获取国外循环舌片5 mg /循环舌头下片10毫克jazh-CN药品价格,使用等信息,最快 24 小时回馈

出境医 / 海外药品 / 循环舌片5 mg /循环舌头下片10毫克jazh-CN

循环舌片5 mg /循环舌头下片10毫克jazh-CN

2016年5月

循环舌片5 mg /循环舌头下片10毫克

启发记录号

1179056F1021_1_07

公司代码

780009

创建或修订年

* 2021年10月修订(第二版)
2019年10月修订

日本标准产品分类编号

871179

医学分类名称

抗精神毒剂

批准,等等

循环舌头下片5mg

销售名称代码

YJ代码

1179056F1021

销售名称英语符号

Sycrest舌下平板电脑

销售名称Hiragana

Shakuri 5mg

批准号,等等。

批准编号

22800AMX00377000

销售日期

2016年5月2016年5月

储蓄 /有效期限

储蓄

室温保存

有效期

3年

法规类别

阳性药物

处方

笔记)预防措施 - 由医生的处方等。

循环舌头下片10mg

销售名称代码

YJ代码

1179056F2028

销售名称英语符号

Sycrest舌下平板电脑

销售名称Hiragana

10mg 10mg

批准号,等等。

批准编号

22800AMX00378000

销售日期

2016年5月2016年5月

储蓄 /有效期限

储蓄

室温保存

有效期

3年

法规类别

阳性药物

处方

笔记)预防措施 - 由医生的处方等。

一般名称

Asena Pins船酸

2.反对(不给下一个患者施用)

  1. 2.1该成分过敏史的患者
  2. 2.2患者昏迷[可能会使昏迷恶化。这是给出的
  3. 2.3患者在中枢神经抑制剂(如balbis酸衍生物)的强烈作用下[中枢神经系统抑制。这是给出的
  4. 2.4例服用肾上腺素的患者(不包括肾上腺素用于过敏反应的急诊治疗) ,
  5. 2.5严重肝功能障碍的患者(Child-Pugh分类C) ,

3.组成 /特性

3.1组成

循环舌头下片5mg

有效成分(在1片中有1个)
7.03毫克的Asena Pins船酸
(5.00毫克ASENA针)
添加剂明胶,d -mannitol

循环舌头下片10mg

有效成分(在1片中有1个)
Asena Pin Maleate 14.06毫克
(10.00毫克Asena Pins)
添加剂明胶,d -mannitol

3.2准备属性

循环舌头下片5mg

药物圆形片剂(冷冻干燥物品)
语气白色 - 白色
外形表面
后退
尺寸直径约12mm
厚度约3毫米
大量的约25mg

循环舌头下片10mg

药物圆形片剂(冷冻干燥物品)
语气白色 - 白色
外形表面
后退
尺寸直径约12mm
厚度约3毫米
大量的大约31毫克

4.功效 /效果

精神分裂症

6.剂量 /剂量

*通常,对于成年人来说,每天从舌头给药的Asena Pins每天开始两次5毫克5毫克。维持剂量为每天两次5毫克,根据年龄和症状,最大剂量适当增加或减少,但最高剂量为每天两次10 mg。

8.重要的基本预防措施

  1. 8.1在早期给药,重新给药或剂量增加时,它可能基于α-交感神经阻塞动作具有正常的低血压,因此请仔细观察患者的病情并减轻体重,如果出现低血压症状,请减轻体重。 。
  2. 8.2在给药期间,高血糖和糖尿病可能会恶化,引起糖尿病性酮症酸中毒和糖尿病性昏迷,因此在服用该药物,干嘴,多尿液,尿液,排尿频繁的过程中,请注意症状的表达,尤其是适用于糖尿病,其病史或自己或危险因素的患者。 , ,
  3. 8.3低血糖可能会出现,因此在该药物管理期间,请注意降血糖症状,例如虚弱,不适,冷汗,震颤,睡眠,意识障碍等,并观察血糖水平等。 ,
  4. 8.4在服用这种药物时,充分解释了患者及其家人的副作用,可以提前表达出8.2和8.3的副作用,并出现高血糖症状(口腔Thry,Hyperuria,Hyperuria,尿液频繁排尿等)。请注意低血糖(弱点,疲劳,冷汗,漫步,睡眠,意识障碍等),如果出现这种症状,请立即指导给药并指示去看医生。 , , , ,
  5. 8.5
  6. 8.6该药物的给药可能会导致体重波动(增加,减少),因此,如果仔细观察到该药物的重量,如果体重波动,则有必要必要。采取适当的措施。

