4006 776 356
免费咨询 9:00-18:00
获取国外Pelgolide片剂50μg“ VTR” / Pergoride片剂250μg“ VTR”jazh药品价格,使用等信息,最快 24 小时回馈
出境医 / 海外药品 / Pelgolide片剂50μg“ VTR” / Pergoride片剂250μg“ VTR”jazh
Pelgolide片剂50μg“ VTR” / Pergoride片剂250μg“ VTR”jazh
2004年7月
** Pergorid片剂50μg“ VTR” / ** Pergoride片250μg“ VTRS”
创建或修订年
- **于2022年4月修订(第17版)
- * 2019年8月修订
日本标准产品分类编号
- 871169
医学分类名称
- 多巴胺D 1 ,D 2操作帕金森氏病治疗剂
批准,等等
- 销售名称
- ** Pergorid片剂50μg“ VTR”
销售名称代码
- 1169008F1093
批准 /许可号码
- 批准编号
- 22600AMX00216
- 商标
- pergolide片
药品价格标准日期
- ** 2022年4月
销售日期
- 2004年7月
储蓄,到期日期等
- 储蓄
- 室温保存
- 截止日期
- 最后一年在外部盒子等上进行了描述(请参阅处理预防措施)
法规类别
- 阳性药物
- 处方药)
- 注意 - 由医生的处方等处方。
作品
- 一台平板电脑:
有效成分 - 65.3μg苯乙酸丙二酯
(50μg作为牙齿植物) - 添加剂
- 结晶纤维素,乳糖氢,tomolo koshidemin,羟基丙糖,氨基烷基元元素Chopolimer E,共聚物L,Calmelo-Charcium,L-Methionine,L-Methionine,黄色322氧化物322氧化物,硬脂酸镁。
特点
- 外表面

- 下侧

- 边

- 长期直径
- 11.7mm
- 直径短
- 6.4mm
- 厚度
- 3.8毫米
- 重量
- 300mg
- 识别代码
- MH792
- 色调,等等
- 带线的淡黄色裸露锁
- 销售名称
- ** Pergoride片250μg“ VTR”
销售名称代码
- 1169008F2090
批准 /许可号码
- 批准编号
- 22600AMX00215
- 商标
- pergolide片
药品价格标准日期
- ** 2022年4月
销售日期
- 2004年7月
储蓄,到期日期等
- 储蓄
- 室温保存
- 截止日期
- 最后一年在外部盒子等上进行了描述(请参阅处理预防措施)
法规类别
- 阳性药物
- 处方药)
- 注意 - 由医生的处方等处方。
作品
- 一台平板电脑:
有效成分 - 327μg-丙二酸酯梅赛酸酯
(250μg作为牙膜) - 添加剂
- 晶体纤维素,乳糖氢,Tomolo koshidemin,羟基先知,氨基烷基Metacrate共聚物E,Co -Polymer L,Carmelicoscalcium,Carmelicoscalcium,Copper Chloroflin ninatium,黄色Trinoxide,黄色Trinoxide,Stearlin。
特点
- 外表面

- 下侧

- 边

- 长期直径
- 11.7mm
- 直径短
- 6.4mm
- 厚度
- 3.8毫米
- 重量
- 300mg
- 识别代码
- MH793
- 色调,等等
- 带有电线的薄绿色裸锁
一般名称
- 贝尔戈利酯梅赛片
限制(请勿对下一个患者进行管理)- 1。
- 过去对小麦天使制剂过敏的患者
- 2。
- echiko测试可能会导致已经确认心脏瓣膜增厚,心脏瓣膜和心脏膜病变的患者,例如狭窄和其他随附的狭窄。 (请参阅“重要基本预防措施”的部分)]
|
功效或效果
- 帕金森氏病
与效果相关的使用预防措施
- 它仅适用于非淋浴天使制剂的治疗作用不足或忍者有问题的患者。 [请参阅“重要的基本预防措施”和“副作用”]
用法和剂量
