4006 776 356
免费咨询 9:00-18:00
获取国外Pelgolide颗粒0.025%“ Nissho Chemicals”jazh-CN药品价格,使用等信息,最快 24 小时回馈
出境医 / 海外药品 / Pelgolide颗粒0.025%“ Nissho Chemicals”jazh-CN
Pelgolide颗粒0.025%“ Nissho Chemicals”jazh-CN
2020年6月
Pelgolide颗粒0.025%“ Nissho Chemicals”
创建或修订年
- 创建于2019年12月(第一版)
日本标准产品分类编号
- 87116
医学分类名称
- 多巴胺手术帕金森氏病治疗剂
批准,等等
- 销售名称
- Pelgolide颗粒0.025%“ Nissho Chemicals”
销售名称代码
- 1169008D1033
批准 /许可号码
- 批准编号
- 30100AMX00331000
- 欧洲商品名称
- PergolideGran。0.025%
药品价格标准日期
- 2020年6月
销售日期
- 2020年6月
储蓄,到期日期等
- 储蓄
- 室温保存
- 截止日期
- 在外部框的显示器的到期日期内使用
法规类别
- 阳性药物
- 处方药)
- 注意):小心 - 医生的处方使用。
作品
- 成分 /内容
- 250μg作为1g的塞孔酰胺
- 添加剂
- 乳糖氢,玉米,横car旋律natrium,黄色Trinx氧化物,羟基丙糖蛋白,L-甲宁氨酸
表格的特征
- 颜色 /动态形状
- 淡黄色颗粒
一般名称
- 乙酰酸中戊二酸颗粒。
限制(请勿对下一个患者进行管理)- 1。
- 过去对小麦天使制剂过敏的患者
- 2。
- 已经确认心脏瓣膜增厚,心脏瓣膜和随附的狭窄的患者(例如心脏瓣膜)和现有患者[重要的基本(“重要基本)(“重要基本)))请参见“ note”。这是给出的
|
功效或效果
- 帕金森氏病
与效果相关的使用预防措施
- 它仅适用于非淋浴天使制剂的治疗作用不足或忍者有问题的患者。 (请参阅“重要的基本预防措施”和“副作用”部分)
用法和剂量
- 该药物通常与L -DOPA制备结合使用。
通常,晚餐后立即每天一次服用50μg一次。之后,每两到三天每天将每天增加50μg50μg,在第一个周末将进行150μg。
第二周从300μg作为每日剂量开始,并增加150μg,持续两三天。在第二个周末,将以每日剂量为600μg。如果每天剂量为100μg,早餐和晚餐后立即将口服给药分为口服,则每天的剂量为150μg或更多。
第三周从每日剂量为750μg,然后在考虑有效性和安全性的同时增加剂量,并确定维持量(标准750至1250μg每天)。
上面指定的剂量提高速度应适当提高或减少,具体取决于随附的症状,年龄等。

与使用和剂量有关的预防措施
- 1。
- 该药物的给药应从少量开始,并完全观察到消化症状(恶心,呕吐等),血压等,并仔细地增加维持量的数量。
- 2。
- 服用这种药物时可能会出现幻影。此外,服用这种药物很长时间并突然停止管理的患者可能会引起幻觉,因此他们会逐渐减少。
使用预防措施
谨慎的管理
(请小心地给下一个患者管理)
- 1。
- 精神科或过去的患者[多巴胺受体活性可能会恶化幻觉,妄想等,这是精神分裂症的症状。这是给出的
- 2。
- 根据心律不齐或过去的患者,据报道,per -pertrium和捐赠心动过速的病例有所增加。这是给出的
- 3。
- 胸膜炎,胸腔积液,胸膜纤维化,牙髓纤维化,肺纤维化,辣椒炎,果皮虫,沃尔奇,后腹膜后纤维化或阳性患者(尤其是表达了这些疾病和症状,在大麦底漆的给药过程中。这是给出的
- 四个。
