4006 776 356
免费咨询 9:00-18:00
获取国外Blomocryptine片2.5 mg“ F”jazh-CN药品价格,使用等信息,最快 24 小时回馈
出境医 / 海外药品 / Blomocryptine片2.5 mg“ F”jazh-CN
Blomocryptine片2.5 mg“ F”jazh-CN
1990年7月
Blomocryptine片2.5 mg“ F”
创建或修订年
- ** 2019年8月修订(第16版)
- *修订2016年1月
日本标准产品分类编号
- 871169
医学分类名称
- 可持续多巴胺演员
批准,等等
- 销售名称
- Blomocryptine片2.5 mg“ F”
销售名称代码
- 1169005F1278
批准 /许可号码
- 批准编号
- 22500AMX01908
药品价格标准日期
- 2014年4月
销售日期
- 1990年7月
储蓄,到期日期等
- 储蓄
- 阴影 /室温保存(请参阅“处理预防措施”的部分)
- 截止日期
- 在外盒子上显示(3年)
法规类别
- 阳性药物
- 处方药)
- 注意 - 由医生的处方等处方。
作品
- 有效成分
- 日本甲甲酸酯
- 包括(1片中的)
- 2.87毫克(2.5mg作为Bromo夹)
- 添加剂
- 乳糖羟基,低替代羟基丙糖,烟酸,硬脂酸镁,轻度氢酸
特点
- 颜色 /动态形状
- 一个白色圆形骗子锁,一侧有一个分区
- 外形

- 尺寸
- 直径:7mm
厚度:2.8mm
质量:140mg - 识别码(PTP表)
- FJ B25
一般名称
- 溴晶麦甲酸酯片
限制(请勿对下一个患者进行管理)- 1。
- 对这种药物或小麦角生物碱成分过敏的患者
- 2。
- 怀孕高血压综合征的患者[表达同事,脑血管疾病,心脏病发作和高血压的风险很高。这是给出的
- 3。
- a摄提取中的高血压患者(请参见第2节)
- 四个。
- echiko测试可能会导致已经确认心脏瓣膜增厚,心脏瓣膜和心脏膜病变的患者,例如狭窄和其他随附的狭窄。这是给出的
|
功效或效果
- 抑制脂肪牛奶分泌,泄漏
- 高催乳素排卵障碍
- 高催乳素血液垂体(仅在不需要手术治疗时)
- Einal增生,垂体巨人疾病
- 帕金森综合症
用法和剂量
- 抑制脂质汁的分泌,泌乳过化的增生性增生性排卵障碍高催乳素垂体腺瘤(仅在需要手术治疗时)
- 通常,每天以2.5 mg的速度作为Bromo夹蛋白进行一次,同时逐渐从5.0 mg增加到7.5 mg,并在食物后立即将其分为2-3次,并在食物后立即进行口服给药。
此外,根据年龄和症状,它将适当地增加或减少。 - Einal增生,垂体巨人疾病
- 通常,每天2.5毫克至7.5毫克每天分为2-3次,为Bromo夹蛋白,进食后立即口服。
此外,根据年龄和症状,它将适当地增加或减少。 - 帕金森综合症
- 通常,早餐后立即从口服给药1.25 mg或2.5毫克的Bromo夹子开始,每天增加2.5 mg,持续1或两周,并保持维护(标准15.0至22.5 mg每天)。规定。
如果每日金额为5.0毫克作为Bromo夹子,则在早餐和晚餐后立即将其分为口服管理,如果是7.5毫克或更多。
此外,根据年龄和症状,它将适当地增加或减少。
使用预防措施
谨慎的管理
(请小心地给下一个患者管理)
- 1。
- 垂体肿瘤在土耳其鞍座之外进展,患有明显的末期增生(尖端巨人)和垂体巨大疾病(如视觉障碍)的患者是首选。这是给出的
