4006 776 356
免费咨询 9:00-18:00
获取国外Pallodel锁2.5mgjazh-CN药品价格,使用等信息,最快 24 小时回馈
出境医 / 海外药品 / Pallodel锁2.5mgjazh-CN
Pallodel锁2.5mgjazh-CN
1979年4月
Pallodel锁2.5mg
创建或修订年
- **修订于2021年10月(第17版)
- * 2019年8月修订
日本标准产品分类编号
- 871169
日本标准产品分类编号,等等。
- 改建结果公告年(最新)
- 1991年3月
医学分类名称
- 可持续多巴胺演员
批准,等等
- 销售名称
- Pallodel锁2.5mg
销售名称代码
- 1169005F1200
批准 /许可号码
- 批准编号
- 22000AMX02004000
- 商标
- parlodel片剂2.5mg
药品价格标准日期
- 2008年12月
销售日期
- 1979年4月
储蓄,到期日期等
- 储蓄
- 塑形,在室温关闭后显示照明,并在避免水分的同时节省。
- 截止日期
- 在包装中显示的到期日期内使用
法规类别
- 阳性药物
- 处方药
- (注意 - 根据医生的处方等使用)
作品
- 成分 /内容
- 包括1平板电脑中的2.87毫克(2.5毫克作为bromo夹蛋白)的溴烯丙胺(日本局)2.87 mg(2.5 mg)
- 添加剂
- 无水殖民酸,硬脂酸镁,马来酸,玉米,乳糖
特点
- 特点
- 用白色单侧电线锁定米锁
- *外部形式

- *识别代码
- SJ XC
- 尺寸(大约)
- 直径:7.0mm厚度:2.9mm质量:0.14克
一般名称
- 溴晶麦甲酸酯片
限制(请勿对下一个患者进行管理)- 1。
- 对这种药物或小麦角生物碱成分过敏的患者
- 2。
- 怀孕高血压综合征的患者[表达抽搐,脑血管疾病,心脏病发作和高血压的风险很高。这是给出的
- 3。
- 高血压的患者(请参阅第2节)
- 四个。
- echiko测试可能会导致已经确认心脏瓣膜厚度,心脏瓣膜和心脏瓣膜病变的患者,例如狭窄和其他随附的狭窄。这是给出的
|
功效或效果
- 末端肥大
- 垂体巨人
- 牛奶泄漏
- 抑制紫牛奶分泌物
- 高催乳素排卵障碍
- 高催乳素血液垂体(仅在不需要手术治疗时)
- 帕金森综合症
用法和剂量
- Einal肥大肥大巨人巨人
- 通常,每天2.5毫克至7.5 mg每天分为2-3次,作为Bromo夹子,进食后立即口服。
此外,根据年龄和症状,它将适当地增加或减少。 - 字母泄漏PERSUA的牛奶分泌抑制高催乳素排卵障碍高催乳素垂体腺瘤(仅在需要手术治疗时)
- 通常,2.5 mg每天为2.5 mg作为Bromo夹蛋白,观察效果时,效果逐渐增加到每天5.0至7.5 mg,并且口服给药分为2-3次,并在后立即进行口服给药。食物。
此外,根据年龄和症状,它将适当地增加或减少。 - 帕金森综合症
- 通常,早餐后立即从口服给药1.25 mg或2.5毫克的Bromo夹子开始,每天增加2.5毫克,持续一两周,并保持维护(标准15.0至22.5 mg每天)。规定。如果每日金额为5.0毫克作为Bromo夹夹,则在早餐和晚餐后立即将其分为口服管理,以及7.5毫克或更多。
此外,根据年龄和症状,它将适当地增加或减少。
使用预防措施
谨慎的管理
(请小心地给下一个患者管理)
- 1。
- 垂体肿瘤在土耳其鞍座之外进展,患有明显的末期增生(尖端巨人)和垂体巨大疾病(如视觉障碍)的患者是首选。这是给出的
- 2。
- *垂体肿瘤在土耳其鞍座之外进展,高催乳素小儿腺瘤瘤(例如视觉障碍)的患者可能会导致长期服用引起的腺瘤纤维瘤。还据报道,脑脊液鼻腔肿瘤被发现或由于肿瘤收缩而复发的视野障碍。 ](请参阅有关“重要基本预防措施”的部分)
- 3。
- 孕妇或可能怀孕的妇女(请参阅“孕妇,妇产科,护理妇女等”的部分)