- 肝病或患有病史的患者[没有足够的安全数据。这是给出的
- 五。
- 肾细胞或其病史的患者[肾脏疾病等症状可能恶化。这是给出的
- 6。
- 老年人(请参阅有关“老年管理”的部分)
- 7。
- 雷诺病患者[可能恶化周围血管疾病。这是给出的
重要的基本预防措施
- 1。
- 与非小麦天使制剂相比,在包括这种药物在内的大麦配方术期间,有许多关于心血管疾病和纤维化的报道,因此,这种药物是一名医生,他对帕金森氏病有足够的知识和经验。考虑管理过程中的风险和福利。 (请参阅有关“副作用”的部分)
- 2。
- 心脏膜可能会出现在该药物的长期服用中,因此在给药之前或执行足够的观察过程中进行以下测试。此外,在某些情况下,由于消除了给药而进行了改善。
- (1)
- 在这种药物的开头,有必要通过观察身体发现(例如主持和超声心动图)来确认是否患有潜在的心脏病。
- (2)
- 在使用该药物期间,在给药开始后的3到6个月内,必须每6至12个月进行一次心脏回声测试。如果通过回声测试观察到心脏瓣膜增厚,心脏限制限制和心脏瓣膜(如狭窄)(如狭窄)的病变(如狭窄)等,则应停止使用该药物的给药。定期执行足够的观察(例如听诊器,胸部X -rays,CT等)。 (请参阅有关“副作用”的部分)
- 3。
- 由于可能会发生纤维化,因此应适当地进行足够的观察(物理发现,X -rays,Heart Echo,CT等)。 (请参阅有关“副作用”的部分)
- 四个。
- 由于可能发生间质性肺炎,如果患者充分观察到患者,并且患者发烧,咳嗽,呼吸困难等。在服用该药物期间,请服用这种药物。取消并指示立即接触。 (请参阅有关“副作用”的部分)
- 五。
- 由于可以看到位置或可持续性的位置,因此该药物的给药应少量从少量开始,完全观察血压等,并仔细管理。
- 6。
- 请注意不要从事危险的任务,例如开车或在高处工作,因为可能会突然睡觉没有前体。
- 7。
- 左旋多巴或多巴胺受体参与者的给药具有病理赌博(尽管社会劣势的结果,例如个人生活的崩溃,但不断重复赌博的状态)。由于性损害的损害(例如,性购买和猖ramp),如果表达了这种症状,则应采取适当的措施,例如停止体重或取消。此外,解释了患者及其家人的这种障碍的症状。
- 8。
- 如果需要这种药物减少或取消,请逐渐减少。突然的体重减轻或取消可能引起恶性综合征。此外,多巴胺受体的突然丧失或中断可能会导致药物戒断综合征(具有情感,焦虑,抑郁,疲劳,疲劳,出汗和疼痛等症状)。
相互作用
合并用途的注释
(请注意联合使用)
| 毒品名称,等等 | 临床症状 /度量方法 | 机械 /危险因素 |
| 具有降压作用的药物 | 血压可能会降低。 | 由于该药物具有降压作用,因此有可能增强血压药物的作用。 |
| 多巴胺拮抗剂(苯丙胺药物,丁基芬顿药物,金属酰胺等) | 该药物的作用可能会减少。 | 该药物是多巴胺演员。 |
| 发现影响蛋白质组合的药物 | 该药物的作用可能会得到增强。 | 在该药物中,超过90%与血浆蛋白结合,因此非结合血液浓度可能会增加。 |
副作用
概述表达状态,副作用
- 该药物不进行调查,以阐明副作用的频率,例如用法调查。
严重的副作用
- 可能会出现以下严重的副作用,因此请确保足够观察并采取适当的措施,例如如果发现异常,停止给药。
- (1)综合征Malin (频率未知)
- 高烧,意识障碍,高肌肉僵硬,无限期运动,血清CK(CPK)上升。在给药的早期阶段,取消它,在持续给药的情况下,在取消情况下进行更改或取消,然后仔细减少并采取适当的措施,例如身体冷却和水合。物质。
- (2)间质性肺炎(频率未知)