- 2。
- **垂体肿瘤在土耳其鞍座外进行,并且具有明显高催乳素山酸弥多酸腺瘤的患者(例如视觉障碍)可能会导致腺瘤纤维瘤。还据报道,脑脊液鼻腔肿瘤被发现或由于肿瘤收缩而复发的视野障碍。 ](请参阅有关“重要基本预防措施”的部分)
- 3。
- 孕妇或可能怀孕的妇女(请参阅“孕妇,妇产科,哺乳妇女等行政”部分
- 四个。
- 肝损伤或其病史的患者[该药物主要由肝脏代谢。据报道肝功能障碍。这是给出的
- 五。
- 据报道,具有病史的消化溃疡或患者已经恶化。这是给出的
- 6。
- 雷诺病患者[雷诺症状恶化。这是给出的
- 7。
- 精神科或其患者病史[据报道,精神症状恶化。这是给出的
- 8。
- 严重的心血管疾病或患有其病史的患者[心脏病发作,脑血管疾病等都出现在国外。这是给出的
- 9。
- Nephe病,或具有病史病史的患者,[血压突然降低可能会降低肾脏血压。这是给出的
重要的基本预防措施
- 1。
- 请注意不要从事驾驶汽车(例如驾驶汽车)的机器操作,例如大量血压下降,没有前体的突然睡眠以及没有前体的睡眠。
- 2。
- 该药物的给药应从少量开始,并完全观察血压,血液学检查等,并仔细地增加维护量的数量。
- 3。
- 在泌乳或高催乳素排卵障碍的情况下,对土耳其马鞍进行测试是在给药开始之前进行的。
- 四个。
- **在土耳其鞍座以外进展的高催乳素垂体腺瘤的患者中,可能会导致这种药物导致腺瘤术导致药物。在某些情况下,采取适当的措施,例如体重减轻或中断。
- 五。
- **在具有视野障碍的高催乳素垂体腺体的患者中,该药物的给药缩小了,一旦视觉场疾病得到改善,视觉屁股被土耳其鞍座的空心所挖空。报道说,通过引入视觉障碍再次出现。如果发现异常,请采取适当的措施,例如减肥或中断。
- 6。
- *在抑制小狗牛奶分泌时,应仅对死产或母亲的HTLV-1或HIV感染进行治疗。 (如果可以通过冰法抑制牛奶分泌,请勿管理。)
- 7。
- 在抑制脂肪牛奶分泌的过程中,必须一起使用诸如冰法的辅助方法。
- 8。
- 在抑制脂肪泌乳的分泌以抑制尿液时,必须在分娩,呼吸,脉搏,血压等后进行给药。此外,在给药期间(尤其是给药的第一天),应充分观察到,如果血压升高,头痛,中枢神经症状等,则应立即停止使用。
- 9。
- 左旋多巴或多巴胺受体参与者的给药具有病理赌博(尽管社会劣势的结果,例如个人生活的崩溃,但不断重复赌博的状态)。由于性损害的损害(例如,性购买和猖ramp),如果表达了这种症状,则应采取适当的措施,例如停止体重或取消。此外,解释了患者及其家人的这种障碍的症状。
- 十。
- **如果需要这种药物,则需要减少或取消,请逐渐减少它。突然的体重减轻或取消可能引起恶性综合征。此外,多巴胺受体的突然丧失或中断可能会导致药物戒断综合征(具有情感,焦虑,抑郁,疲劳,疲劳,出汗和疼痛等症状)。
相互作用
合并用途的注释
(请注意联合使用)
- 由于该药物由CYP3A4代谢并抑制这种药物,因此应谨慎对其进行施用,并与影响该酶活性的药物结合使用。
- 1。药物名称等。富有同情的刺激肾上腺素等。
大麦alcometrin甲基elgometrin麦角胺(麦芽胺)果酱- 临床症状 /度量方法
- 血压升高,头痛,抽筋等。特别是,当施用抑制嗜血性牛奶的分泌时,请注意分娩后的剂量,呼吸,脉搏,血压等,然后稳定。
- 机械 /危险因素
