4006 776 356
免费咨询 9:00-18:00
获取国外Trimol片剂2 mg / trimol细粒2%jazh-CN药品价格,使用等信息,最快 24 小时回馈
出境医 / 海外药品 / Trimol片剂2 mg / trimol细粒2%jazh-CN
Trimol片剂2 mg / trimol细粒2%jazh-CN
1974年2月
Trimol片剂2 mg / trimol细粒2%
创建或修订年
- *2019年7月修订(第12版)1d
- 修订于2015年1月
日本标准产品分类编号
- 87 1169
医学分类名称
- 帕金森综合症治疗剂
批准,等等
- 销售名称
- Trimol片剂2mg
销售名称代码
- 1169003F1031
批准 /许可号码
- 批准编号
- 21900AMX01284000
- 商标
- Trimol片剂2mg
药品价格标准日期
- 2007年12月
销售日期
- 1974年2月
储蓄,到期日期等
- [保存]
- 室温保存
- 〔截止日期〕
- 在外部框中显示的截止日期内使用。 (制造后5年)
法规类别
- 处方药)
- 注意 - 由医生的处方等处方。
作品
- 成分 /内容
- 2.24毫克盐酸盐盐酸盐中的盐酸盐
(2mg作为枕形蛋白) - 添加剂
- 乳糖羟基丙糖蛋白,tomolocoshidepin,羟基丙糖蛋白,硬脂酸镁,羟基丙糖,氢化素酯,氢化症酯,氢化症酯,Toria setin,6000个巨型摄氏,6000个巨型摄氏,氧化钛,氧化钛,氧化物氧化物。
特点
- 购买形状和财产
- 白色 - 黄色的黄色白色膜外套锁
- 外形

- 尺寸(毫米)
- 直径:6.1
- 尺寸(毫米)
- 厚度:3.0
- 重量(毫克)
- 93
- 识别代码
- CH411
- 销售名称
- trimol细粒2%
销售名称代码
- 1169003C1035
批准 /许可号码
- 批准编号
- 21900AMX01239000
- 商标
- Trimol细颗粒2%
药品价格标准日期
- 2007年12月
销售日期
- 1974年2月
储蓄,到期日期等
- [保存]
- 阴影存储,室温,密封竞赛
- 〔截止日期〕
- 在外部框中显示的截止日期内使用。 (制造后3年)
法规类别
- 处方药)
- 注意 - 由医生的处方等处方。
作品
- 成分 /内容
- 1g 22.4毫克的盐肽素盐酸盐
(20mg作为枕形蛋白) - 添加剂
- 乳糖氢,玉米,轻质无水漫画酸,葡萄蛋白,宏观6000
特点
- 购买形状和财产
- thin
一般名称
- 枕素盐酸剂
*禁忌症(请勿对下一个患者进行管理)- 1。
- 阻塞性青光眼的闭角[抗磷脂作用可能会增加眼内压并使症状恶化。这是给出的
- 2。
- 对该药物成分过敏的患者
- 3。
- 患有严重肌肉的患者[抗磷脂作用可能导致肌肉张力降低,并可能导致症状恶化。这是给出的
- 四个。
- 前列腺肥大中有阻塞性疾病的患者,例如尿路[由于抗胆碱化作用,尿肌的放松以及膀胱括约肌的收缩,可以看到泌尿障碍。这是给出的
|
功效或效果
- 帕金森综合症
与效果相关的使用预防措施
- 抗 - 帕林森药物通常通常不会减少异常运动(延迟发病障碍),例如基于苯酸苯嗪的药物,recelpin衍生物等。请注意,在某些情况下,此类症状可能会加剧。
用法和剂量
- 平板电脑:
- 通常,成人每天将3至6片分为3次,饮食后口服。
此外,它将根据年龄和症状而增加或减少。 - 细晶粒:
- 通常,成人和餐后口服给药的0.3-0.6g每天分为3次。
此外,它将根据年龄和症状而增加或减少。
使用预防措施
*精心管理
(请小心地给下一个患者管理)
- 1。
- 开角青光眼患者[抗磷脂作用可能增加眼内压并恶化症状。这是给出的
- 2。
- 心律不齐或心动过速的患者[抗蛋白的作用可能导致心脏功能增强并恶化症状。这是给出的
- 3。