9.具有特定背景患者的预防措施

9.1并发症和病史的患者

  1. 9.1.1精神 /血管疾病,脑血管疾病,低血压或其病史患者

    可能会发生血压下降。

  2. 9.1.2抽搐性疾病,例如癫痫或患有这些病史的患者

    抽搐可能会减少。

  3. 9.1.3患有心律不齐病史或先天性QT延伸综合征患者

    可能会出现QT扩展。

  4. 9.1.4自杀规划的过去和自杀思维的患者

    可能会出现支持思维和自杀计划。

  5. 9.1.5糖尿病患者或其现有病史或糖尿病患者,例如糖尿病,高血糖和肥胖症

    , ,

  6. 9.1.6患有帕金森氏病或征税小体痴呆症患者

    综合征Malin更有可能发生。除了外在道路症状的恶化外,还可以表达症状,例如混乱,意识水平的降低以及伴有下降的位置不稳定的症状。

  7. 9.1.7具有危险因素的患者,例如不可移动,长期说谎,肥胖,脱水等。

9.3肝功能障碍患者

  1. 9.3.1严重肝功能障碍的患者(儿童-PUB分类C)

    不要管理。血液浓度可能会增加。 ,

  2. 9.3.2中度肝功能障碍患者(儿童-PUB分类B)

    血液浓度可能会上升。

9.5孕妇

对于可能怀孕的孕妇或妇女,只有确定治疗超过危险的治疗时才进行管理。据报道,新生儿在怀孕后期被施用,新生儿患有戒断症状,​​例如喂养,饥饿,呼吸系统疾病,通风,肌肉张力和易感性。在动物实验(兔子,大鼠)中,在生殖毒性测试中未认识到稀饭,但是植入后,胚胎损失率的数量和出生率增加(大鼠)(大鼠)以及胎儿和出生儿童(大鼠)的体重增加。兔子,大鼠),对出生儿童(大鼠)的身体和功能发育的影响1)

9.6母乳喂养妇女

考虑到治疗的益处以及母乳营养的益处,考虑到母乳喂养的持续或取消。据报道,动物实验(大鼠)将转移到牛奶2)

9.7个孩子,等等。

尚未对儿童进行国内临床试验。

9.8老年人

仔细观察患者的病情时仔细地划清。由于暴露的增加,已经确认了对老年人的接触量。

10.互动

  • 该药物是CYP1A2 CYP1A2的底物。另外,该药物轻度抑制CYP2D6。

10.1禁忌症(未一起使用)

毒品名称,等等临床症状 /度量方法机械 /危险因素

肾上腺素(除非用于过敏性紧急治疗)

  • (Bosmin)

,

肾上腺素的作用可能会逆转,导致严重的血压下降。

肾上腺素是肾上腺素工作α和β受体的兴奋剂。

10.2联合用途(请小心使用)

毒品名称,等等临床症状 /度量方法机械 /危险因素

中枢神经系统抑制剂

  • (巴比索尔酸衍生物等)

酒精

注意不要减肥,因为它具有中枢神经系统抑制作用。

该药物和这些药物具有中枢神经约束。

多巴胺演员

效果可以彼此减少。

由于该药物具有多巴胺阻塞作用,因此在多巴胺手术神经系统中可能会拮抗该作用。

抗高血压

降压作用可能会增强。

该药物的α受体阻断作用可以增强降压药的作用。

抗胆碱作用的药物

有增强抗胆碱化作用的风险。

由于组合,抗胆碱效应可能会出现强烈的效应。

抑制CYP1A2的药物

  • (毛burboxamine等)

该药物的血液浓度可能会增加,并且可能会增强作用。

这些药物可能会抑制该药物的代谢,因为它们抑制了CYP1A2。

帕罗西汀

据报道,当这种药物期间单独给帕罗西汀时,帕罗西汀CMAX和AUC分别增加了82%和92%。当帕罗西汀在这种药物的给药过程中启动时,请仔细地给予帕罗西汀给药,以减少帕罗西汀的量并进行足够的观察。