- 四个。
- 肝损伤或其病史的患者[该药物主要由肝脏代谢。据报道肝功能障碍。这是给出的
- 五。
- 据报道,具有先前病史的消化溃疡或患者已经恶化。这是给出的
- 6。
- 雷诺病患者[雷诺症状恶化。这是给出的
- 7。
- 精神科或他的患者病史[据报道,精神症状恶化。这是给出的
- 8。
- 据报道,严重的心血管疾病或患有其病史的患者出现在国外。这是给出的
- 9。
- Nephe病,或具有病史病史的患者(如果引起了突然的血压,肾血流可能会减少。这是给出的
重要的基本预防措施
- 1。
- 请注意不要从事驾驶汽车(例如驾驶汽车)的机器操作,例如大量血压下降,没有前体的突然睡眠以及没有前体的睡眠。
- 2。
- 该药物的给药应从少量开始,并完全观察血压,血液学检查等,并仔细地增加维护量的数量。
- 3。
- 在泌乳或高催乳素排卵障碍的情况下,对土耳其马鞍进行测试是在给药开始之前进行的。
- 四个。
- *在土耳其鞍座以外进展的高催乳素垂体腺瘤患者中,该药物的给药可能会大大减少腺瘤,因此是这种情况。采取适当的措施,例如体重减轻或停止。
- 五。
- *在患有视野障碍的高种植体血液垂体腺瘤的患者中,该药物的给药缩小了,一旦视觉场疾病得到改善,土耳其鞍座的视野已被挖空到鞍座中。据报道,视觉障碍再次出现。如果发现异常,请采取适当的措施,例如减肥或中断。
- 6。
- 在抑制脂肪牛奶分泌物以施用时,仅应向死产或母亲的HTLV-1或HIV感染等医学患者进行施用。 (如果可以通过冰法抑制牛奶分泌,请勿管理。)
- 7。
- 在抑制脂肪牛奶分泌的过程中,必须一起使用诸如冰法的辅助方法。
- 8。
- 在抑制脂肪泌乳的分泌以抑制尿液时,必须在分娩,呼吸,脉搏,血压等后进行给药。此外,在给药期间(尤其是给药的第一天),应充分观察到,如果血压升高,头痛,中枢神经症状等,则应立即停用给药。
- 9。
- 左旋多巴或多巴胺受体参与者的给药具有病理赌博(尽管社会劣势的结果,例如个人生活的崩溃,但不断重复赌博的状态)。由于性损害的损害(例如,性购买和猖ramp),如果表达了这种症状,则应采取适当的措施,例如停止体重或取消。此外,解释了患者及其家人的这种障碍的症状。
- 十。
- *如果您需要丢失或取消此药物,请逐渐减少它。突然的体重减轻或取消可能引起恶性综合征。此外,多巴胺受体的突然丧失或中断可能会导致药物戒断综合征(具有情感,焦虑,抑郁,疲劳,疲劳,出汗和疼痛等症状)。
相互作用
- 由于该药物由CYP3A4代谢并抑制这种药物,因此应谨慎对其进行施用,并与影响该酶活性的药物结合使用。
合并用途的注释
(请注意联合使用)
- 1。毒品名称等。交感刺激剂(肾上腺素等)
大麦藻类(Ergometrin,甲基elgouted,麦角胺,二氢gootamine)- 临床症状 /度量方法
- 血压升高,头痛,抽搐等。特别是,当施用抑制嗜血性牛奶的分泌时,请注意分娩后的剂量,呼吸,脉搏,血压等,然后稳定。
- 机械 /危险因素
- 尽管该机制尚不清楚,但该药物被认为会影响这些药物的血管收缩作用和血压升高。
- 2。诸如药物名称的药物
- 临床症状 /度量方法
- 热情的影响可能会强烈。在开始时要特别小心。
- 机械 /危险因素
- 这种药物抑制外周交感神经结尾。
- 3。毒品名称酒精
- 临床症状 /度量方法
- 它可能导致胃肠道副作用和酒精耐受性。
- 机械 /危险因素
- 增强相互作用。
- 四个。药物名称等。基于Fenchizine的药物(氯促销等)
基于Butterphenon的药物(氟哌啶醇,Spiperon等)
米尼杜德苯甲部药物(Carplamine等)
附着的抗精神病剂(pero pilon,bronanuserin等)
Metocrplamidodon Peridon- 临床症状 /度量方法
- 效果可以彼此减少。
- 机械 /危险因素
