4006 776 356
免费咨询 9:00-18:00
获取国外droxide popcapsel 100mg“ amel” / droxide papacapps药品价格,使用等信息,最快 24 小时回馈
出境医 / 海外药品 / droxide popcapsel 100mg“ amel” / droxide papacapps
droxide popcapsel 100mg“ amel” / droxide papacapps
2006年7月
droxide popcapsel 100mg“ amel” / droxide papacappsel 200mg“ amel”
创建或修订年
- **修订于2019年1月(第8版)
- *修订于2018年10月
日本标准产品分类编号
- 871169
医学分类名称
- 去甲肾上腺素的操作神经功能改善剂
批准,等等
- 销售名称
- droxide papacapsel 100mg“ amel”
销售名称代码
- 1169006M1034
批准 /许可号码
- 批准编号
- 21800AMZ10333
- 商标
- 德罗西多巴
药品价格标准日期
- 2006年7月
销售日期
- 2006年7月
储蓄,到期日期等
- 储蓄
- 无机容器,室温存储
- 截止日期
- 显示在包装盒中。
请勿使用已通过到期日期的产品。
标准名称
- 日本药房
- droxide pupa胶囊
法规类别
- 处方药
- 预防措施 - 通过医生等处方使用
作品
- 有效成分
- 在1胶囊中,日本局多氧化局100mg
- 添加剂
- D-甘露醇,玉米,镁胶囊体:
明胶,氧化钛,硫酸钠,黄色5
特点
- 药物
- 硬胶囊代理
- 颜色
- 上限:错过的颜色不配件的身体:白色陈旧
- 外部形状,大小等。

答:大约14.5mm
B:大约5.3mm
弥撒:大约190.0mg- 识别代码
- KW Droxidopa 100
- 胶囊的内容是白色至浅棕色粉末。
- 销售名称
- droxide papacapsel 200mg“ amel”
销售名称代码
- 1169006M2030
批准 /许可号码
- 批准编号
- 21800AMZ10334
- 商标
- 德罗西多巴
药品价格标准日期
- 2006年7月
销售日期
- 2006年7月
储蓄,到期日期等
- 储蓄
- 无机容器,室温存储
- 截止日期
- 显示在包装盒中。
请勿使用已通过到期日期的产品。
标准名称
- 日本药房
- droxide pupa胶囊
法规类别
- 处方药
- 预防措施 - 通过医生等处方使用
作品
- 有效成分
- 在日本的Doroxidpopa 200毫克1胶囊期间
- 添加剂
- D-甘露醇,玉米,镁胶囊体:
明胶,氧化钛,硫酸钠钠
特点
- 药物
- 硬胶囊代理
- 颜色
- 帽子:白色不透明的身体:白色不透明
- 外部形状,大小等。

答:大约17.8mm
B:大约6.4mm
质量:大约366.0mg- 识别代码
- KW Doroxidpopa 200
- 胶囊的内容是白色至浅棕色粉末。
限制(请勿对下一个患者进行管理)- 1。
- 对这种药物过敏的患者
- 2。
- 障碍物角的青光眼患者[增加眼内压。这是给出的
- 3。
- 不要为接受这种药物的患者施用卤素吸入麻醉剂(请参阅“相互作用”]
- 四个。
- 接受儿茶酚胺制剂(例如异丙肾上腺素)的患者[请参见“相互作用”部分]
- 五。
- 孕妇或可能怀孕的妇女(请参阅孕妇的管理,妇产科,护理妇女等。”
- 6。
- 血液透析患者患有严重的外周血血管(糖尿病坏疽等)[症状可能恶化。这是给出的
|
原则上是禁忌的(原则上,它不会对下一个患者进行管理,但请在必要时仔细管理)- 1。
- 可卡因中毒的患者[可卡因可能会增加该药物的作用,因为它阻碍了儿茶酚胺在神经结束时的反应。这是给出的
- 2。
- 心室心动过速的患者[症状可能恶化。这是给出的
