4006 776 356
免费咨询 9:00-18:00
获取国外50μgpelgolide片剂梅赛酸盐 / pelgolide片剂250μgpelgolide片剂j药品价格,使用等信息,最快 24 小时回馈
出境医 / 海外药品 / 50μgpelgolide片剂梅赛酸盐 / pelgolide片剂250μgpelgolide片剂j
50μgpelgolide片剂梅赛酸盐 / pelgolide片剂250μgpelgolide片剂j
2005年7月
50μgpelgolide片剂梅赛酸盐 / pelgolide片剂250μgpelgolide片剂
创建或修订年
- ** 2019年8月修订(第9版)
- *修订于2018年10月
日本标准产品分类编号
- 871169
医学分类名称
- 多巴胺D 1 ,D 2操作帕金森氏病治疗剂
批准,等等
- 销售名称
- 50μg“ Amel” Pelgolide片剂
销售名称代码
- 1169008F1050
批准 /许可号码
- 批准编号
- 21600AMZ00141
- 商标
- pergolide中脱酸盐
药品价格标准日期
- 2005年7月
销售日期
- 2005年7月
储蓄,到期日期等
- 储蓄
- 室温保存
- 截止日期
- 显示在包装盒中。
请勿使用已通过到期日期的产品。
法规类别
- 阳性药物
- 处方药
- 预防措施 - 通过医生等处方使用
作品
- 有效成分
- 在一个片剂中,65.3μg骨酸酯梅赛酸盐(50μg为牙齿)
- 添加剂
- D-甘露醇,羟丙基纤维素,横car Melo snatlium,Tiri 32氧化物,耐甘油镁
特点
- 药物
- 用电线锁
- 颜色
- 浅黄色
- 外部形状,大小等。

- 直径短
- 约6.3毫米
- 长期直径
- 约11.6毫米
- 厚度
- 约4.0mm
- 大量的
- 约300.0mg
- 识别代码
- KW572
- 销售名称
- 250μg“ Amel” Pelgolide片剂
销售名称代码
- 1169008F2057
批准 /许可号码
- 批准编号
- 21700AMZ00246
- 商标
- pergolide中脱酸盐
药品价格标准日期
- 2005年7月
销售日期
- 2005年7月
储蓄,到期日期等
- 储蓄
- 室温保存
- 截止日期
- 显示在包装盒中。
请勿使用已通过到期日期的产品。
法规类别
- 阳性药物
- 处方药
- 预防措施 - 通过医生等处方使用
作品
- 有效成分
- 一个片剂,327μg苯甲酸酯(250μg作为pergolide)
- 添加剂
- D-甘露醇,羟基磷脂,横car旋球snatrice,铁32氧化物,蓝色2号铝湖,硬脂酸镁
特点
- 药物
- 用电线锁
- 颜色
- 浅绿色
- 外部形状,大小等。

- 直径短
- 约6.3毫米
- 长期直径
- 约11.6毫米
- 厚度
- 约4.0mm
- 大量的
- 约300.0mg
- 识别代码
- KW573
一般名称
- 乙酰酸酯梅赛酸盐
限制(请勿对下一个患者进行管理)- 1。
- 过去对小麦天使制剂过敏的患者
- 2。
- 已经确认心脏瓣膜厚度,心脏瓣膜和随附的狭窄的患者,例如狭窄及其过去的患者[重要的基本(“重要基本))请参见“ Note”。这是给出的
|
功效或效果
- 帕金森氏病
与效果相关的使用预防措施
- 它仅适用于非淋浴天使制剂的治疗作用不足或忍者有问题的患者。 [请参阅“重要的基本预防措施”和“副作用”]
用法和剂量
- 该药物通常与L-DOPA制备结合使用。
通常,晚餐后立即每天一次服用50μg一次。之后,每两三天每天将每天增加50μg50μg,在第一个周末将施用150μg。
第二周从300μg作为每日剂量开始,每天两天或每三天增加150μg乘以150μg。在第二个周末,将以每日剂量为600μg。如果每天剂量为100μg,早餐和晚餐后立即将口服给药分为口服,每天的剂量为150μg或更多。
第三周从每日剂量为750μg,然后在考虑疗效和安全性的同时增加数量,并确定维护量(每天标准750至1250μg)。
上面指定的剂量提高速度应适当提高或减少,具体取决于随附的症状,年龄等。
与使用和剂量有关的预防措施
- 1。
- 该药物的给药应从少量开始,并完全观察到消化症状(恶心,呕吐等),血压等,并仔细地增加维持量的数量。