- 该药物是一种多巴胺激动剂,在这些药物和多巴胺受体中竞争竞争。
- 五。抗Packinson剂,例如药物名称(Levodupa,Chiokusanten Drug等)
- 临床症状 /度量方法
- 可以增强精神病系统的副作用。
- 机械 /危险因素
- 增强相互作用。
- 6。环孢菌素克莫司,等。
- 临床症状 /度量方法
- 这些药物的血液浓度可能会增加。
- 机械 /危险因素
- 对CYP3A的竞争抑制受到这些药物的代谢抑制。
- 7。大环内酯类抗生素,例如药物名称(红霉素,Josamycin等)
HIV蛋白酶抑制剂(Ritonabil,Sakinabil等)
基于Azor的抗真菌剂(Itlaconazole等)- 临床症状 /度量方法
- 该药物的作用可能会得到增强。
- 机械 /危险因素
- 对CYP3A的竞争抑制受到这种药物的代谢抑制。
- 8。药物名称等。Ocleotide
- 临床症状 /度量方法
- 据报道,该药物的AUC已经增加。
- 机械 /危险因素
- 该机制未知。
副作用
- 在3,418例3,418、3,418、3,418、3,418、3,418、3,418、3,418、3,418倍的病例中,能力疾病,排卵障碍,排卵障碍,排卵障碍,排卵疾病,排卵,排卵疾病。主要患者是411个恶心和恶心(12.0%),159个呕吐(4.7%),86便秘(2.5%),88个头晕(2.6%),头痛和重头(1.3)A%)和其他精神病学症状56(1.6%)。
在534例末期肥大(尖端巨人)和534例垂体巨型疾病中,有164例(30.7%)。主要的是52个恶心和呕吐(9.7%),44个便秘(8.2%),17个恶心(3.2%),12例不适(2.2%),10个损失(1.9%)等。 12(2.2%)和10(1.9%)的头痛(1.9%)。
在5,212个帕金森综合症中,有978(18.8%)有一些副作用。主要的是恶心,恶心和呕吐433(8.3%),128个厌食症(2.5%),57个胃不适(1.1%),39便秘(0.7%),31个口渴(0.6)精神病症状,例如胃肠道症状,幻觉和妄想145(2.8%),106 Jiskidia(2.0%),头晕和编织60(1.2%),头痛和沉重的头部57(1.1%)(1.1%)是一种心血管症状,是36个头晕(0.7%)的心血管症状。
严重的副作用
- 1.休克,血压突然降低,体位性低血压(频率未知)
- 突然的血压,体位性低血压可能会引起休克症状,例如恶心,呕吐,脸色苍白,汗水和晕厥,因此,如果发现您并发现异常,请取消给药。
- 2.综合征Malin (频率未知)
- 可能发生热热代,意识障碍,没有动态的货币,力量僵硬,吞咽困难,心动过速波动,血压波动,出汗的CK(CPK)等。如果出现这种症状,它将在管理的早期阶段被取消,如果持续给药剂量变化或取消,将在一次剂量返回剂量后仔细减少。采取适当的措施以及冷却的一般管理,水合等
- 3.胸膜炎,纸膜炎,胸膜纤维化,肺纤维化(频率未知)
- 可能会发生胸膜蝇,胸膜液,胸膜炎,胸膜炎,胸膜纤维化和肺纤维化,因此,如果出现胸痛,呼吸道症状等,请立即进行胸部X射线检查,并进行异常。采取适当的措施。特别是,长时间服用高剂量的患者可能会增加表达风险。
- 4.心脏(频率未知)
- 由于可能会出现心脏病,因此有必要进行足够的观察,如果发生心脏噪声的表达或加剧,请立即进行胸部X射线检查,回声测试等。如果发现心脏瓣膜厚度,心脏瓣膜和心脏瓣膜的病变,例如伴随的狭窄,则必须停止使用并进行适当的治疗。特别是,长时间服用高剂量的患者可能会增加表达风险。
- 5.后来的腹膜纤维化(频率未知)
- 由于已经报道了后腹膜纤维化,因此应充分观察到,如果腰痛,下肢水肿,肾功能障碍等出现,请停止给药并采取适当的措施。特别是,长时间服用高剂量的患者可能会增加表达风险。
- 6.谬论 /妄想,妄想,混乱(频率未知)