|
功效或效果
- ○帕金森氏病(Yahr严重程度III)改善了脚和tachimura
- ○在以下疾病中改善主食低血压,晕倒和tataru
- Sydrogian综合征,家庭角色淀粉样蛋白Polyro Pachee
- ○在血液透析患者处的血液透析患者中改善以下症状
- 头晕,流浪,头晕,不适,弱点
与效果相关的使用预防措施
- 1。
- 要应用于帕金森氏病,请注意以下几点。
- (1)
- 通过严重分类Yahr确定为III期的患者。
- (2)
- 考虑到这种药物仅针对其他药物治疗作用不足并且因头晕或头晕而被识别的患者。
- 2。
- 要适用于血液透析患者,请注意以下几点。
透析后站立时血压降低15 mmHg的患者。该药物作用的机制尚不清楚,治疗后血压降低的降低不会超过静脉内波动。
用法和剂量
- ○如果帕金森氏病
- 对于普通成年人来说,它从每天100毫克作为龙氧化甲氧化座开始,每天口服一次,每隔一天增加100毫克,每天增加100 mg,将其设置为维护量(标准维护为每天600毫克,三倍A日。分裂管理)。
此外,根据年龄和症状的不同,它将适当增加或减少,但每天不会超过900 mg。 - ○对于Shidrager综合征,家族淀粉样蛋白聚焦
- 对于成年人,多氧基DA从2-3次分为每天2-300毫克,口服给药开始,每天从几天增加100毫克,并将其设置为维护量()。标准维护为每天300-600毫克,每天三次)。
此外,根据年龄和症状的不同,它将适当增加或减少,但每天不会超过900 mg。 - ○对于血液透析患者
- 对于成年人,作为Droxidpa的200-400毫克口服。
根据年龄和症状,应适当减轻体重。一次不超过400毫克。
与使用和剂量有关的预防措施
- 1。
- 请注意,如果申请帕金森氏病无效,请不要对其进行管理。
- 2。
- 如果申请血液透析患者停止给药的效果一个月未识别。
使用预防措施
谨慎的管理
(请小心地给下一个患者管理)
- 1。
- 高血压患者[可能会使高血压恶化。这是给出的
- 2。
- 动脉硬化患者[可能发生过多的压力反应。这是给出的
- 3。
- 甲状腺功能亢进的患者[心动过速等症状可能恶化。这是给出的
- 四个。
- 严重肝或肾功能不全的患者
- 五。
- 心脏病患者[症状可能恶化。这是给出的
- 6。
- 患有严重肺部疾病,支气管哮喘或内分泌疾病的患者[这些症状可能恶化。这是给出的
- 7。
- 慢性开角 - 角度青光眼患者[可能增加眼内压。这是给出的
- 8。
- 合并严重糖尿病的血液透析患者[可能发生周围循环障碍。这是给出的
重要的基本预防措施
- 1。
- 该药物的给药应从少量开始,进行足够的观察并增加维护的数量。但是,没有必要停止对其他抗帕林森药物和压力的施用。
- 2。
- 请注意不要过度使用,因为它可能会导致过度压力反应。
- 3。
- 要适用于血液透析患者,请注意以下几点。
用法(在透析开始前30分钟到1小时),并遵守剂量,并注意不要过度限制(可能存在过多的压力反应),例如透析后加入。 - 四个。
- 要适用于合并糖尿病的血液透析患者,请注意糖尿病程度(周围循环,血压,血糖管理等)。
相互作用
禁忌症(不要一起使用)- 毒品名称,等等
- 卤素 - 吸入和麻醉剂
- 临床症状 /度量方法
- 心动过速和心室纤颤的危险增加。
- 机械 /危险因素
- 卤素吸入麻醉可以增强心肌去甲肾上腺素的敏感性。
- 毒品名称,等等
- 卡氏胺制剂,例如异丙肾上腺素(异摩尼尔,前列腺醇等)
- 临床症状 /度量方法
- 在某些情况下,有心律不齐的风险。
- 机械 /危险因素
- 另外,效果(心脏刺激效应)增加。
|
合并用途的注释
(请注意联合使用)
- 药物名称等。单胺氧化物抑制剂
- 临床症状 /度量方法
- 该药物的作用可能会增强,血压可能会增加。
- 机械 /危险因素
- 去甲肾上腺素的代谢被抑制,去甲肾上腺素的浓度增加。