- 肝或肾功能不全的患者[副作用可能是由于新陈代谢和排泄功能降低而发生的。这是给出的
- 四个。
- 老年人(请参阅有关“老年管理”的部分)
- 五。
- 高温环境中的患者[抗酸素作用倾向于抑制出汗。这是给出的
- 6。
- 对三倍抗抑郁药的过敏史的患者
- 7。
- 胃肠道中有阻塞性疾病的患者。这是给出的
- 8。
- 与脱水和营养状况不佳相关的身体疲惫的患者[可能会发生综合征MALIN。这是给出的
重要的基本预防措施
- 1。
- 该药物的给药应从少量开始,进行足够的观察并增加维护的数量。另外,当从其他药物转换为该药物时,原理是增加该药物的量,同时逐渐减少其他药物的量。
- 2。
- 在这种药物期间,希望定期进行角落和眼内压力测试。
- 3。
- 请注意,不要从事诸如嗜睡,外观障碍,纸张,注意力,集中注意力和反射运动技能之类的机器(例如驾驶汽车)的操作。
相互作用
合并用途的注释
(请注意联合使用)
- 药物名称等。具有抗胆碱性作用的药物,基于抗阳极的药物抗抑郁药等。
- 临床症状 /度量方法
- 肠瘫痪(例如厌食症,恶心和呕吐,明显的便秘,腹胀或肠道含量停滞)可以转变为麻痹性卵巢裂。
如果出现肠瘫情况,请停止给药。
应该注意的是,这种恶心和呕吐可能会因势胆素化合物的呕吐作用而被取消。 - 机械 /危险因素
- 由于该药物和这些药物具有抗胆碱性作用,因此它们通过将它们结合起来增强了相互的抗胆碱化作用。
- 中枢神经系统,中枢神经剂,基于Fench焦虑的抗抑郁药氧化物抑制性,巴比索尔酸衍生物等。
- 临床症状 /度量方法
- 可能会发生嗜睡,心理运动功能,精神混乱等。
- 机械 /危险因素
- 由于该药物和这些药物具有中枢神经系统抑制作用,因此它们通过合并来增强中枢神经系统抑制作用。
- 去甲肾上腺素,例如毒品名称,血压疗法抑制g,等等。
- 临床症状 /度量方法
- 这种药物削弱了甘黄酮的作用,并可能降低降压作用。
- 机械 /危险因素
- 该药物可以抑制鸟甲丁物素掺入肾上腺素术神经元中,并降低甘替丁的作用。
副作用
- 在2,269例总病例中,有164例(7.2%)具有副作用,主要副作用为82(3.6%),38(1.7%),28个恶心和呕吐(1.2%)。
(在年度报告结束时:1978年12月)
严重的副作用(药物类似)
综合征马林:在抗精神病药,抗抑郁药和抗parkinson药物与其他抗精神病药的结合中,抗parkinson(Viperiden等)以及其他抗packinson剂(例如Viperiden)中的抗精神病药和伴随药物。意识障碍,力量的力量,故意运动,吞咽困难,心动过速波动,血压波动,出汗等。在发生这种症状的情况下,诸如身体冷却,水合和该药物剂量之类的一般身体管理等适当的措施会逐渐减少。在疾病发作时,白细胞的增加和血清CK(CPK)的上升经常出现,并且可能会出现伴有肌红蛋白尿液的肾功能。另一个副作用
- 精神科
- 0.1-5%
- 记住订单1) ,嗜睡,头晕,头痛,忽视,失眠,弱点
- 消化器官
- 0.1-5%
- 口渴,恶心,呕吐,便秘,厌食,胃不适
- 泌尿科
- 0.1-5%
- 很难小便
- 高敏性注2)
- 0.1-5%
- 皮疹,所以发痒
- 眼睛
- 0.1-5%
- 调整障碍
- 肝脏注3)
- 小于0.1%
- AST(GOT)增加,ALT(GPT)增加
- 其他的
- 0.1-5%
- 鼻子关闭
- 其他的
- 小于0.1%
- 热感觉,眼睑水肿
- 注意1)如果发生ir妄,请采取适当的措施,例如减肥或服用药物。
- 注2)如果出现这种症状,请停止给药。
- 注3)希望在给药期间定期执行肝功能测试。
老年人的管理
- 在老年人中,可能会出现诸如del妄,焦虑和其他精神症状和抗胆碱作用之类的心理症状,因此很容易出现,因为它很可能出现在口腔,困难,便秘等中。
管理孕妇,妇产科妇女等。