- 该药物通常与L-DOPA制备结合使用。
通常,晚餐后立即每天一次服用50μg一次。之后,每两三天每天将每天增加50μg50μg,在第一个周末将施用150μg。
第二周从300μg作为每日剂量开始,每天两天或每三天增加150μg乘以150μg。在第二个周末,将以每日剂量为600μg。如果每天剂量为100μg,早餐和晚餐后立即将口服给药分为口服,每天的剂量为150μg或更多。
第三周从每天的剂量为750μg,然后在考虑有效性和安全性的同时增加数量以及维护量(每天标准750至1250μg)。
上面指定的剂量提高速度应适当提高或减少,具体取决于随附的症状,年龄等。
与使用和剂量有关的预防措施
- 1。
- 该药物的给药应从少量开始,并完全观察到消化症状(恶心,呕吐等),血压等,并仔细地增加维持量的数量。
- 2。
- 服用这种药物时可能会出现幻影。此外,服用这种药物很长时间并突然停止管理的患者可能会引起幻觉,因此他们会逐渐减少。
使用预防措施
谨慎的管理
(请小心地给下一个患者管理)
- 1。
- 精神科或过去的患者[多巴胺受体活性可能会恶化幻觉,妄想等,这是精神分裂症的症状。这是给出的
- 2。
- 根据心律不齐或过去的患者,据报道,per -pertrium和捐赠心动过速的病例有所增加。这是给出的
- 3。
- 胸膜炎,胸腔积液,胸膜纤维化,牙髓纤维化,肺纤维化,辣椒炎,果皮虫,沃尔奇,后腹膜后纤维化或阳性患者(尤其是表达了这些疾病和症状,在大麦底漆的给药过程中。这是给出的
- 四个。
- 肝病或患有病史的患者[没有足够的安全数据。这是给出的
- 五。
- 肾细胞或其病史的患者[肾脏疾病等症状可能恶化。这是给出的
- 6。
- 老年人[请参阅“老年人行政”部分]
- 7。
- 雷诺病患者[可能恶化周围血管疾病。这是给出的
重要的基本预防措施
- 1。
- 与非小麦天使制剂相比,在包括这种药物在内的大麦配方术期间,有许多关于心血管疾病和纤维化的报道,因此,这种药物是一名医生,他对帕金森氏病有足够的知识和经验。考虑管理过程中的风险和福利。 [请参阅“副作用”部分]
- 2。
- 心脏膜可能会出现在该药物的长期服用中,因此在给药之前或执行足够的观察过程中进行以下测试。此外,在某些情况下,由于消除了给药而进行了改善。
- (1)
- 在这种药物的开头,有必要通过观察身体发现(例如主持和超声心动图)来确认是否患有潜在的心脏病。
- (2)
- 在使用该药物期间,应在给药开始后的3至6个月内,至少每6至12个月内进行心脏回声测试。如果通过回声测试观察到心脏瓣膜增厚,心脏限制限制和心脏瓣膜(如狭窄)(如狭窄)的病变(如狭窄)等,则应停止使用该药物的给药。定期执行足够的观察(例如听诊器,胸部X -rays,CT等)。 [请参阅“副作用”部分]
- 3。
- 由于可能会发生纤维化,因此应适当地进行足够的观察(物理发现,X -rays,Heart Echo,CT等)。 [请参阅“副作用”部分]
- 四个。
- 由于可能发生间质性肺炎,如果患者充分观察到患者,并且患者发烧,咳嗽,呼吸困难等。在服用该药物期间,请服用这种药物。取消并指示立即接触。 [请参阅“副作用”部分]
- 五。
- 由于可以看到位置或可持续性的位置,因此该药物的给药应少量从少量开始,完全观察血压等,并仔细管理。
- 6。
- 请注意不要从事危险的任务,例如开车或在高处工作,因为可能会突然睡觉没有前体。
- 7。
- 左旋多巴或多巴胺受体参与者的给药具有病理赌博(尽管社会劣势的结果,例如个人生活的崩溃,但不断重复赌博的状态)。由于性损害的损害(例如,性购买和猖ramp),如果表达了这种症状,则应采取适当的措施,例如停止体重或取消。此外,解释了患者及其家人的这种障碍的症状。
- 8。
- *如果需要这种药物减少或取消,请逐渐减少。突然的体重减轻或取消可能引起恶性综合征。此外,多巴胺受体的突然丧失或取消可能导致药物戒断综合征(情绪,焦虑,抑郁,疲劳,疲劳,出汗和疼痛等症状的特征)。
