1992年9月
* Bromo夹板片2.5mg“ Towa”
创建或修订年
- ** 2019年8月修订(第15版,仔细管理部分等)
- *修订于2017年6月(第14版)
日本标准产品分类编号
- 871169
日本标准产品分类编号,等等。
- 重新评估结果周年纪念年(最新)
- 2008年3月
医学分类名称
- 可持续多巴胺演员
批准,等等
- 销售名称
- * Bromo夹板片2.5mg“ Towa”
销售名称代码
- YJ代码
- 1169005F1308
批准 /许可号码
- 批准编号
- * 22900AMX00096
- 欧洲商品名称
- bromocriptine片2.5mg“ towa”
药品价格标准日期
- * 2017年6月
销售日期
- 1992年9月
到期日期,等等。
- 保存方法:
- 阴影 /室温存储
- 到期日期:
- 在外盒子中描述
法规类别
- 电力药物,处方药1)
- 注意1)注意 - 医生的处方使用。
作品
- 1片中的活性成分
- 日本缅甸丙酸... 2.87mg
(2.5mg作为Bromo夹蛋白) - 添加剂
- 乳糖水合物,低替代羟基丙糖纤维素,富马酸,硬油油
特点
- 白色 - 米克罗宾黄色或microtus棕色白色裸露锁,一侧有一条电线
- 身份代码/身体
- TW DR
- 标识代码/包装
- Tw.dr
- 外形
- 桌子

- 外形
- 后退

- 外形
- 边

- 锁直径(mm)
- 7.0
- 厚度(mm)
- 2.7
- 质量(mg)
- 140
一般名称
- 溴晶麦甲酸酯片
限制(请勿对下一个患者进行管理)- 1。
- 对这种药物或小麦角生物碱成分过敏的患者
- 2。
- 妊娠和高血压综合征的患者高度表达了妊娠和高血压综合征[抽搐,脑血管疾病,心脏病发作和高血压。这是给出的
- 3。
- 在胸腔期高血压的患者[请参见第2节)
- 四个。
- echiko测试可能会导致已经确认心脏瓣膜增厚,心脏瓣膜和心脏膜病变的患者,例如狭窄和其他随附的狭窄。这是给出的
|
功效 /效果
・抑制pu骨泌乳,泌乳,高催乳素排卵疾病,高催乳素垂体腺瘤(仅在需要手术治疗时)
E末端肥大,垂体巨型疾病
・帕金森综合症
用法 /剂量
- ・抑制脂肪泌乳,泌乳,高催乳素排卵疾病,高催乳素垂体腺瘤(仅在需要手术治疗时):
- 通常,2.5 mg每天为2.5 mg作为Bromo夹蛋白,观察效果时,效果逐渐增加到每天5.0至7.5 mg,并且口服给药分为2-3次,并在后立即进行口服给药。食物。
- 此外,根据年龄和症状,它将适当地增加或减少。
- E末期肥大,垂体巨人疾病:
- 通常,每天2.5至7.5毫克每天分为2-3次,作为Bromo夹蛋白,食物后立即口服。
- 此外,根据年龄和症状,它将适当地增加或减少。
- ・帕金森综合症:
- 通常,每天1.25或2.5 mg,因为Bromo夹蛋白在早餐后立即从口服给药,增加2.5 mg至一两周,并确定维护量(标准15.0-22.5 mg)。如果每日金额为5.0毫克作为Bromo夹夹,则在早餐和晚餐后立即将其分为口服管理,以及7.5毫克或更多。
- 此外,根据年龄和症状,它将适当地增加或减少。
使用预防措施
谨慎的管理
(请小心地给下一个患者管理)
- 1。
- 垂体肿瘤已经在土耳其马鞍之外进展,患有明显的末期增生(尖端巨人)和垂体巨人疾病(例如视觉障碍)的患者是首选。这是给出的
- 2。
- **垂体肿瘤在土耳其鞍座之外进展,患有明显高催乳素小儿腺瘤(例如视觉障碍)的患者可能会导致纤维纤维。还据报道,脑脊液鼻腔肿瘤被发现或由于肿瘤收缩而复发的视野障碍。 (请参阅“重要基本预防措施”的部分)]
- 3。
- 孕妇或可能怀孕的妇女(请参阅“孕妇,妇产科,哺乳妇女等行政”部分
- 四个。
- 肝损伤或其病史的患者[该药物主要由肝脏代谢。据报道肝功能障碍。这是给出的
- 五。
- 据报道,具有病史的消化溃疡或患者已经恶化。这是给出的
- 6。
- 雷诺病患者[雷诺症状恶化。这是给出的
- 7。
- 精神科或其患者病史[据报道,精神症状恶化。这是给出的
- 8。
- 严重的心血管疾病或患有其病史的患者[心脏病发作,脑血管疾病等都出现在国外。这是给出的