- 2。
- 服用这种药物时可能会出现幻影。此外,服用这种药物很长时间并突然停止管理的患者可能会引起幻觉,因此他们会逐渐减少。
使用预防措施
谨慎的管理
(请小心地给下一个患者管理)
- 1。
- 精神科或过去的患者[多巴胺受体活性可能会恶化幻觉,妄想等,这是精神分裂症的症状。这是给出的
- 2。
- 根据心律不齐或过去的患者,据报道,per -pertrium和捐赠心动过速的病例有所增加。这是给出的
- 3。
- 胸膜炎,胸腔积液,胸膜纤维化,牙髓纤维化,肺纤维化,辣椒炎,果皮虫,沃尔奇,后腹膜后纤维化或阳性患者(尤其是表达了这些疾病和症状,在大麦底漆的给药过程中。这是给出的
- 四个。
- 肝病或患有病史的患者[没有足够的安全数据。这是给出的
- 五。
- 肾细胞或其病史的患者[肾脏疾病等症状可能恶化。这是给出的
- 6。
- 老年人[请参阅“老年人行政”部分]
- 7。
- 雷诺病患者[可能恶化周围血管疾病。这是给出的
重要的基本预防措施
- 1。
- 与非小麦天使的制剂相比,在给药pelgolyide麦甲酸酯期间有许多关于心脏方言辩证疾病和纤维化的报道,因此是医生在帕金森氏病的药物治疗方面具有足够的知识和经验。行政管理继续期间的风险和福利。 [请参阅“副作用”部分]
- 2。
- 心脏膜可能会出现在该药物的长期服用中,因此在给药之前或执行足够的观察过程中进行以下测试。此外,在某些情况下,由于消除了给药而进行了改善。
- (1)
- 在这种药物的开头,有必要通过观察身体发现(例如主持和超声心动图)来确认是否患有潜在的心脏病。
- (2)
- 在使用该药物期间,应在给药开始后的3至6个月内,至少每6至12个月内进行心脏回声测试。如果通过回声测试观察到心脏瓣膜增厚,心脏限制限制和心脏瓣膜(如狭窄)(如狭窄)的病变(如狭窄)等,则应停止使用该药物的给药。此外,定期执行足够的观察(例如听诊器,胸部X -rays,CT等)。 [请参阅“副作用”部分]
- 3。
- 由于可能发生纤维化,因此应在此药物期间适当地进行足够的观察(物理发现,X -rays,Heart Echo,CT等)。 [请参阅“副作用”部分]
- 四个。
- 由于可能发生间质性肺炎,如果患者充分观察到患者,并且患者发烧,咳嗽,呼吸困难等。在服用该药物期间,请服用这种药物。取消并指示立即接触。 [请参阅“副作用”部分]
- 五。
- 由于可以看到位置或可持续性的位置,因此该药物的给药应少量从少量开始,完全观察血压等,并仔细管理。
- 6。
- 请注意不要从事危险的任务,例如开车或在高处工作,因为可能会突然睡觉没有前体。
- 7。
- 左旋多巴或多巴胺受体参与者的给药具有病理赌博(尽管社会上的劣势,例如个人生活的崩溃,但在不断重复赌博的状态下),因为性行为损害(例如性行为购买和猖ramp),如果表达了这种症状,则应采取适当的措施,例如停止体重或取消。此外,解释了患者及其家人的这种障碍的症状。
- 8。
- **如果需要这种药物,则需要减少或取消,请逐渐减少它。突然的体重减轻或取消可能引起恶性综合征。此外,多巴胺受体的突然丧失或取消可能导致药物戒断综合征(情绪,焦虑,抑郁,疲劳,疲劳,出汗和疼痛等症状的特征)。
相互作用
合并用途的注释
(请注意联合使用)
- 具有降压作用的药物,例如药物名称
- 临床症状 /度量方法
- 血压可能会降低。
- 机械 /危险因素
- 由于该药物具有降压作用,因此有可能增强血压药物的作用。
- 多巴胺拮抗剂,例如药物名称(苯丙胺药物,丁基芬顿药物,梅植物酰胺等)
- 临床症状 /度量方法
- 该药物的作用可能会减少。
- 机械 /危险因素
- 该药物是多巴胺演员。
- 发现会影响蛋白质组合的药物,例如药物名称
- 临床症状 /度量方法
- 该药物的作用可能会得到增强。
- 机械 /危险因素
- 在该药物中,超过90%与血浆蛋白结合,因此非结合血液浓度可能会增加。
副作用
概述表达状态,副作用
- 该药物不进行调查,以阐明副作用的频率,例如用法调查。
严重的副作用