相互作用
合并用途的注释
(请注意联合使用)
- 1。诸如药物名称的药物
- 临床症状 /度量方法
- 血压可能会降低。
- 机械 /危险因素
- 由于该药物具有降压作用,因此有可能增强血压药物的作用。
- 2。多巴胺拮抗剂等。多巴胺拮抗剂,基于现象阳极的药物丁二龙的药物Metocrplamide等
- 临床症状 /度量方法
- 该药物的作用可能会减少。
- 机械 /危险因素
- 该药物是多巴胺演员。
- 3。发现会影响蛋白质组合的药物,例如药物名称
- 临床症状 /度量方法
- 该药物的作用可能会得到增强。
- 机械 /危险因素
- 在该药物中,超过90%与血浆蛋白结合,因此非结合血液浓度可能会增加。
副作用
概述表达状态,副作用
- 该药物不进行调查,以阐明副作用的频率,例如用法调查。
严重的副作用
- *由于可能会出现以下严重的副作用,因此有必要采取足够的观察并采取适当的措施,例如如果发现异常,停止给药。
- 1.综合征Malin (频率未知)
- 高烧,意识障碍,高肌肉僵硬,无限期运动,血清CK(CPK)上升。在给药的早期阶段,取消它,在持续给药的情况下,在取消情况下进行更改或取消,然后仔细减少并采取适当的措施,例如身体冷却和水合。物质。
- 2.间质性肺炎(频率未知)
- 如果出现发烧,咳嗽,呼吸困难或异常肺部声音(扭曲声音),请立即进行胸部X射线检查,如果发现异常,则停用了管理,并且停用了肾上腺皮质激素。采取适当的措施。采取适当的措施作为药物管理。
- 3.胸膜炎,胸膜积液,胸膜纤维化,肺纤维化,木瓜,心包渗出症(频率未知)
- 如果出现胸痛,呼吸道症状等,请立即进行胸x检查,如果发现异常,请停止给药,并采取适当的措施。
- 4.心脏(频率未知)
- 定期执行足够的观察(听诊器等,胸部X -rays,CT等),如果发生心脏噪声的表达或加剧,则立即执行胸部X-射线检查,回声测试等。 。如果发现心脏瓣膜厚度,心脏瓣膜和心脏瓣膜的病变,例如伴随的狭窄,则必须停止使用并进行适当的治疗。
- 5.后来的腹膜纤维化(频率未知)
- 由于已经报道了后腹膜纤维化,因此应充分观察到,如果腰痛,下肢水肿,肾功能障碍等出现,请停止给药并采取适当的措施。
- 6.突然的睡眠(频率未知)
- 在这种情况下,可能会出现突然没有前体的睡眠,因此在这种情况下,停止或减少给药并采取适当的措施。
- 7.谬论,妄想,妄想(频率未知)
- 8.肠梗阻(频率未知)
- 9.意识障碍,晕厥(频率未知)
- 可能会出现过多的血压,并且可能出现过多的意识和晕厥。
- 10.肝功能障碍,黄疸(频率未知)
- 肝功能障碍和黄疸,可能会出现AST(GOT),ALT(GPT),γ-GTP等的上升。
- 11.血小板还原(频率未知)
另一个副作用
- 1.超敏反应注1) (未知频率)
- 皮疹,红斑等
- 2.精神和神经系统2) (频率未知)
- 精神症状,例如焦虑,兴奋,沮丧,头晕,头晕,头晕,头晕,头晕,强壮,饥饿,ne弱,笨拙的头,愚蠢的头,徘徊,徘徊,夜晚,夜晚,夜间发音,沮丧等。四肢麻木,物质,动员,动力学,肌张力障碍,味觉障碍,骨痉挛,刚性等等。
- 3.消化(频率未知)
- 顽皮,呕吐,不适,胃灼热,厌食,便秘,干燥,胃痛,流行性疼痛,腹胀,腹部,腹泻,消化溃疡等。
- 4.肝脏注2) (未知频率)
- 肝功能异常(AST(GOT),ALT(GPT),Al-P,γ-GTP,LDH,Billirubin)
- 5.心血管(频率未知)
- 雷诺现象,凝视和矫形性低血压,呼吸症,心律不齐,心动过缓,压力升高,血压升高,血压降低
- 6.呼吸道(频率未知)
- 打ic,呼吸困难,呼吸急促,鼻子闭合
- 7.血液注2) (频率未知)
- 白细胞减少,血小板减少,贫血
- 8.肾脏注2) (频率未知)
- 面包上升,肌酐上升,水肿,尿液蛋白,尿液隐秘血液
- 9.泌尿科(频率未知)
- 尿液障碍,尿封闭,尿失禁
- 10. *其他(频率未知)
