4006 776 356
免费咨询 9:00-18:00
获取国外Ursodoro Xicolic Acid片50mg“ Teva” / Ursodoxicicaen药品价格,使用等信息,最快 24 小时回馈
出境医 / 海外药品 / Ursodoro Xicolic Acid片50mg“ Teva” / Ursodoxicicaen
Ursodoro Xicolic Acid片50mg“ Teva” / Ursodoxicicaen
Ursodoro Xicolic Acid片50mg“ Teva” / Ursododoxicicacolic Acid片剂100mg“ TEVA”
创建或修订年
- **马克:在2020年1月修订(第19版)
- *标记:2016年10月修订
日本标准产品分类编号
- 872362
日本标准产品分类编号,等等。
- 重新评估结果(质量重新评估)
- 2004年9月
- 功效或效力额外批准日期(最新)
- 2009年12月
医学分类名称
- 肝 /胆 /消化功能改善剂
批准,等等
- 销售名称
- Ursodoxicol Acid片剂50 mg“ Teva”
销售名称代码
- 2362001F1134
批准 /许可号码
- 批准编号
- 22500AMX01309000
- 欧洲商品名称
- Ursoxycholic Acid Tab。50mg“ Teva”
药品价格
- 2013年12月
销售开始
- 1998年7月
到期日期,等等。
- 积累
- 室温保存
- 截止日期
- 在外观上显示的到期日期内使用。
标准名称
- 日本药房
- Ursododoxicolicac片剂
作品
- 一台平板电脑:
- Ursodexoxolic酸…………50mg
- <加法>
- Carmeloice钙,轻质无水漫画,晶体纤维素,硬脂酸镁,Tomolo koshidemin,hydrox propircellulose
特点
- 这是白色的裸片,没有气味,有苦味
- 识别码(PTP)
- 我们

- 外部形状(尺寸)
表(直径毫米)
6.0- 外部形状(尺寸)
背部(重量毫克)
70- 外部形状(尺寸)
侧(厚度毫米)
2.2
- 销售名称
- Ursodoro Xicolic Acid片剂100mg“ Teva”
销售名称代码
- 2362001F2246
批准 /许可号码
- 批准编号
- 22500AMX01310000
- 欧洲商品名称
- ursoxyoxycholic酸片。100mg“ teva”
药品价格
- 2013年12月
销售开始
- 1998年7月
到期日期,等等。
- 积累
- 室温保存
- 截止日期
- 在外观上显示的到期日期内使用。
标准名称
- 日本药房
- Ursododoxicolicac片剂
作品
- 一台平板电脑:
- Ursodoxolic Acid…………100mg
- <加法>
- Carmeloice钙,轻质无水漫画,晶体纤维素,硬脂酸镁,Tomolo koshidemin,hydrox propircellulose
特点
- 这是一个白色的 - 侧面1/20 -per -rate射线,带有没有气味且具有苦味的平板电脑。
- 识别码(PTP)
- 我们

- 外部形状(尺寸)
表(直径毫米)
8.0- 外部形状(尺寸)
背部(重量毫克)
140- 外部形状(尺寸)
侧(厚度毫米)
2.5
限制(请勿对下一个患者进行管理)- 1。
- 完全胆道阻塞的患者[由于家庭作用,症状可能更糟]
- 2。
- 肝炎戏剧性的患者[症状可能恶化]
|
功效 /效果
- 1.○对以下疾病的兴趣
- 具有胆道(胆管 /粗体)疾病和胆汁停滞的肝病
- ○慢性肝病中肝功能的改善
- ○以下疾病困难
- 去除小肠后,炎性小肠病
- 2.溶解无法识别外壳计算的胆固醇胆结石
- 3.改善原发性胆汁肝病的肝功能
- 4.改善慢性肝病的肝功能
<与效果相关的使用预防措施>
- 核肝硬化中肝功能的改善:
- ・如果在硬化阶段对黄疸病的患者施用,请小心,因为症状可能会恶化。如果可以看到血清胆红素水平的兴起,请采取适当的措施,例如停用管理。
- 改善慢性肝病的肝功能:
- ・对于C型慢性肝病,希望首先考虑病毒排除疗法。该药物没有消除病毒作用,目前尚不清楚将肝功能提高到C型慢性肝脏疾病的长期预后,因此对于无法应用干扰素治疗或干扰素治疗以消除病毒消除的患者。考虑使用这种药物。