- 如果出现发烧,咳嗽,呼吸困难或异常肺部声音(扭曲声音),则将立即进行胸部X射线测试,如果发现异常,则将停止使用,肾上腺皮质激素将被停止。适当的措施,例如药物管理。
- (3)胸膜炎,胸腔积液,胸膜纤维化,肺纤维化,纸膜炎,心包渗出液(频率未知)
- 如果出现胸痛,呼吸道症状等,请立即进行胸x检查,如果发现异常,请停止给药,并采取适当的措施。
- (4)心脏(频率未知)
- 定期执行足够的观察(听诊器等,胸部X -rays,CT等),如果发生心脏噪声的表达或加剧,则立即执行胸部X-射线检查,回声测试等。 。如果发现心脏瓣膜厚度,心脏瓣膜和心脏瓣膜的病变,例如伴随的狭窄,则必须停止使用并进行适当的治疗。
- (5)后来的腹膜纤维化(频率未知)
- 由于已经报道了后腹膜纤维化,因此应充分观察到,如果腰痛,下肢水肿,肾功能障碍等出现,请停止给药并采取适当的措施。
- (6)突然的睡眠(频率未知)
- 在这种情况下,可能会出现突然没有前体的睡眠,因此在这种情况下,停止或减少给药并采取适当的措施。
- (7)堂堂,妄想,妄想(频率未知)
- (8)肠梗阻(频率未知)
- (9)意识障碍,晕厥(频率未知)
- 可能会出现过多的血压,并且可能出现过多的意识和晕厥。
- (10)肝功能障碍,黄疸(频率未知)
- 肝功能障碍和黄疸,可能会出现AST(GOT),ALT(GPT),γ-GTP等的上升。
- (11)血小板还原(频率未知)
另一个副作用
| 未知频率 |
| 低温1) | 皮疹,红斑等 |
| 精神神经系统2) | 精神症状,例如焦虑,兴奋,沮丧,头晕,头晕,头晕,头晕,头晕,强壮,饥饿,ne弱,笨拙的头,愚蠢的头,徘徊,徘徊,夜晚,夜晚,夜间发音,沮丧等。四肢麻木,物质,动员,动力学,肌张力障碍,味觉障碍,骨痉挛,刚性等等。 |
| 消化器官 | 顽皮,呕吐,不适,胃灼热,厌食,便秘,干燥,胃痛,流行性疼痛,腹胀,腹部,腹泻,消化溃疡等。 |
| 肝脏注2) | 肝功能异常(AST(GOT),ALT(GPT),Al-P,γ-GTP,LDH,Billirubin) |
| 心脏 | 雷诺现象,凝视和矫形性低血压,呼吸症,心律不齐,心动过缓,压力升高,血压升高,血压降低 |
| 呼吸器官 | 打ic,呼吸困难,呼吸急促,鼻子闭合 |
| 血液笔记2) | 白细胞减少,血小板减少,贫血 |
| 肾脏笔记2) | 面包上升,肌酐上升,水肿,尿液蛋白,尿液隐秘血液 |
| 泌尿科 | 尿液障碍,尿封闭,尿失禁 |
| 其他的 | 吞咽肺炎,发烧,CK(CPK),疼痛,红色疼痛(肢体肿胀,伴有疼痛肿胀),药物戒断综合征3) (情绪,焦虑,焦虑,抑郁,疲劳,疲劳,出汗,疼痛等),一般不适, ,弱点,激情,出汗 /冷汗,异常饮食,耳朵疼痛,脱发,视觉异常 |
关于其他副作用的注释
- 注1):如果发现症状(异常),请采取适当的措施,例如停用。
- 注2):如果发现症状(异常),请在必要时停止或减少给药并采取适当的措施。
- 注3):如果发生异常,请采取适当的措施,例如恢复给药或在减肥前恢复剂量。
老年人的管理
- 该药物主要在肝脏中代谢,但是在老年人中,肝功能通常会降低,因此高血分浓度可能会持续,因此在观察患者的病情的同时,同时注意剂量。
管理孕妇,妇产科妇女等。
- 1。
- 一些在外国接受这种药物的妇女怀孕并在33例怀孕病例中生下了Kenji,但是在6例怀孕案件中,据报道先天性异常(3例,3例)。为可能怀孕的孕妇或妇女管理。
- 2。
- 尽管未知是否存在人类果汁转移,但它可能会抑制药理学作用的牛奶分泌。
此外,需要这种药物的妇女不得母乳喂养,因为尚未确定婴儿的安全。
给儿童的管理等
- 尚未确定儿童的安全。 [我没有经验。这是给出的
过量
- 体征,症状
