4006 776 356
免费咨询 9:00-18:00
获取国外Sennoside片12mg“ Holi”jazh-CN药品价格,使用等信息,最快 24 小时回馈
出境医 / 海外药品 / Sennoside片12mg“ Holi”jazh-CN
Sennoside片12mg“ Holi”jazh-CN
2018年1月
Sennoside片12mg“ Holi”
创建或修订年
- 创建于2018年1月(第一版)
日本标准产品分类编号
- 872354
日本标准产品分类编号,等等。
- 重新评估结果公告年(最新)
- 1981年8月
医学分类名称
- 宽松
批准,等等
- 销售名称
- Sennoside片12mg“ Holi”
销售名称代码
- 2354003F2421
批准 /许可号码
- 批准编号
- 22900AMX00693000
- 商标
- Sennoside Tab.12mg“ Horii”
药品价格标准日期
- 2017年12月
销售日期
- 2018年1月
储蓄,到期日期等
- 储蓄
- 室温保存
- 截止日期
- 在外部框中显示的截止日期内使用。
作品
- 成分和内容(在1片中)
- 一片含有12毫克的塞纳糖苷A和B作为钙盐。
- 添加剂
- 乳糖氢气,玉米,羟基丙糖纤维素,十字杆菌,硬脂酸镁,氢化镁,氢化蛋白,白糖,沉积物,沉积钙,沉积碳酸盐,Arava橡胶,Galatin,Tark,Tark,Tark,Tick,钛5
特点
- 颜色 /动态形状
- 深红色的红糖锁
- 外部形状 /尺寸表

- 外部形状 /大小

- 外部 /尺寸侧

- 外部 /尺寸直径(mm)
- 7.6
- 外部 /尺寸厚度(mm)
- 4.5
- 外部 /尺寸重量(mg)
- 200
- 识别代码
- HR209
一般名称
- 塞纳固醇的准备
限制(请勿对下一个患者进行管理)- 1。
- 该药物的成分或塞纳糖苷配方过敏的患者
- 2。
- 怀疑有急性腹部急性腹部的患者,抽搐的便秘患者[超前的运动可能会恶化诸如腹痛之类的症状。这是给出的
- 3。
- 严重凳子的患者。这是给出的
- 四个。
- 电解质患者(尤其是低钾血症)应避免大量给药。这是给出的
|
原则上是禁忌的(原则上,它不会对下一个患者进行管理,但请在必要时仔细管理)- 孕妇或可能怀孕的妇女(请参阅孕妇的管理,妇产科,护理妇女等。”
|
功效或效果
- 便秘
用法和剂量
- 作为塞诺糖苷A / B(或其钙盐),在上床睡觉前会产生12至24 mg(该药物的1至2片)。
高便秘一次可以增加到48 mg(该药物的4片)。
此外,根据年龄和症状,它将适当地增加或减少。
使用预防措施
谨慎的管理
(请小心地给下一个患者管理)
- 腹部手术后的患者。这是给出的
重要的基本预防措施
- 避免长期连续使用,因为由于连续使用而导致的耐药性增加并倾向于依靠药物,效果会降低。
副作用
- 该药物不进行调查,以阐明副作用的频率,例如用法调查。
- 高敏性注1)
- (频率未知)
- 皮疹等
- 代谢 /营养
- (频率未知)
- 低钾血症,低钠血症,脱水
- 心血管系统
- (频率未知)
- 降低血压
- 消化器官
- (频率未知)
- 腹部不适,大肠黑色素病注2) ,腹痛,腹泻,恶心 /呕吐,饥饿
- 肝
- (频率未知)
- Alt(GPT)增加,AST(GOT)增加,γ -GTP增加,血液胆红素
- 肾脏 /泌尿科
- (频率未知)
- 肾脏障碍,彩色尿液加3)
- 系统性症状
- (频率未知)
- 疲劳
- 注意1)停止管理并采取适当的措施。
- 注2)可以通过长期使用来表示。
- 注3)它可能是淡黄色或红色。
老年人的管理
- 通常,由于老年人的生理功能降低,因此仔细管理。
管理孕妇,妇产科妇女等。
- 1。
- 对于可能怀孕的孕妇或妇女,只有在确定治疗要超过危险的情况下才有必要管理。 [尚未确定怀孕期间的管理安全。这是给出的
此外,在给药的情况下,子宫的收缩是诱发的,并且存在早产的风险,因此可能怀孕的妇女可能不会大量服用。 - 2。
- 希望避免母乳喂养的妇女。 [据报道,当sennosid被送给一位女士时,婴儿患有腹泻。这是给出的
给儿童的管理等
- 尚未确定低出生体重,新生儿和婴儿的安全性。 [我没有经验。这是给出的
适用的预防措施
- 在毒品时
- PTP包装药物应从PTP纸中取出并教给它。 (据报道,PTP纸的难度 - 远处的尖锐角刺入食管粘膜中,进一步引起穿孔并引起严重的并发症,例如纵隔炎)。
药物
- 塞纳塞德(Sennoside)通过口服给药后的endose的作用产生雨水,并增强大肠的蠕动。 1),2)
通常在口服后8到10小时内表达sennoside的作用。 3)
有关活性成分的物理和化学知识
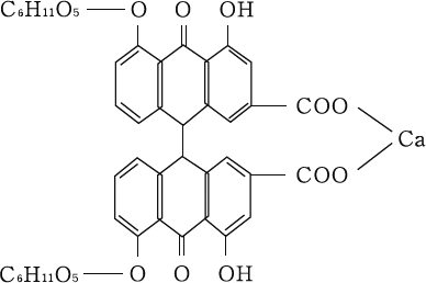
- 结构公式

- 通用名称
- sennoside A / B钙盐
- 化学名称
- 二氢 - 二旋heinanthrone葡萄糖钙钙盐
- 分子
- C 42 H 36 O 20 Ca
- 分子量
- 900.80
- 特点
- Sennoside A和B彼此相处三维皮带,钙盐为棕色至黑棕色粉末,味道略有独特,味道略有苦味。该产物很容易溶于水,几乎不溶于乙醇(95)和乙醚。
处理的预防措施
- 稳定性测试
- 由于使用最终包装产品的加速测试(40°C,75%RH,6个月),据推测,在正常市场分布下,Sennoside片12毫克“ Holi”稳定了三年。四)
包装
- PTP:100片(10片X 10)
1,000片(10片X 100) - 玫瑰:1,000片
主要文献和文档请求目的地
主要文献
- 1)
- Sasaki,K。等人:Pranta Medica。37,370,1979
- 2)
- Lemli,J。等人:药理学,20(增刊),50,1980
- 3)
- piegsa-espotchotte,i。:arztl。Wschr。9,499,1954
- 四)
- Horii Pharmaceutical Co.,Ltd。:在 - 房屋材料(稳定性测试)中
文学要求
- 请在下面请求以下在主要文献列中描述的内部材料。
Horii Pharmaceutical Co.,Ltd。安全信息部 - 大阪Chuo-ku的Uchi-Awaji-Cho 1-2-6 540-0038
- 电话06(6942)3487
- 传真06(6942)1505
制造商等的姓名或名称和地址等。
- 制造和分销商
- Horii Pharmaceutical Co.,Ltd。
- 1-2和6,Chuo -Ku,Chuo -Ku,大阪