Paroxetine由CYP2D6代谢,并具有CYP2D6抑制作用。该药物可以增强帕罗西汀的CYP2D6抑制作用。

已知扩展QT的药物

可能会出现QT扩展。

联合使用可能会增加QT扩展效应的量。

11.副作用

由于可能会出现以下副作用,因此请采取足够的观察并采取适当的措施,例如如果发现异常,停止给药。

11.1严重的副作用

  1. 11.1.1综合征Malin(小于1%)

    如果您被认为是发烧,没有动态的静音,强烈的肌肉僵硬,吞咽困难,心动过速,血压波动,出汗,白细胞增加,血清CK增加,停止给药并冷却身体。采取适当的措施。采取适当的措施以及整个身体管理,例如水合。请注意,伴有肌红蛋白尿液的肾功能可能会降低,这可能导致急性肾脏疾病。

  2. 11.1.2延迟的吉斯迪亚(少于1%)

    可能会出现异常的运动,例如嘴周围的运动,并且在政府暂停后可能会持续。

  3. 11.1.3肝功能障碍(频率未知)

    可能会出现随着AST,ALT,γ-GTP,Al-P等的升高而出现的肝功能障碍。

  4. 11.1.4休克,过敏反应(都经常未知)
  5. 11.1.5舌头肿胀(小于1%),咽水肿(频率未知)

    请注意,它可能伴有吞咽困难或呼吸困难。

  6. 11.1.6高血糖,糖尿病性酮症酸中毒,糖尿病昏迷(均经常未知)

    如果高血糖或糖尿病恶化,则可能导致糖尿病性酮症酸中毒和糖尿病性昏迷,因此对血糖水平,口干,多尿和尿液的足够观察。进行进行,应进行适当的治疗。 , ,

  7. 11.1.7低血糖(频率未知)

    如果低血糖症状(例如无力,不适,汗水,漫步,睡眠和意识障碍)得到认可,请停止给药并采取适当的措施。 ,

  8. 11.1.8水平肌肉熔化(频率未知)

    如果观察到肌肉疼痛,无力,CK增加,血液和尿脱珠蛋白上升等,请取消给药并采取适当的措施。还要注意由于水平肌肉融化而引起的急性肾脏疾病的发展。

  9. 11.1.9 Ag Agranulocyte(频率未知),白细胞还原(小于1%)
  10. 11.1.10肺栓塞,深静脉血栓形成(都经常未知)

    由于已经报道了诸如肺栓塞和静脉血栓形成之类的血小板病,因此可以观察到呼吸,胸痛,肢体疼痛,水肿等,例如停止给药。进行治疗。

  11. 11.1.11抽搐(小于1%)
  12. 11.1.12 palmetal ileus(频率未知)

    可能会发生肠瘫分析(厌食症,恶心和呕吐,明显的便秘,腹部停滞和肠道含量停滞的症状)可能会出现,并且可能会转移到瘫痪的伊莱斯(Carypatizatians),因此,如果出现肠道瘫痪。中止行政管理。

11.2其他副作用

5%或更多

少1-5%

小于1%

未知频率

血液和淋巴疾病

中性球减小

内分泌障碍

催乳激素血症

代谢和营养疾病

高度食欲,血脂异常,食欲降低,高脂血症

体液的积累

精神疾病

极端,失眠

进攻,焦虑,轻松刺激,情绪流动,恐慌发作,平静,睡眠障碍,自杀心理

混乱,精神疾病障碍,噩梦,躁狂,抑郁症

神经系统障碍

Akasisia,浮动的头晕, - pyramidal道路障碍,喇叭(12.9%)

品尝异常,头痛,珀金森主义,镇静,震颤

运动马虎,妥协疾病,运动​​障碍,肌张力障碍,感觉输注,晕厥,舌头瘫痪,下颌

下肢非组织综合征

眼睛障碍

调节障碍,眼痛,眼球旋转攻击,雾气

心脏病

心cave,心动过缓,心动过速

洞穴心动过速,腿部障碍

血管障碍

高血压,低血压

体位性低血压

呼吸系统疾病

呼吸困难

喉咙勒死,咽的沉闷

胃肠道疾病

口腔感觉钝(10.1%)