- 一次有意服用60毫克的患者以及每天意外服用19毫克的患者三天,严重的幻觉,甚至处方的患者。 0.7毫克处方量的呼吸愉快,低血压和心室期收缩。
- 治疗
- 通过呼吸和心血管监测器进行典型的支持疗法,还考虑了活性炭的使用。在许多情况下,它比呕吐和胃清洁更有效。还考虑了抗心律失常剂,现象和基于丁基烯的抗精神病药。透析和血液灌注的影响尚未建立。
适用的预防措施
- 据报道,在该药物的动物测试中已经识别出眼睛刺激和吸入毒性,并且在这种药物粉碎过程中识别出刺激,异常气味,头部重等。
为此原因, - (1)
- 避免压碎。
- (2)
- 就在这种药物之前打开包裹(包括分配的)。
其他预防措施
- 1。
- 动物实验(大鼠和小鼠)报告说,长期大型给药以低率引起子宫内膜肿瘤。
- 2。
- 在用这种药物治疗期间,已经报道了未知原因的突然死亡。
- 3。
- 外国研究报告说,由于纤维化,每天高于3000μg的剂量更有风险。
药代动力学
- 1.生物当量测试
- 0.025%的牙膜颗粒“ Nissho”和标准配方,0.2 g,1片,1片(50μgpergolide)通过交叉方法,通过对健康的成年男孩进行单个器官来测量血浆pergoride浓度。药物的部分定律(CMAX,AUC),它在log(0.8)到log(1.25)的范围内,并且已经确认了两种药物的生物等效性。 1)


血浆浓度和参数(例如CMAX和AUC)可能会根据测试条件(例如选择受试者的选择,体内果汁的时间等)而有所不同。 - 2.注射行为(参考)
- 当比较该药物的平均洗脱率为0.2 g(50μg作为佩尔孔酰)和标准制剂(50μg片剂和胶质细胞)时,确定洗脱行为是等效的(在批准时)。 2)
有关活性成分的物理和化学知识
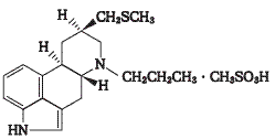
- 通用名称
- Pelgolyide Mecylate(JAN)
pergolide中脱酸盐 - 化学名称
- ( - )-8β-[((甲基硫)甲基] -6-磷酸单乙二醇
- 结构公式

- 分子
- C 19 H 26 N 2 S / CH 4 O 3 S
- 分子量
- 410.59
- 性欲
- 它是白色至细的黄色白色晶体或结晶粉。
溶解在甲醇或N , N-二甲基甲酰胺中并难以溶于水或乙醇(99.5)有些困难。 - 民间点
- 大约260°C(分解)
处理的预防措施
- ・稳定性测试
- 由于使用最终包装产品(25°C,60%RH,3年)进行长期保存测试,外观,洗脱行为,未知的内容等在标准范围内,0.025% Pelgolide颗粒是“ Nissho Chemicals”。已确认它在分布的三年中稳定。 3)
包装
- Pelgolide颗粒0.025%“ Nissho Chemicals”
100克(玫瑰)
主要文献和文档请求目的地
主要文献
- 1)
- Nisshin II Co.,Ltd。in -House Materials(生物当量测试)
- 2)
- Nisshin II Co.,Ltd。in -House Materials(洗脱行为)
- 3)
- Nisshin II Co.,Ltd。in -House Materials(稳定性测试)
文学要求
- 请要求下面的主要文献列中描述的室内材料。
Nissin II Corporation客户支持中心 - 〒930-8583工会城索戈学院1-6th 21
- 免费拨号(0120)517-215
- 传真(076)442-8948
制造商等的姓名或名称和地址等。
- 制造和分销商
- Nisshin II公司
- 富山城市sora chang 1-6-6 21