获取国外Starbo组合片L50 / Starbo组合锁L100jazh-CN药品价格,使用等信息,最快 24 小时回馈

出境医 / 海外药品 / Starbo组合片L50 / Starbo组合锁L100jazh-CN

Starbo组合片L50 / Starbo组合锁L100jazh-CN

2014年12月
  1. 5.1原则上,该药物用于合并和施用到Levodpupa Calvidpopon和Entertainment的患者。
  2. 5.2使用Levodpapa和Carvidopa在治疗中识别出佩戴现象(每天至少300毫克)的患者使用这种药物,这是总左伏达帕(Levodapa)每天600毫克或更少的情况患有Dyskinzies。确保该药物的给药比娱乐的综合使用更合适。

Starbo组合片L50 / Starbo组合锁L100

启发记录号

1169102F1027_1_09

公司代码

300242

创建或修订年

2021年8月修订(第一版)

日本标准产品分类编号

871169

医学分类名称

反 - 佩林森特工

批准,等等

星空混合锁L50

销售名称代码

YJ代码

1169102F1027

销售名称英语符号

Stalevo组合片

销售名称Hiragana

Starbo Haigo Jojo L50

批准号,等等。

批准编号

22600AMX00745000

销售日期

2014年12月

储蓄 /有效期限

储蓄

室温保存

有效期

3年

法规类别

处方

笔记)预防措施 - 由医生的处方等。

Starbo组合锁L100

销售名称代码

YJ代码

1169102F2023

销售名称英语符号

Stalevo组合片

销售名称Hiragana

Starbo Haigo Jojo L100

批准号,等等。

批准编号

22600AMX00746000

销售日期

2014年12月

储蓄 /有效期限

储蓄

室温保存

有效期

3年

一般名称

levodpopa / calvidopa水心 /肠子Capon

2.反对(不给下一个患者施用)

  1. 2.1该成分过敏史的患者
  2. 2.2恶性综合征,水平肌肉融化或这些病史的患者, , ,
  3. 2.3简介针灸患者青光眼患者这是给出的,

3.组成 /特性

3.1组成

星空混合锁L50

有效成分包括50毫克的Revodpupa(日本局),1片,5.4毫克(5毫克作为Carvidopapa),100毫克的娱乐活动(日本局)。
添加剂肿瘤 - 科希丁敏素,D-甘露醇,跨型旋律natrium,Povidon,Hypromerose,白糖,甘油,甘油,Polyvate 80,氧化钛,硬脂酸镁

Starbo组合锁L100

有效成分包括100毫克的Revodpupa(日本局),1片,10.8毫克(10毫克作为Carvidopapa)和100毫克的娱乐活动(日本局)。
添加剂肿瘤 - 科希丁敏素,D-甘露醇,跨型旋律natrium,Povidon,Hypromerose,白糖,甘油,甘油,Polyvate 80,氧化钛,硬脂酸镁

3.2准备属性

星空混合锁L50

外形
识别代码50
尺寸(大约)长直径:11.6毫米,直径短:6.6mm,厚度:4.5mm
质量:0.276克
特点灰红色至红色棕色椭圆膜涂料锁

Starbo组合锁L100

外形
识别代码100
尺寸(大约)长直径:13.0mm,直径短:6.0mm,厚度:5.0mm
质量:0.353克
特点灰红色至红色棕色椭圆膜涂料锁

4.功效或效果

帕金森氏病[如果症状是在revodpupa calvidpupa管理中的症状(磨损现象)]

5.与效果有关的预防措施

  1. 5.1原则上,该药物用于合并和施用到Levodpupa Calvidpopon和Entertainment的患者。
  2. 5.2使用Levodpapa和Carvidopa在治疗中识别出佩戴现象(每天至少300毫克)的患者使用这种药物,这是总左伏达帕(Levodapa)每天600毫克或更少的情况患有Dyskinzies。确保该药物的给药比娱乐的综合使用更合适。

6.用法和剂量

对于成年人,一次或两片片剂一次在50 mg/5mg/100 mg/200 mg/200 mg/20 mg/200 mg之间,用于Levodpupa,Calvidpopa,Enta Capon。
根据症状调整剂量和剂量的数量,但总左伏达帕(Levodapa)总额不超过1,600毫克,总卡维达(Carvida)金额为150毫克,总娱乐量为1,600毫克。此外,每天的管理人数不超过8次。