- 药物名称,例如基于三人的抗抑郁剂(Immplamine,Amitripein等)
- 临床症状 /度量方法
- 该药物的作用可能会增强,血压可能会增加。
- 机械 /危险因素
- 神经末端的去甲肾上腺素的重新栖息是被抑制的,从而增加去甲肾上腺素的浓度。
- 药物名称等。输送启动子(催产素)
麦角胺抗组胺药(氯苯胺等)- 临床症状 /度量方法
- 该药物的作用可能会增强,血压可能会增加。
- 机械 /危险因素
- 另外,它增强了效果(周围血管收缩效应)。
- 药物名称等。具有受体阻塞效果的α1-药物(tamslosine,doxazoshin,ifen Provision等)
- 临床症状 /度量方法
- 该药物的作用可能会减少。
- 机械 /危险因素
- 这些药物具有α1受体阻断效果。
- 药物名称等。
- 临床症状 /度量方法
- 该药物的作用可能会增强,血压可能会增加。
- 机械 /危险因素
- 去神经结束时去甲肾上腺素的重新训练和代谢增加,增加了去甲肾上腺素的浓度。
- recelpin衍生物(recelpin等),例如毒品名称
- 临床症状 /度量方法
- 该药物的作用可能会减少。
- 机械 /危险因素
- reelpin减少大脑中的去甲肾上腺素和多巴胺。
- levodpa hantadine等。等。
- 临床症状 /度量方法
- 这些药物的作用可能会得到增强。
- 机械 /危险因素
- 动物实验已显示可增强Revodpupa和amantadine的影响。
- fenochiazin药物,例如药物名称,基于丁基的药物
- 临床症状 /度量方法
- 该药物的作用可能会减少。
- 机械 /危险因素
- 这些药物除了抗多巴胺作用外,还具有外周α受体阻断效果。
- 毒品名称,等等
- 临床症状 /度量方法
- 该药物的作用可能会减少。
- 机械 /危险因素
- 据报道,在动物实验中形成螯合物,该药物的吸收减少。
副作用
概述表达状态,副作用
- 该药物不进行调查,以阐明副作用的频率,例如用法调查。
严重的副作用
1.综合征马林(频率未知)高烧,意识障碍,高肌肉僵硬,无限期运动,血清CK(CPK)等升高等。 ,有必要返回一次剂量,然后采取适当的措施,例如冷却体冷却和水合。 2.降低白细胞,肿瘤细胞增多(频率未知)进行足够的观察,如果发现异常,请停止给药并采取适当的措施。另一个副作用
- 精神和神经系统1)
- (频率未知)
- 堕落,妄想,夜间昏暗的幻想,神经敏感性(烦躁,沮丧,兴奋等),无意运动,焦虑,帕金森氏症状,抑郁症,感知异常,精神症状加剧,噩梦,情感上的失常,扎实的顽固性,坚实的战斗,稳固的战斗。 ,冻结和语言障碍
- 精神科
- (频率未知)
- 头痛 /头痛,头晕,头晕,昏昏欲睡,失眠,健忘症
- 消化器官
- (频率未知)
- 顽皮,呕吐,厌食,胃痛(胃部不适等),口干,腹痛,消化不良(胸部模糊等),便秘,腹泻,腹部腹胀和流口水
- 心血管2)
- (频率未知)
- 血压升高,呼吸症,胸痛(胸部不适,胸部绞死等),心律不齐,心绞痛,肢体凉爽,chingnis
- 肝
- (频率未知)
- AST(GOT),ALT(GPT),ALP,LDH上升
- 高敏注3)
- (频率未知)
- 皮疹,所以发痒
- 眼睛
- (频率未知)
- 清晰
- 泌尿科
- (频率未知)
- 经常排尿,尿失禁,尿液关闭
- 其他的
- (频率未知)
- eedema,不适,热果(面孔等),闪光,眼睑水肿,软弱,出汗,发烧,双手休闲,双手疼痛,肩膀僵硬。
关于其他副作用的注释
- 如果确认上述副作用,则在必要时进行适当的措施,例如减肥,取消等。
- 注意1)如果发生这种症状,请采取适当的措施,例如减肥或药物。
- 注意2)做出足够的观察,并采取适当的措施,例如在出现这种症状时减轻体重或停止给药。
- 注意3)如果出现这种症状,请停止给药。
老年人的管理
- 通常,请注意不要过量服用,因为老年人的生理功能会降低。