- ・尚未确定非补偿肝硬化患者的功效和安全性。当给高度黄疸患者时,请仔细给药,因为症状可能会恶化。如果可以看到血清胆红素水平的兴起,请采取适当的措施,例如停用管理。
用法 /剂量
1。- 通常每天三次给厄霉羟氧甲酸给50毫克成年人施用。此外,根据年龄和症状,它将适当地增加或减少。
2。- 为了溶解不允许外壳计算的胆固醇的胆结石,通常每天将600毫克的成年人用作ursodexyxycholic Acid。此外,根据年龄和症状,它将适当地增加或减少。
3。- 为了改善原发性胆汁肝硬化的肝功能,通常将600毫克的成年人分为三倍,为Ursododoxicolicac。此外,根据年龄和症状,它将适当地增加或减少。增加剂量时每天的最大剂量为900 mg。
四个。- 为了改善慢性肝病中的肝功能,由于乌尔索德氧甲酸,通常每天三次服用600毫克成年人。此外,根据年龄和症状,它将适当地增加或减少。增加剂量时每天的最大剂量为900 mg。
使用预防措施
谨慎的管理
(请小心地给下一个患者管理)
- 1。
- 严重胰腺疾病的患者[原始疾病可能恶化]
- 2。
- 消化溃疡的患者[粘膜刺激作用可能导致症状恶化]
- 3。
- 胆管中有胆结石的患者[由于家用作用可能导致胆汁停滞]
相互作用
合并用途的注释
(请注意联合使用)
- 1。磺酰基尿素为导向的糖尿病,例如药物名称,torbutamide等。
- 临床症状 /度量方法
- 有增强血糖的风险。
- 机械 /危险因素
- 据报道,这种药物阻碍了血清白蛋白和Torubbamide之间的键。
- 2。化学名称等。胆碱胺等。
- 临床症状 /度量方法
- 由于该药物的作用可能会降低,因此请尽可能多地给予它。
- 机械 /危险因素
- 有可能延迟或减少该药物的吸收。
- 3。药物名称,例如铝制凝胶等。铝制凝胶等。
- 临床症状 /度量方法
- 该药物的作用可能会削弱。
- 机械 /危险因素
- 含有铝的酸控制剂可能会吸附该药物并抑制该药物的吸收。
- 四个。绘制名称,脂质下代理,Crofibrato等。
- 临床症状 /度量方法
- 当该药物用于胆固醇胆结石溶解的目的时,该药物的作用可能会降低。
- 机械 /危险因素
- Cropibrato可以促进胆固醇胆结石,因为它将胆固醇分泌成胆汁。
副作用
概述表达状态,副作用
- 该药物不进行调查,以阐明副作用的频率,例如用法调查。
严重的副作用(频率未知)
间质性肺炎可能会出现发烧,咳嗽,呼吸困难和胸部X射线异常的肠内肺炎,因此,如果出现这些症状,将停止适当的给药,肾上腺皮质激素药物适当。进行治疗。另一个副作用
- 1.消化
- 未知频率
- 腹泻,恶心,厌食,便秘,胸部,胃痛,腹痛,呕吐,呕吐
- 2.超敏反应
- 未知频率
- 是的,瘙痒,皮疹插入) ,荨麻疹) ,红斑(多边形散发性红细胞等))
- 3.肝脏
- 未知频率
- AST(GOT)增加,ALT(GPT)增加,Al-P增加,胆红素上升,γ-GTP增加
- 4.其他
- 未知频率
- 整个身体的疏忽,头晕,白细胞减少
- 注意)如果出现这种症状,请采取适当的措施,例如停用给药。
老年人的管理
- 通常,老年人的生理功能降低,因此请注意剂量。
管理孕妇,妇产科妇女等。
- 希望不对可能怀孕的孕妇或妇女进行管理。 [动物实验(大鼠)报告胎儿毒性(胎儿吸收),通过在怀孕早期和怀孕早期给予大量(2,000 mg/kg/day)]。
适用的预防措施
- 在药物时:
- PTP包装药物应从PTP纸中取出并教给它。 (据报道,PTP纸的难以到叶片在食管粘膜中有一个硬尖的角,并且严重的并发症(如纵隔炎)是由穿孔引起的)。
药代动力学
- 1.生物当量测试1)
- ●Ursodecixicac Acid片剂50 mg“ Teva”
- 将50 mg“ TEVA”和标准制剂的Ursodoro Xicolic Acid片剂和2片(100 mg作为Ursodecicolic Acid)给予健康的成年男孩,以测量血清中未改变的身体浓度。 (AUC,CMAX),两种药物的生物等效性都得到了证实。

- ●Ursodoro Xicolic Acid片剂100mg“ Teva”
- 通过交叉方法,Ursodoro Xicolic Acid片100 mg“ Teva”,标准制剂是一种片剂(100 mg作为Ursodio xicolic Acid),这是一种快速耗尽的轨道方式,可以测量血清中不愉快的体内浓度。对获得的药代动力学参数(AUC,CMAX)的统计分析,证实了两种药物的生物等效性。