- 霍尔(Hall)抚摸,妄想,妄想和混乱可能会出现,因此在这种情况下,采取了适当的措施,例如减肥或药物休息。
- 7.胃肠病学出血,胃 /十二指肠溃疡(频率未知)
- 在胃肠道出血的情况下,胃和十二个肠溃疡的表达或胃 /十二指肠溃疡的恶化,在这种情况下,停止给药并采取适当的措施。
- 8.抽搐,脑血管疾病,心脏病发作,高血压(频率未知)
- 已经报道了抽搐,脑血管疾病,心脏病发作,高血压等,因此,如果观察到足够的观察并发现异常,则应停止给药并进行适当的治疗。
- 9.突然的睡眠(频率未知)
- 在这种情况下,应采取适当的措施,例如减肥,给药的取消等,因为可能没有前体的突然睡眠。
另一个副作用
- 1.超敏反应注1)
- (0.1%至低于5%)
- 皮疹
- 2.精神神经系统
- (频率未知)
- 睡觉,幻想
- 3.精神病神经系统
- (0.1%至低于5%)
- 兴奋,焦虑,失眠,头痛,吉斯迪亚注2)
嘴,鼻子闭合 - 4.精神神经系统
- (小于0.1%)
- 耳鸣,耳鸣,冲动控制障碍(病理赌博,增强病理性性欲)
- 5.眼睛
- (0.1%至低于5%)
- 视觉异常顺序2)
- 6.眼睛
- (小于0.1%)
- 瓶子
- 7.肝注3)
- (0.1%至低于5%)
- AST(GOT)和ALT(GPT)
- 8.肝脏注3)
- (小于0.1%)
- ALP上升
- 9.心血管
- (频率未知)
- 蓝白色,心动过速,心动过缓,腿部抽搐和冷手指的心律失常
- 10.心血管
- (0.1%至低于5%)
- 头晕,头晕,呼吸症,血压降低,体位不足,胸部不适,水肿
- 11.心血管
- (小于0.1%)
- 面粉红色
- 12.消化
- (5%或更多)
- 恶心
- 13.胃肠道
- (0.1%至低于5%)
- 呕吐,便秘,厌食,胃痛,腹痛,胃部不适,胃灼热,腹胀,腹泻
- 14.胃肠道
- (小于0.1%)
- 嘴里干
- 15.泌尿科
- (小于0.1%)
- 尿失禁
- 16. *其他
- (频率未知)
- 药物戒断综合征4) (无情感,焦虑,抑郁,疲劳,出汗,疼痛等)
- 17.其他
- (0.1%至低于5%)
- 贫血,疏忽
- 18.其他
- (小于0.1%)
- 脱发头发,在OBI下增加,麻木,呼吸困难,疲劳
- 注意1)在这种情况下,停止管理。
- 注2)在这种情况下,采取适当的措施,例如停用管理。
- 注意3)如果发现了足够的观察并发现异常,请停止给药。
- *注意4)如果观察到异常,请采取适当的措施,例如恢复给药或在减肥前恢复剂量。
老年人的管理
- 通常,重要的是要注意老年人,因为生理功能降低了。
管理孕妇,妇产科妇女等。
- 1.对一位女士的管理
- (1)
- 当这种药物长时间使用时,会抑制催乳素分泌并可能发生妇科异常,因此进行常规的妇科。 (请参阅“其他预防措施”部分)
- (2)
- 向不想怀孕的患者教避孕。
- (3)
- 在为想要怀孕的患者服用该药物时,应进行定期检查,例如怀孕反应,以及早发现怀孕。
- (四)
- 如果由于高催乳素排卵障碍而导致该药物的妊娠确认,请立即停止给药。在垂体腺体瘤患者中,垂体腺体可能发生在怀孕期间,因此请注意表明腺瘤扩大(头痛,视觉狭窄等)的症状,这些症状在取消该药物后被完全观察到。
- 2.孕妇管理
- 对于可能怀孕的孕妇或妇女,只有在确定治疗要超过危险的情况下才有必要管理。 [尚未确定怀孕期间的管理安全。这是给出的
- 3.行政哺乳女性
- (1)
- 不要给想要母乳喂养的母亲使用这种药物。 [这种药物抑制了牛奶分泌。这是给出的
- (2)
- 这种药物不允许转移到母乳上。
给儿童的管理等
- 尚未建立低出生体重,新生儿,婴儿,婴儿或儿童的安全性(经验更少)。
过量
- 体征,症状
- 顽皮,呕吐,头晕,低血压,矫形性低血压,心动过速,睡眠,超梯度,幻觉,机构发烧等。