便秘,恶心,口腔不适,唾液,呕吐,嘴幻觉

口腔溃疡形成,腹部不适,吞咽困难,舌头疼痛

彩色牙齿,气孔炎,口腔粘膜水泡形成

肝脏障碍

肝功能异常

皮肤和皮下组织障碍

不同的汗水湿疹,大豆,虾湿疹,多努力,皮疹,脱发

面部肿胀,荨麻疹,血管水肿,全身性皮疹

肌肉骨骼系统和结缔组织障碍

肌肉,肌肉张力,肌肉骨骼僵硬,肢体疼痛,肌肉疼痛,关节疼痛

肌肉痉挛,肌肉痉挛,关节肿胀,较低的肌肉无力

肾脏和尿路疾病

尿液,尿失禁

生殖系统和乳房疾病

月经不规则

牛奶泄漏,不敏感的中和

免疫系统障碍

高敏性

通用 /全身性障碍和管理站点的状况

口渴,不适

嘈杂,胸部不适,疲劳,步行障碍,外周水肿,水肿

异常感觉,当地肿胀

临床检查

体重增加

Alt增加,AST增加,血液CK增加,血液催乳素增加,γ-GTP增加,体重减轻

血液胆固醇,血糖增加,血液胰岛素增加,血液甘油三酸酯的增加,生态学QT,嗜酸性粒细胞数量增加,糖脂蛋白增加,低特异性脂肪蛋白增加,尿蛋白阳性,血液ALP的增加。

心率增加,血压增加

其他的

摔倒

13.服用过量

  1. 13.1症状

    尽管几乎没有关于过度的信息,但据报道它是临床症状,例如克服,混乱,acasizia,口服脸部肌张力障碍,镇静症状和无症状心电图检查结果(Lodgular,上心室和室内导电性传导延迟)。

  2. 13.2行动

    在低血压和循环崩溃的情况下,请勿给予肾上腺素,多巴胺或其他β刺激剂,因为它可能会进一步恶化低血压。在严重的外道路症状的情况下,会施用抗胆碱蛋白。 ,

14.适用的预防措施

14.1药物分配的预防措施

由于与普通平板电脑相比柔软,因此不适合自动包装机。

14.2发出毒品的预防措施

在以下几点中向患者等指导。

  • 从水泡座椅上拿出口号。由于薄纸的意外摄入,牢固的角落可能会插入食管粘膜中,甚至可能发生严重的并发症,例如拟人炎。
  • 从水泡板上取出时,将座椅剥落在后面的座椅上,然后慢慢拿出平板电脑并取出。不要压碎平板电脑。如果缺少或破裂,请将整个量放在舌头下。由于该药物比普通平板电脑柔软,因此,如果您尝试将其推出,切割或打破床单而不将其剥落,则可能会破裂。
  • 因为它是吸湿性的,所以在使用前用干手将其从水泡片中取出,然后立即将其放在舌头下。
  • 该药物不得吞咽,因为它被舌下的口服粘膜吸收并具有作用。
  • 下属管理后,没有水,避免进食和饮用10分钟。

15.其他预防措施

15.1基于临床用途的信息

  1. 15.1.1在用这种药物治疗期间,已经报道了未知原因。
  2. 15.1.2在17例具有精神症状的老年患者(批准外部影响,效果)的临床试验中,与国外实施的痴呆症相关的药物管理组是Presivatubo管理组,据报道,死亡率为1.6,至1.6至比那高1.7倍。在国外的一项外国流行病学调查中也报道了标准的抗精神病药参与死亡率的增加,例如非典型抗精神病药。

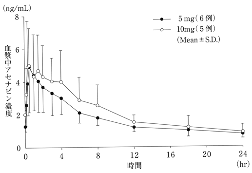
16.药代动力学

16.1血液浓度

  1. 16.1.1单一管理

    当日本健康的5毫克Asena Pins 5 mg的日本健康成年人单独施用时,药代动力学参数如下

    表1日本健康成年人单个时间给药期间的艾纳平的药代动力学参数

    剂量(mg)

    评估数量

    tmax a)
    (HR)

    cmax
    (ng/ml)

    T 1/2
    (HR)

    AUC 0-∞
    (ng/hr/ml)