- 2. inttion 2)
- 已经证实,Ursodoro Xicolic Acid片剂的可含量为50 mg“ Teva”和Urusodio poricolol 100 mg的“ Teva”符合日本药房规定的标准。
药代动力学表
Ursodoro Xicolic Acid片剂50 mg“ Teva”快速耗尽药物的口服给药(平均±标准偏差,n = 20)
| 剂量(mg) | AUC 0-8 (μg/hr/ml) | cmax (μg/ml) | tmax (HR) | T 1/2 (HR) |
| Ursodoxicol Acid片剂50 mg“ Teva” | 100 | 2.33±1.11 | 1.26±0.75 | 1.3±0.7 | 2.3±1.8 |
| 标准准备(平板电脑,50mg) | 100 | 2.30±1.16 | 1.18±0.75 | 1.2±0.8 | 3.4±5.6 |
血清浓度和参数(例如AUC和CMAX)可能会根据测试条件(例如选择受试者的选择,少年的次数等)而有所不同。
Ursodoro Xicolic Acid片剂100 mg“ TEVA”快速耗尽的口服药物(平均±标准偏差,n = 20)
| 剂量(mg) | AUC 0-8 (μg/hr/ml) | cmax (μg/ml) | tmax (HR) | T 1/2 (HR) |
| Ursodoro Xicolic Acid片剂100mg“ Teva” | 100 | 2.08±1.10 | 1.18±0.87 | 1.4±0.9 | 2.2±2.0 |
| 标准准备(平板电脑,100mg) | 100 | 2.03±1.12 | 1.16±0.71 | 1.6±1.3 | 1.8±1.7 |
血清浓度和参数(例如AUC和CMAX)可能会根据测试条件(例如选择受试者的选择,少年的次数等)而有所不同。
药物
间的(肝病流量和胆红素排泄的增加),肝病的增加,唇部吸收促进,胆固醇胆固醇不饱和作用,液晶形成效应(在胆汁中识别多功能液晶)。 。动物实验表明,血清胆固醇的降低,促进脂肪酶活性,促进胰液分泌,抑制胆结石,抑制肝HMG-COA还原酶活性和增加活性。 3)有关活性成分的物理和化学知识
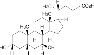
通用名称ursoxyoxycholic酸化学名称3α,7β-二羟基-5β-cholan-24- oic酸分子C24 H 40 O 4分子量392.57性欲味道苦,白色晶体或粉末。溶解在甲醇,乙醇(99.5)或乙酸(100)中,几乎不溶于水很容易。结构公式
处理的预防措施
稳定性测试结果的概述4)由于加速度测试(40°C,相对湿度75%,6个月),Ursodio poricolic Acid片剂50 mg“ Teva”和Urusodio teva和100 mg的100 mg“ TEVA”可能在正常市场分布中稳定3年。 。包装
- **●Ursodexolic酸片50 mg“ Teva”
PTP包装:100片(10片X 10),1,000片(10片X 100) - ●Ursodoro Xicolic Acid片剂100mg“ Teva”
*PTP包装:100片(10片X 10),1,000片(10片X 100)
玫瑰包装:1,200片
主要文献
- 1)
- Takeda Tebaphama Co.,Ltd。在房屋材料(生物等效测试)中
- 2)
- Takeda Tebaphama Co.,Ltd。在 - 房屋材料(洗脱测试)
- 3)
- **第七修订的日本药房评论
- 四)
- Takeda Tebaphama Co.,Ltd。在 - 房屋材料(稳定性测试)
文献请求 /产品信息查询
- *请在下面的主要文献列中索取文档和 - 房屋材料。
- Takeda Teba Farm Co.,Ltd. Takeda Teva di Center
- 1-24-11 Taiko,Nakamura-Ku,Nagoya 453-0801
- 电话0120-923-093
- 接待时间9:00-17:30(不包括周末和假期,我们的假期)
制造商等的姓名或名称和地址等。
- *销售
- 武田制药有限公司
- 4-1-1,大阪的Chuo-ku
- *制造和分销商
- Takeda Tebapmer Co.,Ltd.
- 1-24-11 Taiko,Nakamura -Ku,名古屋