- 尽管该机制尚不清楚,但该药物被认为会影响这些药物的血管收缩作用和血压升高。
- 2。诸如药物名称的药物
- 临床症状 /度量方法
- 热情的影响可能会强烈。在开始时要特别小心。
- 机械 /危险因素
- 这种药物抑制外周交感神经结尾。
- 3。毒品名称酒精
- 临床症状 /度量方法
- 它可能导致胃肠道副作用和酒精耐受性。
- 机械 /危险因素
- 增强相互作用。
- 四个。药物名称等。基于芬诺津的药物氯促销等。
基于丁基烯的药物氟哌啶醇Spiperon,等等。
Iminoode苯甲酸药物Calpa质子蛋白等。
附着的抗精神病药pelospilon bronanuserin,等。- 临床症状 /度量方法
- 效果可以彼此减少。
- 机械 /危险因素
- 该药物是一种多巴胺激动剂,在这些药物和多巴胺受体中竞争竞争。
- 五。毒品名称等。反帕金森特工,左旋多巴咀嚼,基于桑登的药物等。
- 临床症状 /度量方法
- 可以增强精神病系统的副作用。
- 机械 /危险因素
- 增强相互作用。
- 6。环孢菌素克莫司,等。
- 临床症状 /度量方法
- 这些药物的血液浓度可能会增加。
- 机械 /危险因素
- 对CYP3A的竞争抑制受到这些药物的代谢抑制。
- 7。药物名称等。大环内酯类抗生素Ellislycin josamycin等。
HIV蛋白酶抑制剂Litonavir Sakinabil等
基于Azor的抗真菌剂Itlaconazole等。- 临床症状 /度量方法
- 该药物的作用可能会得到增强。
- 机械 /危险因素
- 对CYP3A的竞争抑制受到这种药物的代谢抑制。
- 8。药物名称等。Ocleotide
- 临床症状 /度量方法
- 据报道,该药物的AUC已经增加。
- 机械 /危险因素
- 该机制未知。
副作用
概述表达状态,副作用
- 该药物不进行调查,以阐明副作用的频率,例如用法调查。
严重的副作用
- 1.休克,血压突然降低,体位性低血压(频率未知)
- 突然的血压,体位性低血压可能会引起休克症状,例如恶心,呕吐,脸色苍白,汗水和晕厥,因此,如果发现您并发现异常,请取消给药。
- 2.综合征Malin (频率未知)
- 可能发生热热代,意识障碍,没有动态的货币,力量僵硬,吞咽困难,心动过速波动,血压波动,出汗的CK(CPK)等。如果出现这种症状,它将在管理的早期阶段被取消,如果持续给药剂量变化或取消,将在一次剂量返回剂量后仔细减少。采取适当的措施以及冷却的一般管理,水合等
- 3.胸膜炎,纸膜炎,胸膜纤维化,肺纤维化(频率未知)
- 可能会发生胸膜蝇,胸膜液,胸膜炎,胸膜炎,胸膜纤维化和肺纤维化,因此,如果出现胸痛,呼吸道症状等,请立即进行胸部X射线检查,并进行异常。采取适当的措施。特别是,长时间服用高剂量的患者可能会增加表达风险。
- 4.心脏(频率未知)
- 由于可能会出现心脏病,因此有必要进行足够的观察,如果发生心脏噪声的表达或加剧,请立即进行胸部X射线检查,回声测试等。如果发现心脏瓣膜厚度,心脏瓣膜和心脏瓣膜的病变,例如伴随的狭窄,则必须停止使用并进行适当的治疗。特别是,长时间服用高剂量的患者可能会增加表达风险。
- 5.后来的腹膜纤维化(频率未知)
- 由于已经报道了后腹膜纤维化,因此应充分观察到,如果腰痛,下肢水肿,肾功能障碍等出现,请停止给药并采取适当的措施。特别是,长时间服用高剂量的患者可能会增加表达风险。