管理孕妇,妇产科妇女等。
- 1。
- 不要为可能怀孕的孕妇或妇女管理。 [动物实验报告说,胎儿的胎儿肋骨的增加是由子宫血管( DL-非肾上腺素)的收缩引起的,以暂时使胎儿绝望。这是给出的
- 2。
- 希望避免使用哺乳女性给药,但是如果您不可避免,请避免母乳喂养。 [已经报道了动物实验在乳房中迁移到乳房的迁移,在母野兽的护理时期。这是给出的
给儿童的管理等
- 尚未建立低出生体重,新生儿,婴儿,婴儿或儿童的安全性(经验更少)。
适用的预防措施
- 在毒品时
- PTP包装药物应从PTP纸中取出并教给它。 (据报道,由于PTP板的意外摄入,刺入食管粘膜的硬尖角刺入了食管粘膜,并且发生了严重的并发症,例如纵隔炎)。
药代动力学
- <生物等效测试> 1)
- Droxide Pupcapsell 100mg“ Amel”和Droxide Papacules 200 mg“ Amel”和每个标准配方由以下跨界方法单独给健康成年男孩,以测量血浆不愉快的浓度。 (AUC,CMAX)根据90%的置信区定律,它在log(0.80)到log(1.25)的范围内,并且两种药物的生物等效性均得到证实。



- 血浆浓度和参数(例如AUC和CMAX)可能会根据测试条件(例如选择受试者的选择,收集体液的时间数量等)而有所不同。
- <洗脱行为> 2)
- 已经证实,droxide发布了100mg“ Amel” /胶囊200 mg“ Amel”符合Nippon Pharmaceutical Pharmaceuticals中规定的Droxide Papsule的洗脱标准。
药物
- 它是甲状腺素的L-甲肾上腺素,这是一种存在于活体内的芳香族L-氨基酸L-氨基酸,可有效地在帕金森氏病中冻结脚和步行障碍,通过补偿减少帕金森氏病的疾病。晚期帕金森氏病。 3)
有关活性成分的物理和化学知识
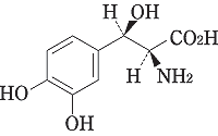
- 通用名称
- 德罗西多巴
- 分子
- C 9 H 11否5
- 分子量
- 213.19
- 结构公式

- 化学名称
- (2 s ,3 r )-2-氨基-3-(3,4-二羟基苯基)-3-羟基丙酸
- 特点
- 它是白色至浅棕色晶体或结晶粉。
很难溶于水,几乎不溶于乙醇(99.5)。
0.1mol/L溶于盐酸测试中。
处理的预防措施
- <稳定性测试> 4)
- 由于使用最终包装产品的加速测试(40°C,相对湿度,75%,6个月),droxide papacapsule 100 mg“ Amel” /胶囊200 mg“ Amel”在正常市场下稳定3年分销。被猜测。
包装
- ** droxide popcapsel 100mg“ amel”:
PTP100胶囊(10胶囊X 10) - Droxide Popcapsel 200mg“ Amel”:
PTP100胶囊(10胶囊X 10)
主要文献和文档请求目的地
主要文献
- 1)
- Mizuyama Kazuyuki等:New Drugs and Rinko, 55 (8),1237(2006)
- 2)
- 在 - 房屋材料:Erutment Test Co.,Ltd.
- 3)
- 第16修订的日本药房解释书,Hirokawa书店,C-3201(2011)
- 四)
- 制药共和国有限公司,company材料:稳定性测试
文学要求
- *请在下面请求主要文献中描述的室内材料。
Republic Pharmaceutical Co.,Ltd。学术信息部 - 3-2-4 Nakanoshima,Kita-Ku,大阪530-0005
0120-041-189- 传真06-6121-2858
制造商等的姓名或名称和地址等。
- *制造和分销商
- Republic Pharmaceutical Co.,Ltd。
- 3-2-4 Nakanoshima,大阪Kita-Ku