- 9。
- Nephe病,或具有病史病史的患者,[血压突然降低可能会降低肾脏血压。这是给出的
重要的基本预防措施
- 1。
- 请注意不要从事驾驶汽车(例如驾驶汽车)的机器操作,例如大量血压下降,没有前体的突然睡眠以及没有前体的睡眠。
- 2。
- 该药物的给药应从少量开始,并完全观察血压,血液学检查等,并仔细地增加维护量的数量。
- 3。
- 在泌乳或高催乳素排卵障碍的情况下,对土耳其马鞍进行测试是在给药开始之前进行的。
- 四个。
- **在土耳其鞍座以外进展的高种植细胞素垂体腺瘤的患者中,这种药物可能会导致脑脊液鼻腔犹豫不决,因为可能会发生腺瘤的给药。在某些情况下,采取适当的措施,例如体重减轻或不合时宜。
- 五。
- **在患有视野障碍的高酸血液垂体腺瘤患者中,这种药物的给药缩小,一旦视觉障碍改善,土耳其鞍座的倾向就会倾向于土耳其鞍座的观点。据报道,通过引入视觉障碍再次出现。如果发现异常,请采取适当的措施,例如减肥或中断。
- 6。
- 在抑制脂肪牛奶分泌物以施用时,仅应向死产或母亲的HTLV-1或HIV感染等医学患者进行施用。 [如果有可能抑制ICE法律的牛奶分泌,请勿管理。这是给出的
- 7。
- 在抑制脂肪牛奶分泌的过程中,必须一起使用诸如冰法的辅助方法。
- 8。
- 在抑制脂肪泌乳的分泌以抑制尿液时,必须在分娩,呼吸,脉搏,血压等后进行给药。此外,在给药期间(尤其是给药的第一天),应充分观察到,如果血压升高,头痛,中枢神经症状等,则应立即停用给药。
- 9。
- 左旋多巴或多巴胺受体参与者的给药具有病理赌博(尽管社会劣势的结果,例如个人生活的崩溃,但不断重复赌博的状态)。由于性损害的损害(例如,性购买和猖ramp),如果表达了这种症状,则应采取适当的措施,例如停止体重或取消。此外,解释了患者及其家人的这种障碍的症状。
- 十。
- **如果需要这种药物,则需要减少或取消该药物,请逐渐减少它。突然的体重减轻或取消可能引起恶性综合征。此外,多巴胺受体的突然丧失或取消可能导致药物戒断综合征(情绪,焦虑,抑郁,疲劳,疲劳,出汗和疼痛等症状的特征)。
相互作用
合并用途的注释
(请注意联合使用)
- 1。药物名称等。系统性刺激肾上腺素等。超生物碱类甲基甲基olgometlin麦角胺Gotamine
- 临床症状 /度量方法
- 血压升高,头痛,抽搐等。特别是,当施用抑制嗜血性牛奶的分泌时,请注意分娩后的剂量,呼吸,脉搏,血压等,然后稳定。
- 机械 /危险因素
- 尽管该机制尚不清楚,但该药物被认为会影响这些药物的血管收缩作用和血压升高。
- 2。诸如药物名称的药物
- 临床症状 /度量方法
- 热情的影响可能会强烈。在开始时要特别小心。
- 机械 /危险因素
- 这种药物抑制外周交感神经结尾。
- 3。毒品名称酒精
- 临床症状 /度量方法
- 它可能导致胃肠道副作用和酒精耐受性。
- 机械 /危险因素
- 增强相互作用。
- 四个。药物名称等。基于fenchizine的药物氯酸药物,例如基于helloperphenon的氯苯药物,例如基于helloperopol娃娃刺的药物,例如carpplamine,例如钙帕拉明,pelospilon bronanzerin等
- 临床症状 /度量方法
- 效果可以彼此减少。
- 机械 /危险因素
- 该药物是一种多巴胺激动剂,在这些药物和多巴胺受体中竞争竞争。
- 五。毒品名称等。反帕金森特工,左旋多巴咀嚼,基于桑登的药物等。
- 临床症状 /度量方法
- 可以增强精神病系统的副作用。
- 机械 /危险因素
- 增强相互作用。
- 6。环孢菌素克莫司,等。
- 临床症状 /度量方法
- 这些药物的血液浓度可能会增加。
- 机械 /危险因素
- 对CYP3A的竞争抑制受到这些药物的代谢抑制。
- 7。药物名称等。大环内酯类抗生素Ellislycin josamycin等。
HIV蛋白酶抑制剂Litonabil Sachinabille等。基于Azor的抗真菌剂Itlaconazole等。- 临床症状 /度量方法
- 该药物的作用可能会得到增强。
- 机械 /危险因素
- 对CYP3A的竞争抑制受到这种药物的代谢抑制。
- 8。药物名称等。Ocleotide
- 临床症状 /度量方法