- 吞咽肺炎,发烧,CK(CPK),疼痛,红色疼痛(肢体肿胀,伴有疼痛肿胀),药物戒断综合征3) (情绪,焦虑,焦虑,抑郁,疲劳,疲劳,出汗,疼痛等),一般不适, ,弱点,激情,出汗 /冷汗,异常饮食,耳朵疼痛,脱发,视觉异常
- 注意1:如果发现症状(异常),请采取适当的措施,例如停用。
- *注2:如果发现症状(异常),请在必要时停止或减少给药并采取适当的措施。
- *注3:如果发现异常,请采取适当的措施,例如恢复给药或在减肥前恢复剂量。
老年人的管理
- 该药物主要在肝脏中代谢,但是在老年人中,肝功能通常会降低,因此高血分浓度可能会持续,因此在观察患者的病情的同时,同时注意剂量。
管理孕妇,妇产科妇女等。
- 1。
- 一些在外国接受这种药物的妇女怀孕并在33例怀孕病例中生下了Kenji,但在6例怀孕案件中,据报道先天性异常(3例和3例和3例)。不得对可能怀孕的孕妇或妇女进行管理。
- 2。
- 尽管未知是否存在人类果汁转移,但它可能会抑制药理学作用的牛奶分泌。此外,需要这种药物的妇女不得母乳喂养,因为尚未确定婴儿的安全。
给儿童的管理等
- 尚未确定儿童的安全性(没有经验)。
过量
- 体征,症状
- 呕吐,低血压,一次有意每次服用60毫克的患者以及每天意外服用19毫克三天的患者,代替每天7毫克,严重的幻觉,进一步的幻觉。患者。无意中给予7毫克而不是0.7毫克处方量的呼吸愉快,低血压和心室周期收缩。
- 治疗
- 通过呼吸和心血管监测器进行典型的支持疗法,还考虑了活性炭的使用。在许多情况下,它比呕吐和胃清洁更有效。还考虑了抗心律失常剂,现象和基于丁基烯的抗精神病药。透析和血液灌注的影响尚未建立。
适用的预防措施
- 1。
- 据报道,在该药物的动物测试中已经识别出眼睛刺激和吸入毒性,并且在这种药物粉碎过程中识别出刺激,异常气味,头部重等。
为此原因, - (1)
- 避免压碎。
- (2)
- 该药物必须在服药之前从包装中取出。
- 2.在药物时
- PTP包装药物应从PTP纸中取出并教给它。据报道,食管粘膜的难度很难在食管粘膜上具有硬尖角,然后引起严重的并发症,例如纵隔炎。这是给出的
其他预防措施
- 1。
- 动物实验(大鼠和小鼠)报告说,长期大型给药以低率引起子宫内膜肿瘤。
- 2。
- 在用这种药物治疗期间,已经报道了未知原因的突然死亡。
- 3。
- 外国研究报告说,由于纤维化,每天高于3000μg的剂量更有风险。
药代动力学
- 1.生物当量测试
- (1) Pelgolide Lock50μg“ VTR” 1)
- 通过跨界方法(50μg作为pergoride)(50μg作为pergoride)的pelgolide片剂和标准配方50μg“ VTR”和标准配方,一片片剂(50μg作为pergoride)健康的成年男孩已被施用至单个禁食时期,以测量血浆中的pelgolide浓度,以及获得的药物体参数。由于90%的置信区法律对AUC和C MAX的统计分析,它在log(0.80)到log(1.25)的范围内,两种药物的生物等效性是确认的。
(请参阅表1) 
血浆浓度和参数(例如AUC和C max)可能会根据测试条件(例如选择受试者的选择,少年的时间数量等)而有所不同。
- (2) Pergoride片250μg“ VTRS” 2)
- pelgolide片剂250μg“ VTR”和标准配方,1片(250μg作为pergolide)通过跨界方法(250μg作为塞孔甘醇)健康的成年男孩在餐后对单个器官施用,以测量血浆中的pergolide浓度,并获得血浆中的pergolide浓度(AUC(AUC),由于90%置信区定律的统计分析,两种药物的生物等效性在log(0.80)与log(1.25)范围内得到了证实。
(请参阅表2) 
血浆浓度和参数(例如AUC和C max)可能会根据测试条件(例如选择受试者的选择,少年的时间数量等)而有所不同。
- 2.洗脱行为3,4)