    6

    1.25
    (0.50-4.03)

    3.31±1.71

    17.1±6.1

    26.4±8.0

    平均值±SD
    a)培养基(最小值至最大值)

  2. 16.1.2重复给药

    当日本健康的成年人每天两次用作5 mg和10毫克的Asena销钉,持续6天6天,在最终给药后血浆的等离子体ASENA ASENA PIN浓度和当时的药代动力学参数如下。当每天两次给药10 mg时,它在3天内达到稳态

    在重复日本健康成年人期间处于稳定状态的情况下
    表2日本的药代动力学参数(在最终给药之后)在给药过程中

    剂量(mg)

    评估数量

    tmax a)
    (HR)

    cmax
    (ng/ml)

    T 1/2
    (HR)

    AUC 0-12小时
    (ng/hr/ml)

    6

    0.50
    (0.50-1.50)

    5.05±2.58

    35.5±20.2

    29.4±10.3

    1.00
    (0.33-1.50)

    5.39±2.49

    27.8±7.9

    37.5±16.6

    平均值±SD
    a)培养基(最小值至最大值)

16.2吸收

  1. 16.2.1餐和饮用水的影响

    当一个健康的成年人被固定并在高脂早餐后立即固定时,一旦消耗高脂饮食,Ausenapine的AUC 0-∞就减少了21%。此外,当餐后四个小时后,餐食被餐食降低了13 (外国数据)。
    当健康的成年人每天一次服用10毫克的Asena销时,在10分钟后的水后10分钟,水就不会影响药物。另一方面,在管理后5分钟或2分钟消耗水时,Asenapine的AUC 0-24小时下降了10%,19%, 5)

16.3分布

体外测试中,该药物对人血浆蛋白的键率很高,浓度为1至500 ng/ml的平均键为97.3%(外来数据

16.4代谢

亚纳平被广泛代谢,血浆中的主要代谢产物为N + - 葡萄糖酸糖酸盐,N折射的身体,N-射手N-甲基N-卡巴胺葡萄糖酸拥抱,不愉快的身体。确认了少量数量7) (外国数据)(外国数据)。
In Vitro exams using human liver mikrosomes, this drug was suggested that this drug was received by CYP2D6 and CYP3A4, which was also metabolized by CYP2D6 and CYP3A4, with this drug under the UGT1A44444444444444444444444444444 and cyp3a4, Cyp3a, Cyp, suggest , and the sseum

16.5排泄

当健康的成年人被[ 14 C]的10 mg Asena引脚施用时,在尿液和粪便中排泄给药后的11天内,有88%的放射性施用(尿​​液为49%,粪便,粪便39%)。在尿液中,n + - 葡萄糖酸糖酸拥抱是主要的代谢产物(剂量的10%至21%),并且最不变的身体被排出(剂量的5-16%) 7。) (外国数据)。

16.6个具有某些背景的患者

  1. 16.6.1肾功能障碍期间的血浆浓度

    当Asena Pins 5 mg捐赠给具有各种肾功能障碍(非二氧蛋白)的人时,与普通的肾功能相比,Ausenapine AUC 0 -∞是1.03至1.31倍。9) (外来数据)。

  2. 16.6.2肝功能障碍期间的血浆浓度

    当Asenapine 5 mg以单时间方式进行(Child-Pugh分类c)时,当Asena Pins 5 mg(Child-Pugh分类A到C)(Child-Pugh分类A至C)是一组肝功能障碍(儿童) -pugh分类c)AUC 0-∞大5.5倍,但在轻度或中度的肝功能障碍(Child -Pugh分类A,B)中,它与肝功能正常组相同。无血浆蛋白AUC 0-∞严重肝功能障碍中的一组肝功能障碍大7.7倍,但是在轻度或中度的肝功能障碍组,肝功能正常组中。
    肝功能障碍(Child-Pugh分类B,C)是中等或严重的,当Asena引脚0.3 mg(Child-Pugh分类A至C)是中度或严重的肝功能障碍(Child-Pugh分类B,C) Asenapine的比组大2.2倍,大2.1倍。另一方面,在轻度的肝功能障碍(儿童-Pub分类A)中,它与肝功能组相同。 AUC 0-∞是一种无血浆蛋白质结合类型,处于中度或重度肝功能障碍。