- 6.谬论 /妄想,妄想,混乱(频率未知)
- 霍尔(Hall)抚摸,妄想,妄想和混乱可能会出现,因此在这种情况下,采取了适当的措施,例如减肥或药物休息。
- 7.胃肠病学出血,胃 /十二指肠溃疡(频率未知)
- 在胃肠道出血的情况下,胃和十二个肠溃疡的表达或胃 /十二指肠溃疡的恶化,在这种情况下,停止给药并采取适当的措施。
- 8.庆祝,脑血管疾病,心脏病发作,高血压(频率未知)
- 由于已经报道了Crenes,脑血管疾病,心脏病发作,高血压等。
- 9.突然的睡眠(频率未知)
- 在这种情况下,应采取适当的措施,例如减肥,给药的取消等,因为可能没有前体的突然睡眠。
另一个副作用
- 高敏性注1)
- 未知频率
- 皮疹
- 精神科
- 未知频率
- 轴2) ,焦虑插入2) ,失眠2) ,头痛注2 ),运动障碍2) ,化学,鼻子闭合,能量减少,冲动控制(病理赌博,改善病理性欲望),耳鸣,睡眠,幻觉,幻觉
- 眼睛
- 未知频率
- 视觉异常2) ,基里镜头
- 肝脏注3)
- 未知频率
- AST(GOT),ALT(GPT),ALP
- 心血管
- 未知频率
- 头晕,头晕,呼吸症,血压,体位性低血压,胸部不适,水肿,脸部flen,晚上腰部,以及由于寒冷而寒冷而冷的手指。
- 消化器官
- 未知频率
- 顽皮,呕吐,便秘,厌食,胃痛,腹痛,胃部不适,胸部,腹胀,腹泻,干嘴干
- 泌尿科
- 未知频率
- 尿失禁
- **其他人
- 未知频率
- 贫血,忽视,脱毛,在皮带下增加,麻木,呼吸困难,疲劳,药物戒断综合征4)
- 注意1)在这种情况下,停止管理。
- 注2)在这种情况下,采取适当的措施,例如停用管理。
- 注意3)如果对观察进行了充分的观察并发现异常,请停止给药。
- **注意4)如果发现异常,应采取适当的措施,例如恢复给药或在体重减轻前恢复剂量。
老年人的管理
- 通常,重要的是要注意老年人,因为生理功能降低了。
管理孕妇,妇产科妇女等。
- 1.女性管理
- (1)
- 当这种药物长时间使用时,会抑制催乳素分泌并可能发生妇科异常,因此进行常规的妇科。 (请参阅“其他预防措施”部分)
- (2)
- 向不想怀孕的患者教避孕。
- (3)
- 在为想要怀孕的患者服用该药物时,应进行定期检查,例如怀孕反应,以及早发现怀孕。
- (四)
- 如果由于高催乳素排卵障碍而导致该药物的妊娠确认,请立即停止给药。在垂体腺体瘤患者中,垂体腺体可能发生在怀孕期间,因此请注意表明腺瘤扩大(头痛,视觉狭窄等)的症状,这些症状在取消该药物后被完全观察到。
- 2.孕妇管理
- 对于可能怀孕的孕妇或妇女,只有确定治疗超过危险的治疗时才进行管理。 [尚未确定怀孕期间的管理安全。这是给出的
- 3.行政哺乳女性
- (1)
- 不要给想要母乳喂养的母亲使用这种药物。 [这种药物抑制了牛奶分泌。这是给出的
- (2)
- 这种药物不允许转移到母乳上。
给儿童的管理等
- 尚未建立低出生体重,新生儿,婴儿,婴儿或儿童的安全性(经验更少)。
过量
- 体征,症状:
- 顽皮,呕吐,头晕,低血压,矫形性低血压,心动过速,睡眠,超梯度,幻觉,机构发烧等。
- 行动:
- 使用一般治疗方法(呕吐,胃清洁,活性碳,盐液等)和有症状治疗。
适用的预防措施
- 在毒品时
- PTP包装药物应从PTP纸中取出并教给它。 (据报道,PTP纸的难度 - 远处的尖锐角刺入食管粘膜中,进一步引起穿孔并引起严重的并发症,例如纵隔炎)。