7.与使用和剂量有关的预防措施

  1. 7.1从现有治疗转换为这种药物
    1. 7.1.1当Revodpupa Calvidpopon和Estacapon的合并给药时

      切换到该药物给药时的一剂左旋多巴剂量和娱乐剂量应与现有治疗中的每种剂量一致。仅当剂量在现有治疗中统一并匹配剂量时,才能切换到2片该药物。

    2. 7.1.2 RevoDpupa calvidpopa被管理,并且不使用Entacapon
      1. (1)为了提高Levodpupon的生物利用率,在不适用于爱好者组合的患者中,由于levodpopa(Dosyskenge等)可能会产生多巴胺可操作性的副作用,这是由于此次给药的开始药品。因此,在该药物的给药开始时,患者的病情已完全观察到,如果多巴胺可操作性有副作用,应采取适当的措施,例如调整该药物的剂量或在切换之前恢复治疗。
      2. (2)切换到该药物时的一个时间levodpa剂量在现有治疗中转化为剂量。由于娱乐的正常剂量一次是100毫克,因此请确保一次切换到一台平板电脑。
  2. 7.2接受这种药物治疗
    1. 7.2.1如果有必要调整剂量,应调整剂量,并更改给药间隔和剂量的数量,并根据需要调整左旋多巴制剂的组合和娱乐。如果有必要添加左旋多巴制剂或娱乐单代理,请仔细考虑与该药物结合使用是否合适。
    2. 7.2.2即使将其他Levodpopa的制剂添加到该药物中,总左伏达帕数量也不得超过每天1,500毫克。
    3. 7.2.3最大剂量为7.2.3 estacapon为200 mg,每次给药不超过2片该药物。此外,当将娱乐单特工添加到一台平板电脑中时,作为娱乐活动的剂量不得每天不超过1,600毫克,剂量每天的娱乐性每天不得超过200毫克。
    4. 7.2.4如果可以表达剂量增加一次到200毫克,则可以表达障碍。此外,当增加数量时,应进行足够的观察,如果出现这些症状,应采取适当的治疗方法,例如根据症状程度减少娱乐量。
    5. 7.2.5在肝损伤的患者中,如果不可避免地增加了一次剂量,则在观察剂量时应特别谨慎。
    6. 7.2.6在重量小于40 kg的患者中,我们应该仔细考虑一次摄入量增加到200 mg的量。
  3. 7.3当这种药物被取消时
    1. 7.3.1当不使用这种药物娱乐的Revodpupa和Calvidpopa改用治疗时,请根据需要考虑左旋多巴的增加,以便对帕金森氏病症状得到充分控制。

8.重要的基本预防措施

  1. 8.1如果接受该药物的患者具有青光眼的风险,则希望进行角落或眼内压力测试。 ,
  2. 8.2在帕金森氏病患者中,很少有水平融化可能发生在严重的运动障碍或继续患恶性综合征中。此外,由于在娱乐施用过程中已经报道了水平肌肉旋律的表达,因此在仔细观察患者病情的同时应仔细观察给药。 , ,
  3. 8.3帕金森氏病治疗可能会导致恶性综合征和水平肌肉融化,因此,如果有必要取消这种药物和其他多巴胺治疗,则需要患者的状况。逐渐减轻体重,同时观察到足够充分的观察。如果尽管逐渐减轻了这种药物的重量,但仍会确认某些症状或体征,请采取适当的措施,例如根据需要添加其他左旋多巴制剂。 , ,
  4. 8.4可能会突然睡眠,睡眠或体位性低血压等,因此接受这种药物的患者不应从事危险的工作,例如驾驶汽车和高处。请小心。
  5. 8.5抑郁症伴有自杀,严重的反社会行为以及精神状态的变化(幻觉,精神病等),因此可以仔细观察患者的精神状态。 ,
  6. 8.6在患有左旋多巴或多巴胺受体激动剂的患者中(尽管社会生活崩溃的社会劣势,但在可持续赌博的状态下,也有脉冲控制障碍的报道,例如增加性欲,强迫性 - 抗性的购买,伪装的购买,笨拙的购买,伪造性的购买,和猖ramp。在左旋多巴的患者中,除冲动控制障碍外,还报道了多巴胺调整综合征,并要求左旋多巴超过所需量。向患者及其家人解释这些症状,并采取适当的措施,例如表达这些症状时。
  7. 8.7由于可能会完全观察到溶血性贫血和血小板降低,例如常规的血液检查。

