可能会减少。

机械 /危险因素
减少大脑中的多巴胺。

3。药物名称等。基于惠嗪的药物prorolpella prole proparine Peradine等。

临床症状 /度量方法
该药物的作用可能会减少。

机械 /危险因素
大脑中的多巴胺受体被阻断。

四个。 Drazodon盐酸盐等。

临床症状 /度量方法
这种相互作用尚不清楚,但是如果您立即与盐酸贸易以酮结合使用或使用,则应逐渐增加该药物的剂量,并仔细地开始给药。

机械 /危险因素
人们认为,由于5-羟色胺恢复抑制作用,大脑中的5-羟色胺浓度增加。

五。药物名称等。交感神经启动子麻黄碱盐酸甲基甲基效应盐酸盐盐酸盐Psoid Psoid Psoid盐酸药物苯基二苯胺盐酸盐含有药物

临床症状 /度量方法
据报道,血压升高和心动过速的表达。

机械 /危险因素
如果该药物的MAO-B选择减少,则认为会增强交感神经刺激效果。

注意)当将其与这些药物与高单胺(奶酪,肝脏,酵母,酵母,酵母,酱汁,香蕉,啤酒,葡萄酒等)结合使用时,请小心。 [当与抑制Chitochrome P-450 2d6和3A4的药物结合使用时,该药物的血液浓度可能会增加,并且可能会丢失MAO-B的选择性]。

副作用

概述表达状态,副作用

该药物不进行调查,以阐明副作用的频率,例如用法调查。

严重的副作用(频率未知)

1.谬论,妄想,混乱,妄想
可能会出现堂堂,妄想,混乱和妄想,因此,如果出现这些症状,请采取适当的措施,例如减轻体重,停止药物或取消。

2.心绞痛
由于已经报道了心绞痛的表达或加剧,因此要特别注意,例如监测心绞痛患者的心电图。

3.恶性综合征
这种药物的突然体重减轻或取消可能表明高温,意识障碍,高肌肉僵硬,不受欢迎的运动,血清CK(CPK)增加,等等。在这种情况下,在重新管理后,它将逐渐减少并采取适当的措施,例如冷却身体和水合。在延续管理期间,可能会出现类似的症状。

4.降血糖
如果可能出现低血糖,如果出现降血糖症状(意识障碍,昏迷等),请采取适当的措施,例如中断给药。

5.胃溃疡
由于在这种情况下,胃溃疡可能会采取适当的措施,例如中止给药。

另一个副作用

1.精神神经系统
未知频率
不便练习1) ,兴奋1) ,精神病症状1) ,Diznia(肌肉张力异常)注意1) ,噪声障碍1) ,步行异常注意1),不愉快的命令1)头晕和颤动,头痛,头痛。 ,嗜睡,身体的僵硬,麻木,麻木,多个梦想,意识水平下降,降低,流浪习惯,a acasizia,记忆障碍,躁狂,躁狂,帕迪,噩梦,噩梦

2.消化
未知频率
顽皮 /呕吐,厌食,口干,胃痛,胃痛,便秘,腹泻,消化不良,麻痹,胃肠道,胃肠道疾病,Ileus

3.心血管
未知频率
定位性低体分,触诊,低血压,高血压,心律不齐,心电图异常,血压波动,通奸心力衰竭

4.肝脏
未知频率
肝功能障碍[AST(GOT),ALT(GPT)上升]

5.超敏反应
未知频率
皮疹注2)

6.泌尿科
未知频率
很难小便

7.血液
未知频率
白细胞减少

8.皮肤
未知频率
多发性红斑,红斑

9.眼睛
未知频率
视力狭窄

10.其他
未知频率
eedema,胸痛(胸部不适),疲劳,闪光 /闪光,风味异常,味道异常,性不高,情绪低落,血清CK(CPK)增加,肌肉骨架僵硬,背部疼痛,发烧,发烧,发烧,寒冷,体重减轻,味道损失。

注意1)如果出现这种症状,请采取适当的措施,例如减肥或药物。

注2)在这种情况下,停止管理。

老年人的管理

1。
在老年人中,可能会出现体位性低血压,因此,在观察患者病情的同时,应仔细监测血压时,应仔细监测血压。

2。
对于其他公司在 - 竞选调查中实施的其他公司进行的安全分析的情况,在65岁以上的副作用(食欲不振,妄想,幻觉,幻觉,正式低血压,呕吐,异常步行)。与65岁以下病例相比,趋势更高。在75岁以上的情况下,厌食症,幻觉,体位性低血压,恶心和步行困难的病例率高于75岁以下的情况。

管理孕妇,妇产科妇女等。

1。
由于尚未确定怀孕期间的管理安全性,因此只有在确定孕妇或可能怀孕的妇女被确定超过危险的情况下才能进行管理。

2。
由于据报道动物实验转向牛奶,因此应避免在这种药物期间进行母乳喂养。

给儿童的管理等

尚未确定儿童的安全性(没有经验)。

过量

请注意下一个患者的病情,因为由于非选择性MAO抑制作用而导致的MAO-B和副作用的选择性抑制作用减少了这种药物的过量。

1。
患有以下症状的患者可能是由于服药过量引起的[如果选择减少,则可能会增加多巴胺和去甲肾上腺素的作用]

(1)精神病神经系统
昏厥,过度,嗜睡,幻觉,妄想,抽搐,自杀行为,痴呆,焦虑,失眠,抑郁,神经敏感性,头痛,斗争恶化等。

(2)心血管
休克,血压升高,矫形性低血压,pal,潮红,心律不齐,降低血压,出汗等。

(3)其他
超高热,呼吸道抑制和衰竭,乳房疼痛降低,开口障碍等。

2。
高血压患者[在非选择性MAO抑制剂和选择性降低的情况下描述]