- 治疗
- 使用一般治疗方法(呕吐,胃清洁,活性碳,盐液等)和有症状治疗。
适用的预防措施
- 在毒品时
- PTP包装药物应从PTP纸中取出并教给它。 (据报道,PTP纸的难度 - 到叶子的末端在食管粘膜上有一个硬尖的角,进一步导致穿孔会引起严重的并发症,例如纵隔炎。)
其他预防措施
- 1。
- 已经在动物实验(大鼠)中报道了子宫肿瘤长期批量施用的一个例子。
- 2。
- 为了诊断和治疗垂体增生(尖端巨人),垂体巨型疾病和高催乳素垂体腺体,请参阅最新信息,例如家庭和海外指南。
药代动力学
- 1.血液浓度
- 当将一种药物(2.5 mg作为Bromo夹蛋白)给予健康的成年人时,血浆浓度如下。
- tmax(h)
- 2.7
- cmax(pg/ml)
- 250.4
- AUC 0→36 (pg/h/ml)
- 1,630.9
- t 1/2 (h)
- 2.86

- 2.代谢
- Bromo夹蛋白通过肝脏代谢,主要一致是肽部分的肽部分的氧化,然后是葡萄糖酸。 (外国数据)
- 3.排泄
- 健康成年人给予2.5毫克14 c Bromo夹蛋白后的放射性排泄率为2.4%,粪便的84.6%(120小时)。 (外国数据)
临床结果
- 1.抑制Puerperid牛奶分泌1)
- 对于希望在分娩,流量或早产后抑制泌乳的99名妇女,该药物为5 mg/天进行了14天,双盲方法将抑制乳房分泌,乳腺肿瘤和血液催乳素。通过比较与安慰剂的作用,证实了该药物的有用性。
- 2.牛奶泄漏,高催乳素排卵疾病和垂体腺瘤2,3)
- 该药物的服用为5至7.5 mg/天到253名Chiari-Flommel综合征,Argonz-Del Castillo综合征,先锋腺瘤和排卵疾病的女性。
- (1)牛奶泄漏
- 泄漏中牛奶泄漏的悬浮液为53.7%(116/216),NEDE泄漏的减少为34.3%(74/216),总计88%。
- (2)高催乳素排卵障碍
- 排卵病例的排卵率为76.7%(165/215),不育病例的妊娠率为45.3%(78/172)。
- (3)高催乳素血液垂体腺体
- 在50例垂体腺体瘤病例中,泄漏的76.7%(33/43),排卵率为54.0%(27/50),妊娠率为43.2%(16/37)。
- 3.结束高血压(尖端巨型疾病),垂体巨人病4)
- 该药物每天为99例末期肥大(尖端巨人)和99例垂体巨人疾病,每天为2.5 mg,并且基于7.5 mg/天进行了长期服用。该药物的给药减少了血液生长激素,导致出汗,糖尿病,头痛和头痛,四肢麻木,软组织减少以及改善的面部和高血压症状。
- 4.帕金森综合症5,6)
- 在帕金森氏病患者帕金森氏综合症患者中,每天一次1.25 mg或2.5 mg,初始体积是作为指导的。基于配音,固化,震颤等的症状确定临床效应。
此外,通过对帕金森综合症患者的双重比较测试证实了有用性。
药物
- 该药物具有可持续的多巴胺受体锻造作用,并且针对内分泌系统对垂体前腺的催乳素分泌有特异性抑制,并且在末期增生(尖端巨人)的患者中异常成长。抑制激素分泌。此外,中枢神经系统作用于黑色质量菌株体的多巴胺受体,表现出抗parkinson效应。
- (1)内分泌系统的动作
- 1)催乳素分泌抑制作用
- 动物(大鼠,小鼠,兔子,猪等)和人类将继续降低催乳素水平。不仅是催乳素的基本分泌,而且由于生理或外部刺激而导致的分泌增加。 7)
- 2)牛奶分泌抑制作用
- 通过抑制催乳素分泌,在各种病理状况下的生理阳性牛奶分泌或泄漏被抑制。 1,2,8)
- 3)对促性腺激素分泌的影响
- 在高催乳素排卵疾病的情况下,随着血液催乳素水平降低,该药物的给药已通过雌激素释放。 9)
- 4)生长激素分泌抑制作用
- 健康的成年人促进生长激素分泌,但抑制了末期肥大患者(尖端巨人)的过度分泌。 4,10)
- (2)中枢神经系统的作用