9.具有特定背景患者的预防措施

9.1并发症和病史的患者

  1. 9.1.1棕色细胞的患者

    有增加高血压波峰风险的风险。

  2. 9.1.2胃溃疡,十二指肠溃疡或患有病史的患者

    症状可能恶化。

  3. 9.1.3严重的心脏病或有病史的患者

    症状可能恶化。

  4. 9.1.4肺部疾病,支气管哮喘患者

    症状可能恶化。

  5. 9.1.5内分泌疾病患者

    症状可能恶化。

  6. 9.1.6糖尿病患者

    据报道,它将增加血糖水平并增加所需的胰岛素量。

  7. 9.1.7慢性开角 - 角度青光眼患者

    眼内压的增加可能会增加,青光眼可能会恶化。

  8. 9.1.8精神症状的患者,例如与自杀趋势有关的抑郁症

    心理症状可能恶化。 ,

  9. 9.1.9体重小于40kg的低体重患者

    如果您一次一次管理200mg的娱乐,则表达不良的表达可能会增加。

9.2肾功能的患者

  1. 9.2.1肾功能不全的患者

    有副作用的表达会增加的风险。

9.3肝功能障碍患者

  1. 9.3.1肝损害或病史的患者

    据报道,肝损害的患者增加了艺人的血液浓度。

9.5孕妇

希望不给可能怀孕的孕妇或妇女进行管理。 Levodpopa Calvidpopa报告了动物实验(兔子)中的特征。在娱乐中,在生殖毒性测试中,胎儿骨骼延迟识别出1,000 mg/kg/day给药的组。

9.6母乳喂养妇女

考虑到治疗的益处以及母乳营养的益处,考虑到母乳喂养的持续或取消。 Revodpopa被分泌在人类牛奶中。据报道,在左旋帕帕(Levodpapa)给药1)中抑制了泌乳分泌。还报道说,碳纤维和娱乐是在动物(大鼠)泌乳2中分泌的。

9.7个孩子,等等。

没有针对儿童等临床试验。

9.8老年人

仔细观察患者的病情时仔细地划清。通常,生理功能(肾功能,肝功能等)降低。

10.互动

  • Enteracapon是一种类别的甲基因转移酶(COMT)抑制剂,可能会增加通过COMT代谢的药物的血液药物浓度,因此在与此类药物结合使用时要小心。此外,由于建议娱乐可以抑制药物代谢酶CYP2C9,因此当该酶与代谢药物结合使用时,请小心。

10.2联合用途(请小心使用)

毒品名称,等等临床症状 /度量方法机械 /危险因素

由COMT代谢的药物

  • 肾上腺素或肾上腺素异丙肾上腺素,等。

可能会增加心率,心律不齐和血压波动。无论转移途径如何,包括吸入。

这些具有儿茶酚组的药物由COMT代谢,但发烧友可能会抑制这些药物的代谢并增加其作用。

选择性MAO-B抑制剂

  • Selegirin,等等

有升高血压的风险。
当使用这种药物和塞勒吉林时,每天的塞勒吉林量不得超过10 mg。

选择性MAO-B抑制剂的选择性抑制作用的量减少,并且存在非选择性MAO抑制作用的风险,因此与该药物结合使用了生理儿茶酚胺的代谢。

华法林

据报道,Etakapon将R-Walfarin(光学都会大都市)的AUC增加了18%,并将Proitron bin比率(INR值)提高了13%。请注意在一起使用时血液凝血能力的波动。

该机制未知。

铁制备

铁剂的作用降低。如果将其与铁一起使用,请至少花2-3个小时或更长时间。

该药物可能在消化道中形成铁并螯合。

reelpin制备四烯丁丁

大脑中的多巴胺可能会降低,并且该药物的作用可能会降低。

减少大脑中的多巴胺,使帕金森症症状恶化。

高血压

  • 甲状腺素的甲虫等等。

血压降低的作用可能会增强。

尽管作用机理不同,但该药物和血友病的组合可能会导致血压降低。

抗精神病药

  • 基于苯霉素的药物(氯丙烷等)
    基于丁基烯的药物(氟哌啶醇等)
    其他人(Pelospilon等)

这种药物的作用可能会减少,帕金森氏病可能恶化。

这些药物阻止了多巴胺受体。

其他抗Packinson药物

  • 抗胆碱剂amantadine bromo夹蛋白

可以增强精神病系统的副作用。

由于已经在每种药物中报道了精神病系统的副作用,因此可以通过一起使用精神病系统的副作用来增强它们的副作用。

NMDA受体拮抗剂

  • 梅米南,等等

有增强该药物作用的风险。

这些药物可能促进多巴胺分离。

帕帕贝林

这种药物的作用可能会减少,帕金森氏病可能恶化。

清晰的机制是未知的,但是有以下理论:
・帕帕贝林阻止了电线中的多巴胺受体。
・帕帕贝林指示肾上腺素手术神经中的类似reelpin的作用。

Isoniazide

这种药物的作用可能会减少,帕金森氏病可能恶化。

尽管该机制尚不清楚,但人们认为Isoniazide会抑制DA溶解的酶。

istra defirin

已证明使用Entakapon和Istra Defirin会增加Dyskiansi的频率。

该机制未知。

螺旋霉素

左旋多巴的血液浓度可能会降低,并且该药物的作用可能会降低。

据报道,由于抑制碳化物pa的吸收,复制pa的血液浓度已降低。

11.副作用

由于可能会出现以下副作用,因此请采取足够的观察并采取适当的措施,例如如果发现异常,停止给药。
日本尚未获得帕金森氏病的临床试验。副作用的频率是根据娱乐单药的国内临床试验结果分类的。