3。
棕色细胞瘤的患者[在非选择性MAO抑制剂和选择性降低的情况下描述]

四个。
青光眼患者[注释仔细地用非选择性的MAO抑制剂给药,并考虑到选择性降低时进行了描述]

五。
患有糖尿病的患者[注释是用非选择性MAO抑制剂仔细给药的,并考虑到选择性降低时进行了描述]

行动

固定呼吸道以保护呼吸和管理,包括使用补充氧气以及必要时使用呼吸机。如果穿衣服是短时间内的,它将被呼出,活化的木炭和胃清洗。中枢神经系统刺激的体征和症状(包括抽搐)通过地西ep液的输注来治疗。如果症状由于过度低血压或多巴胺和去甲肾上腺素过度过度过度而恶化,请进行症状治疗,例如静脉内补充。在冲击时,使用氢化软骨子插入。盐酸氯酸盐量应用于对情绪焦虑,克服和机械冷却无反应的高温。如果血压过多增加,请进行症状治疗,例如α阻断剂的静脉滴注(Fentlamine等)。

适用的预防措施

在毒品时

1。
PTP包装药物应从PTP纸中取出并教给它。 (据报道,由于PTP板的意外摄入,食管粘膜中的 - 很难造成的角,并且发生了严重的并发症,例如纵隔炎)。

2。
**在这种药物的管理中,指导我们不要使用这种药物或转移给其他药物。

3。
**关于返回医院,药房等的适当治疗指南。不再需要这种药物。

其他预防措施

1。
其他公司对盐酸盐酸盐的国内临床试验显示,由于异常抑郁症,有488例自杀案件中有两个显然无法否认。

2。
由于使用过量而导致依赖性表达可能性。

药代动力学

1.生物当量测试6)
Selegirin盐酸盐片2.5 mg的“ taiyo”和标准制剂通过跨界方法(2.5 mg作为盐酸二甲甲甲基氯化物)进行,以测量健康的成年男孩中不愉快的身体浓度,以测量血浆中不愉快的体内浓度。对获得的药代动力学参数(AUC,CMAX)的统计分析,证实了两种药物的生物等效性。

2.插图7)
已经证实,2.5 mg“ taiyo”盐酸盐片的出色性适合Nippon Pharmaceutical Pharmaceutical Standards 3中的标准。

药代动力学表

Selegirin盐酸剂片2.5 mg“ taiyo”快速耗尽的口服药物(平均±标准偏差,n = 22)

剂量(mg) AUC 0-10
(ng/hr/ml)
cmax
(ng/ml)
tmax
(HR)
T 1/2
(HR)
Selegirin盐酸片2.5mg“ Taiyo” 2.5 0.194±0.183 0.249±0.273 0.73±0.24 1.38±1.67
标准准备(平板电脑,2.5mg) 2.5 0.194±0.181 0.258±0.282 0.68±0.25 1.41±0.97

血浆浓度和参数(例如AUC和CMAX)可能会根据测试条件(例如选择受试者的选择,收集体液的时间数量等)而有所不同。


药物

据报道,Selegirin有选择地抑制单胺B(MAO-B),抑制多巴胺的代谢和分解,并抑制重新释放到神经末端。 8)

有关活性成分的物理和化学知识

通用名称

Selegiline Hydrochlide

化学名称

( - ) - (r) - α-二甲基-N-2-丙尼苯胺单氯化物

分子

C 13 H 17 n hcl

分子量

223.74

民间点

140-144°C

性欲

它是白色结晶粉。它极度溶于水或甲醇,很容易溶于乙醇(95)或乙酸(100),很难溶解在无水酸或丙酮中,而几乎不溶于乙酸乙酯。

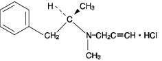
结构公式

处理的预防措施

1。
打开后,节省阳光直射,高温和高湿度。

2.稳定性测试结果的概述9)
由于加速度测试(40°C,相对湿度为75%,6个月),据推测,在正常市场分布下,盐酸盐盐片2.5 mg“ taiyo”稳定了三年。

包装

Selegirin盐酸片2.5mg“ Taiyo”
PTP包装:30片(10片X 3),100片(10片X 10)

主要文献

1)
Lees,Ajet al。:Br.Med.J。,311,1602,1995

2)
Ben-Shlomo, Y.Et Al。:Br.Med.J。,316,1191,1998

3)
Thorogood ,M.Et Al。:Br.Med.J。,317,252,1998

四)
Olanow,CWET AL。:神经病学, 51,825,1998

五)
Donnan,Ptet Al。:神经病学, 55,1785,2000

6)
Takeda Tebaphama Co.,Ltd。在房屋材料(生物等效测试)中

7)
Takeda Tebaphama Co.,Ltd。在 - 房屋材料(洗脱测试)

8)
Nakamura:Pharmaceutical Journal, 34 (S-1),41,1998

9)
Takeda Tebaphama Co.,Ltd。在 - 房屋材料(稳定性测试)

文献请求 /产品信息查询

*请在下面的主要文献列中索取文档和 - 房屋材料。

Takeda Teba Farm Co.,Ltd. Takeda Teva di Center

1-24-11 Taiko,Nakamura-Ku,Nagoya 453-0801

电话0120-923-093

接待时间9:00-17:30(不包括周末和假期,我们的假期)

制造商等的姓名或名称和地址等。

*制造和分销商
Takeda Tebapmer Co.,Ltd.

1-24-11 Taiko,Nakamura -Ku,名古屋