1.综合征马林(频率未知)高烧,意识障碍,高肌肉硬化,不受欢迎的运动和血清CK(CPK)可能会出现。在给药的早期阶段,取消它,在持续给药的情况下,在取消情况下进行更改或取消,然后仔细减少并采取适当的措施,例如身体冷却和水合。物质。 2.间质性肺炎(频率未知)如果出现发烧,咳嗽,呼吸困难或异常的肺部声音(扭曲声音),则立即进行胸部X射线检查,如果发现异常,则停止给药并服用肾上腺皮质激素。采取适当的措施,例如药物给药。 3.胸膜炎,胸腔积液,胸膜纤维化,肺纤维化,胃炎,心包渗出液(频率未知)如果出现胸痛,呼吸道症状等,请立即进行胸x检查,如果发现异常,请停止给药,并采取适当的措施。 4.心脏病(频率未知)定期执行足够的观察(听诊等,胸部X -rays,CT等),如果发生心脏噪声的表达或加剧,则立即执行胸部X -RAY检查,回声测试等。做到。如果发现心脏瓣膜厚度,心脏瓣膜和心脏瓣膜的病变,例如伴随的狭窄,则必须停止使用并进行适当的治疗。 5.后来的腹膜纤维化(频率未知)由于已经报道了后腹膜纤维化,因此应充分观察到,如果腰痛,下肢水肿,肾功能障碍等出现,请停止给药并采取适当的措施。 6.突然睡觉(频率未知)在这种情况下,可能会出现突然没有前体的睡眠,因此在这种情况下,停止或减少给药并采取适当的措施。 7.谬论,妄想,妄想(频率未知) 8.肠梗阻(频率未知) 9.意识障碍,晕厥(频率未知)可能会出现过多的血压,并且可能出现过多的意识和晕厥。 10.肝功能障碍,黄疸(频率未知)可能会出现AST(GOT),ALT(GPT),γ-GTP等,可能会出现肝功能障碍和黄疸。 11.血小板还原(频率未知)- **由于可能会有更严重的副作用**,因此有必要采取适当的治疗方法,例如,如果观察到任何异常,停止给药。
另一个副作用
- 高敏性注1)
- (频率未知)
- 皮疹,红斑等
- 精神神经系统2)
- (频率未知)
- 精神症状,例如焦虑,兴奋,manicap,头晕,头晕,头晕,头晕,强壮,角质,ne弱,愚蠢,哑巴,愚蠢,徘徊,在夜晚,震惊,夜间,夜间,沮丧等。四肢,物质,动员,动力学,肌张力障碍,味觉障碍,骨痉挛,刚性等。
- 消化器官
- (频率未知)
- 顽皮,呕吐,不适,胃灼热,厌食,便秘,干燥,胃痛,流行性疼痛,腹胀,腹部,腹泻,消化溃疡等。
- 肝脏注2)
- (频率未知)
- 肝功能异常(AST(GOT),ALT(GPT),Al-P,γ-GTP,LDH,Billirubin)
- 心血管
- (频率未知)
- 雷诺现象,凝视和矫形性低血压,呼吸症,心律不齐,心动过缓,压力升高,血压升高,血压降低
- 呼吸器官
- (频率未知)
- 打ic,呼吸困难,呼吸急促,鼻子闭合
- 血液笔记2)
- (频率未知)
- 白细胞减少,血小板减少,贫血
- 肾脏笔记2)
- (频率未知)
- 面包上升,肌酐上升,水肿,尿液蛋白,尿液隐秘血液
- 泌尿科
- (频率未知)
- 尿液障碍,尿封闭,尿失禁
- **其他人
- (频率未知)
- 吞咽肺炎,发烧,CK(CPK),疼痛,红色疼痛(肢体肿胀,伴有疼痛肿胀) ,药物戒断综合征3) (情绪,焦虑,焦虑,抑郁,疲劳,疲劳,出汗,疼痛等) ,一般不适, ,弱点,激情,出汗 /冷汗,异常饮食,耳朵疼痛,脱发,视觉异常
关于其他副作用的注释
- 注意1)如果发现症状(异常),请采取适当的措施,例如中断给药。
- **注2)如果发现症状(异常),请在必要时停止或减少给药并采取适当的措施。
- **注3)如果观察到异常,请采取适当的措施,例如恢复给药或在体重减轻前恢复剂量。
老年人的管理
- 该药物主要在肝脏中代谢,但是在老年人中,肝功能通常会降低,因此高血分浓度可能会持续,因此在观察患者的病情的同时,同时注意剂量。
管理孕妇,妇产科妇女等。
- 1。
- 一名妇女的一部分是在外国用叶甲酸酯甲基酸酯制备治疗的一部分,并在33例怀孕病例中生下了Kenji,但是在六例怀孕案件中,观察到先天性异常(3例,3例)。报告,希望不给可能怀孕的孕妇或妇女管理。
- 2。
- 尽管未知是否存在人类果汁转移,但它可能会抑制药理学作用的牛奶分泌。此外,需要这种药物的妇女不得母乳喂养,因为尚未确定婴儿的安全。
给儿童的管理等
- 尚未确定儿童的安全。 [我没有经验。这是给出的
过量
- 体征,症状
- 一次有意服用60毫克的患者以及每天意外服用19毫克三天的患者呕吐,低血压,兴奋,一天中的严重幻觉。已经观察到0.7毫克的处方量,呼吸症,低血压和心室期收缩。
- 治疗
- 通过呼吸和心血管监测器进行典型的支持疗法,还考虑了活性炭的使用。在许多情况下,它比呕吐和胃清洁更有效。还考虑了抗心律失常剂,现象和基于丁基烯的抗精神病药。透析和血液灌注的影响尚未建立。