- 已确认50μg“ VTR”和Pergoride片剂250μg“ VTRS”的Pelgolide片剂适用于Nippon Pharmaceutical Pharmaceutical Pharmaceutical Standards设置的Pelgolide Mesylate片剂的洗脱标准。
表格1
| 判断参数 AUC 0-72 (pg/hr/ml) | 判断参数 c最大 (pg/ml) | 参考参数 t max (HR) | 参考参数 T 1/2 (HR) |
| Pelgolide片剂50μg“ VTR” | 173.9±93.4 | 11.1±4.9 | 3.6±1.5 | 9.3±3.3 |
| 标准制备(片剂,50μg) | 164.6±82.4 | 11.7±5.8 | 2.9±1.1 | 8.8±3.4 |
(平均±标准偏差,n = 15)
表2
| 判断参数 AUC 0-72 (pg/hr/ml) | 判断参数 c最大 (pg/ml) | 参考参数 t max (HR) | 参考参数 T 1/2 (HR) |
| Pelgolide片剂250μg“ VTR” | 758.5±453.5 | 54.4±28.8 | 3.1±1.1 | 10.7±4.1 |
| 标准制备(片剂,250μg) | 736.0±365.2 | 52.6±22.3 | 3.6±1.3 | 9.0±1.4 |
(平均±标准偏差,n = 10)
药物
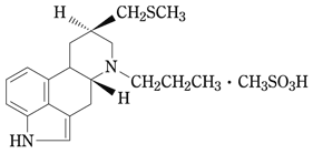
- Pelgolide麦甲酸酯是小麦角生物碱的致命衍生物,它通过直接刺激多巴胺d 1 ,d 2 2受体在中脑中的黑色质量体后直接刺激多巴胺神经系统的传播。它是。多巴胺受体刺激。
有关活性成分的物理和化学知识
- 通用名称
- pergoride中脱水
- 化学名称
- ( - )-8β-[((甲基硫)甲基] -6-磷酸单乙二醇
- 分子
- C 20 H 30 N 2 O 3 S 2
- 分子量
- 410.60
- 结构公式

- 特点
- 它是白色至细的黄色白色晶体或结晶粉。
N , N -N -N-二甲基Holm酰胺或甲醇很难溶于水或乙醇(99.5),几乎不溶于二乙醚。
0.01mol/L溶解在盐酸和甲醇混合物中(1:1)。
处理的预防措施
- 稳定性测试5,6)
- 由于加速度测试(40°C,相对湿度,75%,6个月),据推测,在正常的市场分布下,50μgpergoride片剂和250μgpergorid片稳定了三年。
包装
- Pelgolide片剂50μg“ VTRS”:100片(PTP)
- Pergoride片剂250μg“ VTR”:100片(PTP)
主要文献和文档请求目的地
主要文献
- 1)
- 在 - 房屋材料中:生物等效测试(Pelgolide片剂50μg“ VTR”)
- 2)
- 在 - 房屋材料中:生物等效测试(Pergolid片剂250μg“ VTR”)
- 3)
- 在 - 房屋材料中:Elgolide片剂50μg“ VTR”)
- 四)
- 在 - 房屋材料:Elgolide片剂250μg“ VTR”)
- 五)
- 在 - 房屋材料:稳定性测试(加速度测试)(Pelgolide Lock50μg“ VTR”)
- 6)
- 在 - 房屋材料:稳定性测试(加速度测试)(250μg“ VTR”)
文学要求
- **请在“主要文献”中描述的室内材料中要求以下内容。
Viatric Pharmaceutical Co.,Ltd。医疗信息部 - 5-11-2,Toranomon,Minato-KU,东京105-0001
- 免费拨号0120-419-043
制造商等的姓名或名称和地址等。
- **制造和分销商
- 我运行的EPD联合公司
- 5-11-2 Toranomon,Minato -KU,东京
- **分销商
- Vitris Pharmaceutical Co.,Ltd。
- 5-11-2 Toranomon,Minato -KU,东京