- 1)诱导常规行为的行动
- 它触发了正常行为,例如嗅探和舔大鼠,但与左旋多巴相比,这种效果持续。 11)
- 2)流动的运动感应行动
- 黑色质量聚焦的身体一面破坏大鼠(UNGERSTEDT模型)从破坏侧引起旋转运动。 11)
- 3)反对reelpin的对抗
- 抑制Aquisia,α固体和细胞蛋白,由reelpin(小鼠,大鼠)触发。 11)
- 4)反殴打行动
- 抑制在单侧脑损伤猴子中发现的震颤。 12)
- 5)对多巴胺代谢转换率的影响
- 大脑中的DOPAC含量减少,多巴胺代谢周转率降低(大鼠)。 13)
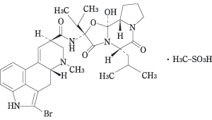
有关活性成分的物理和化学知识
- 结构公式

- 通用名称
- 溴ocriptine中脱酸酯
- 化学名称
- (5 's )-2-bromo-12'-羟基-2' - (1-甲基乙基)-5' - (2-甲基丙基)麦戈甘-3',6',6',18- trione单甲磺酸盐
- 分子
- C 32 h 40 brn 5 o 5 ch4 o 3 s
- 分子量
- 750.70
- 特点
- 白色 - 微粒黄色白色或细玉米棕色晶体粉,没有气味或略带特殊的气味,它极度溶解在乙酸中(100),很容易溶解在甲醇,乙醇中(95)。难以溶解,极难溶解在无水丙酸,二氯甲烷或氯仿中,几乎不溶于水或二乙醚。逐渐被光着色。
包装
- ** Pallodel平板电脑2.5mg 100片(PTP)
主要文献和文档请求目的地
主要文献
- 1)
- Keiichi Kuroshi等:妇产科48(3),359,1981 [Ploj00401]
- 2)
- Keiichi Kuroshi等:妇产科48(2),241,1981 [Ploj00397]
- 3)
- Keiichi Kuroshi等:妇产科48(1),117,1981 [Ploj00395]
- 四)
- Kazuo Seimei等:激素和临床实践25(12),1349,1977 [Ploj00109]
- 五)
- Yasuo Toyokura等人:Rinko and Research 60(8),2682,1983 [Ploj00761]
- 6)
- Yasuo Toyokura等:临床评估12(2),403,1984 [Ploj00954]
- 7)
- fl u ckiger,e。:在“溴o我的药理学和临床方面(Parlodel)”,Proc.Symposium,Royal Coll.physicians,伦敦,伦敦,伦敦76
Grange Pres,Southwick,Sussex,P.12,1976 [PLOM00452] - 8)
- Del Pozo,E.Et Al。:J.Clin.Endocrinol.Metab.35,768,1972 [PLOM00025]
- 9)
- Aono,T.Et Al。:Acta Endocr。(KBH)91,591,1979
- 十)
- Liuzzi,A.Et Al。
- 11)
- 约翰逊,Amet Al。:酿造
- 12)
- Goldstein,M.Et Al。:药理学16(Suppl.1),143,1978 [PLOM00820]
- 13)
- B U RKI,Hret Al。:心理药理学57,227,1978 [PLOM00929]
文学要求
- ** San Farm Corporation Kusuri咨询中心接待时间:9:00-17:30(不包括星期六,星期日,公共假期和其他假期)
- 电话:0120-22-6880
主页:https://jp.sunpharma.com/
制造商等的姓名或名称和地址等。
- 制造和分销商
- San Farm Co.,Ltd。
- 1-7-6东京Minato-Ku的Shiba Park