11.1严重的副作用

  1. 11.1.1恶性综合征(小于1%)

    由于这种药物的快速体重减轻或取消,高烧,意识障碍(昏迷),运动症状(高肌肉僵硬,肌阵容,职业),不受欢迎的运动,精神状态变化(克服,混乱等),震动状态,震动状态,状态,出现自主神经功能(心动过速,不稳定的血压),并且由于CK的升高而存在水平肌肉融化或急性肾脏疾病的风险。在这种情况下,增加左旋多巴或娱乐,或重新管理这种药物,逐渐减少,并采取适当的措施,例如身体冷却和水合。 , ,

  2. 11.1.2水平肌肉熔化(频率未知)

    如果出现肌肉疼痛,无力,CK增加,血液和泌尿肌球蛋白上升等,请采取适当的措施。还要注意由于水平肌肉融化而引起的急性肾脏疾病的发展。 , ,

  3. 11.1.3突然的睡眠(小于1%),睡眠(5%或更多)

    可能发生空前的睡眠和饥饿。

  4. 11.1.4幻觉(5%或更多),幻觉(小于1至5%),幻觉(小于1至5%),混乱(频率未知),抑郁(频率未知)

    ,

  5. 11.1.5肝功能障碍(频率未知)

    可能会出现肝功能障碍,例如肝炎。

  6. 11.1.6溶血性贫血,血小板降低(均经常未知)

  7. 11.1.7闭角青光眼(频率未知)

    阻塞可能会导致青光眼,并突然增加眼内压。如果您看到雾气,眼痛,发红,头痛,恶心等,请停止管理并立即采取适当的措施。 ,

11.2其他副作用

5%或更多

少1-5%

小于1%

未知频率

皮肤疾病

-

-

多汗症

皮疹(红斑或变质的丘疹皮肤),荨麻疹,紫色斑点,皮肤,头发,胡须,汗水,脱发,脱发,Hemangians的变色

精神疾病

失眠

噩梦,妄想

焦虑,增加病理性欲望,异常梦想

极端,精神疾病,冲动控制障碍(病理赌博,性欲,性欲,性欲过多等),易于刺激,失望,自杀,多巴胺调节障碍综合症

神经系统障碍

吉斯尼(37.5%),兹尼

头痛,浮动的头晕,位置头晕,帕金·索尼斯(Parkin Sonism)的恶化(上下现象等)

品尝异常,锻炼过多,震颤

晕厥,旋转头晕,锻炼,犯罪现象,心理功能障碍(记忆障碍,痴呆等),绝望的感觉

眼睛障碍

-

-

-

Kiri视觉,视觉障碍

胃肠道疾病

便秘(20.2%),恶心

上腹痛,腹泻2) ,胃不适,厌食,呕吐,红泥土,消化不良,胃炎

腹痛

物理,结肠炎,腹部不适,吞咽疾病,食欲降低,口腔干燥,腹部腹胀,搅拌过多,口腔炎,胃肠道出血

心脏病

-

-

-

患有不便的心率,心pit,心律不齐,缺血性心脏病(心绞​​痛,心肌梗塞等)

肝脏障碍

-

AST增加,ALT增加

γ-GTP增加

-

肾脏和尿路疾病

彩色注释1) (14.4%)

尿液允许阳性,尿液频繁,小圆面包

-

尿液关闭,排尿异常

血液和淋巴疾病

贫血

血红蛋白还原,白细胞,红细胞,白细胞增加

降低血液袭击,铁缺乏贫血

减少颗粒

全身性障碍

-

缓慢,周围水肿,口干

-

疲劳,无助,步行障碍,胸痛,水肿

肌肉障碍

-

关节疼痛,肌肉疼痛

背痛,肌肉痉挛

肌肉痉挛

其他的

-

CK增加,LDH增加,ALP增加,血压,体位性低血压,高血压,体重减轻,下降

呼吸困难

细菌感染,尿路感染,血清还原,血压升高,DNA抗体阳性,阳性,阳性,阳性,嗓音,痰,口服粘膜和粪便1)