- 据报道,AUC是一种丙烯酸酯烯基酸盐,已经上升了。
- 机械 /危险因素
- 该机制未知。
- 由于该药物由CYP3A4代谢并抑制这种药物,因此应谨慎对其进行施用,并与影响该酶活性的药物结合使用。
副作用
概述表达状态,副作用
- 该药物不进行调查,以阐明副作用的频率,例如用法调查。
严重的副作用(频率未知)
- 1。
- 休克,快速血压,体位性低血压:突然的血压,体位性低血压可能会引起休克症状,例如恶心和呕吐,脸色苍白,低汗和晕厥,因此可以观察到异常。适当的措施,例如增加压力。
- 2。
- 综合征Malin :发烧,意识障碍,非动力货币,强度肌肉,心动过速,血压波动,出汗,血清CK(CPK)等。如果出现这种症状,它将在管理的早期阶段被取消,如果持续给药剂量变化或取消,将在一次剂量返回剂量后仔细减少。采取适当的措施以及冷却的一般管理,水合等
- 3。
- 胸膜炎,心包炎,胸膜纤维化,肺纤维化:胸膜炎,胸膜液,胸膜炎,胸膜炎,胸膜纤维化,肺纤维化,肺纤维化,肺纤维化,胸痛,呼吸症状,呼吸症状等。如果发现异常,则应停止管理,并应进行适当的治疗方法。特别是,长时间服用高剂量的患者可能会增加表达风险。
- 四个。
- 心脏病:可能会出现心脏疾病,因此应进行足够的表达,如果发生心脏噪声的表达或加剧,则应立即执行胸X射线测试,回声测试等。如果发现心脏瓣膜厚度,心脏瓣膜和心脏瓣膜的病变,例如伴随的狭窄,则必须停止使用并进行适当的治疗。特别是,长时间服用高剂量的患者可能会增加表达风险。
- 五。
- 后来的腹膜纤维化:由于已经报告了后腹膜后纤维化,应完全观察到,如果腰痛,下肢水肿,肾功能障碍等出现,请出现,停止给药并采取适当的措施。特别是,长时间服用高剂量的患者可能会增加表达风险。
- 6。
- 堕落,妄想,妄想,混乱:可能会发生幻觉 /妄想,妄想和混乱,因此在这种情况下,采取了适当的措施,例如减肥或毒品休假。
- 7。
- 胃肠道出血,胃 /十二个肠溃疡:胃肠病学出血,胃肠道 /十二指肠溃疡的表达或胃 /十二指肠溃疡的恶化,因此在这种情况下,停止给药并采取适当的措施。
- 8。
- 抽搐,脑血管疾病,心脏病发作,高血压:抽搐,脑血管疾病,心脏病发作,高血压等,因此,如果识别出和异常,则应进行治疗。
- 9。
- 睡眠睡眠:在这种情况下,可能会出现突然没有前体的睡眠,因此采取适当的措施,例如减肥,取消药物或取消给药。
另一个副作用
- 1.超敏反应注2)
- 未知频率
- 皮疹
- 2.精神神经系统
- 未知频率
- 睡觉,幻觉,兴奋,焦虑,失眠,头痛,发育不良3) ,口渴,鼻子闭合,俯卧,冲动控制(病理赌博,改善病理性欲),耳鸣
- 3.眼睛
- 未知频率
- 视觉异常3) ,基里镜头
- 4.肝笔记4)
- 未知频率
- AST(GOT)增加,ALT(GPT)增加,Al-P增加
- 5.心血管
- 未知频率
- 到了晚上,由于冷,蓝色白色,心动过速,心动过缓,心律不齐,头晕,蜥蜴,蜥蜴,血压,血压,体质不适,胸部不适,脸部不适,脸部不适,面部洪水
- 6.消化
- 未知频率
- 顽皮,呕吐,便秘,厌食,胃痛,腹痛,胃部不适,胸部,腹胀,腹泻,干嘴干
- 7.泌尿科
- 未知频率
- 尿失禁
- 8.其他人
- 未知频率
- ※※药物戒断综合征5) (情感,焦虑,抑郁,疲劳,出汗,疼痛等),贫血,疏忽,脱毛皮带,身体增加,麻木,呼吸困难,疲劳
- 注2)在这种情况下,停止管理。
- 注3)在这种情况下,采取适当的措施,例如停用管理。
- 注意4)如果对观察进行了充分的观察并发现异常,请停止给药。
- **注意5)如果观察到异常,请采取适当的措施,例如恢复给药或在体重减轻前恢复剂量。
老年人的管理
- 通常,重要的是要注意老年人,因为生理功能降低了。
管理孕妇,妇产科妇女等。
- 1.女性管理
- (1)
- 当这种药物长时间使用时,会抑制催乳素分泌并可能发生妇科异常,因此进行常规的妇科。 (请参阅“其他预防措施”部分)
- (2)
- 向不想怀孕的患者教避孕。
- (3)
- 在为想要怀孕的患者服用该药物时,应进行定期检查,例如怀孕反应,以及早发现怀孕。
- (四)