- 对于孕妇,孕妇或泌乳妇女,只有在判断治疗的益处超过危险的情况下。 [尚未确定怀孕和泌乳期间的安全性。这是给出的
给儿童的管理等
- 仅当治疗的益处超过危险时,它才会给儿童。 [尚未确定儿童的安全等。 (使用的经验少。)
适用的预防措施
- 在药物时:
- PTP包装药物应从PTP纸中取出并教给它。 (据报道,由于PTP板的意外摄入,一个硬尖角刺入了食管粘膜,并发生了严重的并发症,例如纵隔炎)。
药代动力学
[参考]在口服14 C或3小时在大鼠上签名的枕形蛋白的口服时,人们认识到它很快被消化道吸收,并且主要在胆汁中排出。尿液中不变的身体的排泄仅小,大脑中的不愉快浓度高于血清浓度,并且已经表明枕形蛋白很容易转移到大脑。 1)临床结果
对帕金森综合症的总体影响为278次一般临床试验,为66.9%(186/278)。 (单独使用该药物,有效或更多的内部聚集)药物
1。
震颤的抑制2)枕形蛋白显示出强烈的抑制作用,刺激性抑制作用对小鼠震颤的震颤和甲氧氨基氨基氨酸和大鼠的枕形抑制作用,尤其是在颤音中,大约是阿托品的大约3倍的trowheptin,大约是阿托品的3倍。它是六倍的六倍。 Prometadine的强度12倍。
这表明枕形蛋白具有强大的中央抗胆碱作用。 2。
Catatney 2的控制) Pilloheptin强烈抑制由大鼠和猴子的猫咪和大鼠引起的大鼠以及由Harroperidol引起的大鼠猫咪引起的。它显示了作用。 3。
增强L-DOPA 2的作用)当指示执行正常小鼠或reelpin预处理的小鼠自发小鼠的指标时,枕头肽明显增加了左旋多巴的作用。四个。
外周抗蛋白效应2)3) Pilloheptin还对小鼠和大鼠等外围作用(例如小鼠或大鼠),例如颤音,Oxot柠檬或Pillocalpin等外围作用具有拮抗作用。但是,当将这些动作与中央警告进行比较时,阿托品比中心更具选择性,并且枕形蛋白对两侧都具有相同的作用。已经发现,它在中心表现出比外围的抗抗素作用更强。
枕形蛋白还显示出对狗唾液分泌和豚鼠的昏迷的拮抗作用,但表明这些作用显然比阿特罗皮蛋白和Torihki sephenidil更弱。有关活性成分的物理和化学知识
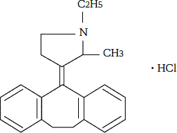
通用名称吡hy肽型羟基苯胺(苯肽型氢氯化物)化学名称3-(10,11-dihydro-5 h -dibenzo [ a , d ] cyclohepten-5-甲基)-1-乙基-2-乙基-2-甲基吡咯烷型氢烯丙基分子C 22 H 25 n hcl分子量339.90熔点大约253°C(分解)结构公式
特点盐酸盐肽盐是白色至细的黄色白色晶体或结晶粉,没有气味。很容易溶于甲醇,乙酸(100),乙醇(95)或氯仿,在某种程度上很难溶于水中,很难溶于丙酮中,并且几乎不会溶于二乙醚中。逐渐被光着色。分布系数1.26 x 10 -1 (1-二二酚 /水系统)包装
- Trimol片剂2mg
PTP:100片(10片X 10)
玫瑰:1000片 - trimol细粒2%
玫瑰:100克
主要文献和文档请求目的地
主要文献
- 1)
- Ryuichi Kato等:基本与临床, 6 (5)960,1972
- 2)
- Hitomi,M。等人:Arzneim.-Forsch。, 22 (6)953,1972
- 3)
- Hitomi,M。等人:Arzneim.-Forsch。, 22 (6)961,1972
文学要求
- 日本通用有限公司客户咨询办公室
- 1-1-9th Marunouchi,北东京100-6739
- 电话0120-893-170
- 传真0120-893-172
制造商等的姓名或名称和地址等。
- 卖方
- 日本通用有限公司
- 第1-29个Marunouchi,北东京北库-KU
- 制造和分销商
- Chojido Pharmaceutical Co.,Ltd。
- 托库希马市的92个地点