注意1)可能是红棕色或黑色。
注意2)在这种情况下,这可能是减肥等的原因,因此请注意患者的体重和患者的全身状况。

12.对临床测试结果的影响

用硝基鼻子水合的尿测试可能会引起假阳性酮反应。另外,当使用葡萄糖氧化酶方法时,糖尿病的结果可能是假阴性的。

13.服用过量

  1. 13.1症状

    急性症状包括强烈的,混乱,昏迷,心动过缓,心室速度呼吸,皮肤变色,舌头和结膜的变色以及彩色尿液。此外,据报道,由于娱乐过量导致的急性症状会减少活动,狩猎和荨麻疹。每天过度造成的案件的最高案例为10,000毫克或更多(海外),在Entacapon中为40,000毫克或更多(海外)。

  2. 13.2行动

    根据需要住院的指示。还要仔细观察到呼吸系统,心血管系统和肾脏是否正常运行。如果有可能发生心律不齐,请监测心电图,仔细观察患者,并根据需要提供适当的抗心律失常治疗。

14.适用的预防措施

14.1发出毒品的预防措施

PTP包装药物应从PTP纸中取出并教给它。由于PTP板的意外摄入,硬尖角可能会插入食管粘膜,甚至可能发生严重的并发症,例如纵隔炎。

15.其他预防措施

15.1基于临床用途的信息

  1. 15.1.1在使用小麦角多巴胺参与者(溴烯普汀,佩尔戈莱德等)的患者中,纤维并发症已报道。
  2. 15.1.2该药物可以诱导体位性低血压,因此服用可能引起正常性低血压的药物(α /β-释放剂,α /β-释放剂,交感神经外周血断裂器等)。
  3. 15.1.3在娱乐单药(8周)的国内临床试验(8周管理)中第二部分功率检查)由于改善了安慰剂组之间没有显着差异。
  4. 15.1.4据报道,Levodpopa与特定的氨基酸竞争,因此高蛋白质饮食将减少左旋斑杆菌的吸收。
  5. 15.1.5抗 - parkinson药物通常通常不会减少异常运动(延迟的Dyskinzia),例如苯丙胺化合物,保留衍生物等。在某些情况下,可能会破坏此类症状。
  6. 15.1.6据报道表达了恶性黑瘤。

16.药代动力学

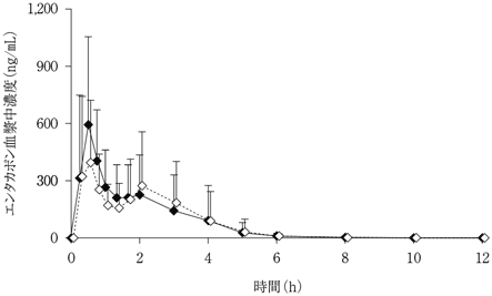
16.1血液浓度

  1. 16.1.1单一管理

    当这种药物100/10/100 mg被空腹给健康的成年男孩施用时,血浆中的左旋多巴在给药后达到了1.3小时的最大浓度,消失了一半的寿命为1.5小时。血浆中的Calvidpopa在给药后三个小时达到最大浓度,消失一半是1.8小时。等离子体中的Entacapon达到给药后0.5小时的最大浓度,损失的一半是1.1小时, 3) 4)

    Revodpapa,Calvodpupa,Calvidpopon和Entacapon的等离子体浓度过渡的Levodpopa,carbodpopon和Entertainment和levodpopa/carbidepopon单一代理(标准制备)的组合时100 mg或相同的剂量。
    ◆在服用该药物时,levodpopa calvidopa组合片和娱乐单一代理:平均值±标准偏差(n = 128)
    Revodpupa,Calvidpopon和Estacapon的药物风暴参数Revodpupa,levodpapa,carbodpopon和Entertainment,当levodopa/carbidopa复合锁和娱乐单特工(标准制剂)或100/10/100 mg的娱乐单位(标准制剂)的结合时,成年男孩

    管理(n = 128)

    cmax
    (ng/ml)

    tmax
    (H)

    泡泡质
    (ng/h/ml)

    T1/2
    (H)

    这种药物

    1,040±272

    1.33(0.25-4)

    2,210±498

    1.53±0.274

    标准准备

    1,120±323

    0.5(0.25-4)

    2,150±461

    1.54±0.204

    Calvidpopa

    管理(n = 128)

    cmax
    (ng/ml)

    tmax
    (H)

    泡泡质
    (ng/h/ml)

    T1/2
    (H)

    这种药物

    55.1±20.2