适用的预防措施
- 1。
- 据报道,在该药物的动物测试中已经识别出眼睛刺激和吸入毒性,并且在这种药物粉碎过程中识别出刺激,异常气味,头部重等。
为此原因, - (1)
- 避免压碎。
- (2)
- 该药物必须在服药之前从包装中取出。
- 2.在药物时
- PTP包装药物应从PTP纸中取出并教给它。据报道,食管粘膜的难度很难在食管粘膜上具有硬尖角,然后引起严重的并发症,例如纵隔炎。这是给出的
其他预防措施
- 1。
- 动物实验(大鼠和小鼠)报告说,长期大型给药以低率引起子宫内膜肿瘤。
- 2。
- 在用戊酸酯麦甲酸酯治疗期间,据报道猝死。
- 3。
- 外国研究报告说,由于纤维化,剂量高于每天高于3,000μg的剂量更风险。
药代动力学
- <生物等效测试>
- 通过交叉方法,50μg“ Amel”的Pelgolide片剂,标准制剂为一片(50μg,如pergolide),并且血浆的不愉快浓度是通过禁食到健康的成年男孩来测量血浆中不愉快的浓度,例如等离子体的不愉快浓度。在90%置信区定律下对动态参数(AUC,CMAX)的统计分析的结果,两种药物的生物当量在log(0.80)到log(1.25)的范围内得到了证实。 1)
关于250μg的骨片片“ Amel”,pelgoride片剂50μgpelgoride片剂基于“使用不同含量的口服固体形成的生物等效测试指南(Pharmaceutical Arcasutical Admace offision No. 64,2月14日,2000年2月14日,2000年2月14日)”,当时使用“ Amel”。作为标准配方,洗脱行为相等,被认为是生物学的。 2)
(注意)批准的该药物的用法是在饭后。 
血浆浓度和参数(例如AUC和CMAX)可能会根据测试条件(例如选择受试者的选择,收集体液的时间数量等)而有所不同。
- <洗脱行为> 3)
- 50μg骨片和250μg片剂被证实,分别在日本药品标准标准中分别列出了50μgpergoride麦甲酸酯,250μg片剂。
药物
- ** d 1它是受体的部分支柱,是一种强大的D 2家族活性药物,对D 2和D 3受体亚型显示高亲和力。四)
有关活性成分的物理和化学知识
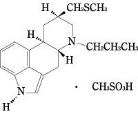
- 通用名称
- pergoride中脱水
- 分子
- C 19 H 26 N 2 S / CH 4 O 3 S
- 分子量
- 410.59
- 结构公式

- 化学名称
- ( - )-8β-[((甲基硫)甲基] -6- propopylergoline单甲磺酸盐
- 特点
- 它是白色至细的黄色白色晶体或结晶粉。
n , n-很难溶解在二甲基或甲醇中,并且很难溶于水或乙醇(99.5)。
略带颜色。
处理的预防措施
- <稳定性测试> 5)
- 由于使用最终包装产物(40±1°C,相对湿度75±5%,6个月),Pelgolide片剂50μgPelgolide片剂和250μg锁250μg250μg ”在正常市场分布下为3年。假定它是稳定的。
包装
- Pelgolide片剂50μg“ Amel”:
PTP100平板电脑(10片X 10) - Pelgolide片剂250μg“ Amel”:
PTP100平板电脑(10片X 10)
主要文献和文档请求目的地
主要文献
- 1)
- 共和党制药公司有限公司 - 房屋材料:生物等效测试
- 2)
- 共和党制药公司:生物拥有检查(废墟比较)
- 3)
- 在 - 房屋材料:Erutment Test Co.,Ltd.
- 四)
- **古德曼·吉尔曼(Goodman Gilman):制药书12,Hirokawa Shoten,448(2013)
- 五)
- 制药共和国有限公司,company材料:稳定性测试
文学要求
- *请在下面请求主要文献中描述的室内材料。
共和国制药行业有限公司。查询窗口 - 3-2-4 Nakanoshima,Kita-Ku,大阪530-0005
0120-041-189- 传真06-6121-2858
制造商等的姓名或名称和地址等。
- *制造和分销商
- Republic Pharmaceutical Co.,Ltd。
- 3-2-4 Nakanoshima,大阪Kita-Ku