- 如果由于高催乳素排卵障碍而导致该药物的妊娠确认,请立即停止给药。在垂体腺体瘤患者中,垂体腺体可能发生在怀孕期间,因此请注意表明腺瘤扩大(头痛,视觉狭窄等)的症状,这些症状在取消该药物后被完全观察到。
- 2.孕妇管理
- 对于可能怀孕的孕妇或妇女,只有确定治疗超过危险的治疗时才进行管理。 [尚未确定怀孕期间的管理安全。这是给出的
- 3.行政哺乳女性
- (1)
- 不要给想要母乳喂养的母亲使用这种药物。 [这种药物抑制了牛奶分泌。这是给出的
- (2)
- 这种药物不允许转移到母乳上。
给儿童的管理等
- 尚未确定低出生体重,新生儿,婴儿,婴儿或儿童的安全。 (使用少的经验)
过量
- 症状,症状:恶心,呕吐,头晕,低血压,直发性低血压,心动过速,饥饿,干草,昏迷,幻觉,发烧等。
- 行动:使用一般治疗方法(呕吐,胃清洁,活性碳,盐水等)和有症状治疗。
适用的预防措施
- 在药物时:PTP包装中的药物应从PTP纸中取出并指示服用。据报道,食管粘膜的难度很难在食管粘膜上具有硬尖角,然后引起严重的并发症,例如纵隔炎。这是给出的
其他预防措施
- 1.已经在动物实验(大鼠)中报道了子宫肿瘤的长期质量给药的一个例子。
- 2.有关末期肥大(尖端巨型疾病)的诊断和治疗,请参见最新信息,例如国内外指南,请参阅最新信息。
药代动力学
- 1. *生物等效测试
- Bromo夹板片剂2.5 mg的“脚趾”和标准配方是通过跨界方法(2.5 mg作为Bromo夹蛋白)进行的,以测量血浆中单个口腔器官(n = 16)中的未平面物体浓度。因此,通过对获得的药物体参数(AUC,CMAX)的统计分析,确认了两种药物的生物当量(基于1980年5月30日的718号药品修订版) 。


- 血浆浓度和参数(例如AUC和CMAX)可能会根据测试条件(例如选择受试者的选择,收集体液的时间数量等)而有所不同。
- 2. *洗脱行为
- Bromo Clipin片剂2.5 mg“ TOA”已被证实与日本药物药物标准2中设置的溴烯酸酯麦甲酸酯片的洗脱标准兼容。
有关活性成分的物理和化学知识
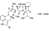
结构公式:
一般名称:溴封然中脱毛另一个名称:溴烯丁烷丙二酸酯化学名称:(5 's )-2-bromo-12'-羟基-2' - (1-甲基乙基)-5' - (2-甲基丙基)麦角甘甘-3',6',6',18- trione单甲磺酸盐分子类型:C 32 H 40 BRN 5 O 5 ch 4 O 3 S分子量:750.70性:白色 - 薄黄色白色或棕色晶体粉,没有气味或略带独特的气味。它极为溶于乙酸(100),很容易溶于甲醇,略微溶于乙醇(95),极难溶于无水乙酸,二氯甲烷或氯仿,几乎不溶于水或dyslianeleeleezel。逐渐被光着色。处理的预防措施
稳定性测试估计使用最终包装产品(40°C,相对湿度为75%,6个月)的加速测试估计在正常市场分布下它们的三年稳定。包装
- * Blomocryptine片2.5mg“ Towa” :100片,1000片(PTP)
主要文献和文档请求目的地
主要文献
- 1)
- Towa Pharmaceutical Co.,Ltd。在 - 房屋材料:生物等效测试
- 2)
- Towa Pharmaceutical Co.,Ltd. -House Material:Ernuon测试
- 3)
- Towa Pharmaceutical Co.,Ltd。在房屋材料中:稳定性测试
文献请求 /产品信息查询
- 请索取主要文献(包括在房屋材料中)。
- Towa Pharmaceutical Co.,Ltd.学术部DI中心(24小时接待)
- 2.11,Shimbashi-Cho,Kadoma-Shi,大阪571-8580 Kadoma City,Osaka县
0120-108-932电话06-6900-9108传真06-6908-5797- http://www.towayakuhin.co.jp/forstaff
制造商等的姓名或名称和地址等。
- 制造和分销商
- Towa Pharmaceutical Co.,Ltd。
- KADOMA -SHI,大阪2nd No. 11 Shimbashi -Cho