其他预防措施
- 1。
- 已经在动物实验(大鼠)中报道了子宫肿瘤长期批量施用的一个例子。
- 2。
- 为了诊断和治疗垂体增生(尖端巨人),垂体巨型疾病和高催乳素垂体腺体,请参阅最新信息,例如家庭和海外指南。
药代动力学
- 生物当量测试(动物)
- Bromo Clipin片剂2.5 mg“ F”和3片(7.5 mg作为Bromo夹蛋白)Nippon -White Seeds(7.5 mg)Nippon -White Seeds Rabbits兔子单独施用到兔子上,以测量血清溴克素的浓度参数(AUC,(AUC)。由于统计分析CMAX),确认了两种药物的生物等效性。 1)

- 洗脱行为
- 已经证实,溴晶片2.5 mg“ F”符合Bromo Clipemy麦西利酸盐片的洗脱标准,该标准在Nippon Pharmaceutical Pharmaceutical Pharmaceutical Standard 3中。 2)
药物
- *丙烯酸酯是多巴胺D 2受体。在临床上, D2受体刺激效应用于帕金森氏病的初始治疗。此外, D2受体刺激剂抑制催乳素分泌,内骨肥大的患者可能抑制生长激素分泌,因此可以在临床上使用这些作用。 3)
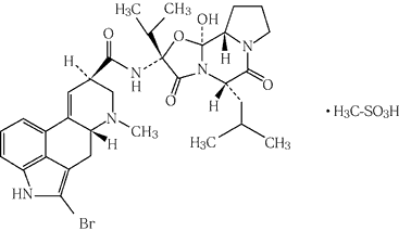
有关活性成分的物理和化学知识
- 通用名称
- 溴ocriptine中脱酸酯
- 化学名称
- (5 's )-2-bromo-12'-羟基-2' - (1-甲基乙基)-5' - (2-甲基丙基)麦戈甘-3',6',6',18- trione单甲磺酸盐
- 结构公式

- 分子
- C 32 h 40 brn 5 o 5 ch4 o 3 s
- 分子量
- 750.70
- 特点
- 它是白色的,显微镜黄色白色或棕色白色晶体粉,闻起来或略带特殊。
它极为溶于乙酸(100),很容易溶于甲醇,略微溶于乙醇(95),极难溶于无水乙酸,二氯甲烷或氯仿,几乎不溶于水或dyslianeleeleezel。
逐渐被光着色。
处理的预防措施
- 1。
- 打开后,将其阴影并保存,同时避免水分。
- 2.稳定性测试
- 由于使用最终包装产品(室温,湿度,阴影,阴影,3年)进行长期保存测试的结果,外观和内容在标准范围内,而溴连接片片剂2.5 mg” F”处于正常的市场分布状态。已确认它稳定了三年。四)
包装
- 100片(PTP),500片(PTP)
主要文献和文档请求目的地
主要文献
- 1)
- 富士制药有限公司(Fuji Pharmaceutical Co.
- 2)
- Fuji Pharmaceutical Co.,Ltd。在房屋材料(洗脱行为)
- 3)
- *第16修正案日本药房描述(Hirokawa Shoten)C-4369(2011)
- 四)
- 富士制药有限公司(Ltd。)在房屋材料(稳定性测试)
文学要求
- 请在主要文档中描述的房屋材料中索取以下内容。
富士制药有限公司 - 1515 Mizuhashi Tsujigado,Toyama City,Toyama县,939-3515
- (电话)076-478-0032
- (传真)076-478-0336
制造商等的姓名或名称和地址等。
- 制造和分销商
- 富士制药有限公司
- 1515年米津岛TSUJIGADO,工专业县县县