4006 776 356
免费咨询 9:00-18:00
获取国外Ursodoro Xicolic Acid片50mg“ Towa” / ursodoxicicaco药品价格,使用等信息,最快 24 小时回馈
出境医 / 海外药品 / Ursodoro Xicolic Acid片50mg“ Towa” / ursodoxicicaco
Ursodoro Xicolic Acid片50mg“ Towa” / ursodoxicicaco
1997年7月
Ursodoro Xicolic Acid片50mg“ Towa” / Ursodoxicicacolic Acid片剂100mg“ Towa”
创建或修订年
- **于2020年7月修订(第10版,文件请求目的地 /产品信息查询)
- * 2018年10月修订(第9版)
日本标准产品分类编号
- 872362
日本标准产品分类编号,等等。
- 重新评估结果周年纪念年(最新)
- 2004年9月
- 功效或效力额外批准日期(最新)
- 2010年1月
医学分类名称
- 肝 /胆 /消化功能改善剂
批准,等等
- 销售名称
- Ursodoxicol酸片50mg“ Towa”
销售名称代码
- YJ代码
- 2362001F1118
批准 /许可号码
- 批准编号
- 22500AMX00722
- 欧洲商品名称
- Ursodoxycholic Acid片50mg“ Towa”
药品价格标准日期
- 2013年六月
销售日期
- 1997年9月
到期日期,等等。
- 保存方法:
- 室温保存
- 到期日期:
- 在外部盒子和标签中描述
标准名称
- 日本药房
- Ursododoxicolicac片剂
作品
- 1片中的活性成分
- 日本局厄霉霉毒剂酸... 50mg
- 添加剂
- tumoro -koshidepin,乳糖氢,汽车融化CA,羟基抗硬脂酸
特点
- 它是白色的,圆形的镜头形状的奖励。
- 身份代码/身体
- * TW U01
- 标识代码/包装
- * TW.U01
- 外部/表格
- *

- 外部/背部
- *

- 外部/侧面
- *

- 锁直径(mm)
- 6.0
- 厚度(mm)
- 2.9
- 质量(mg)
- 75
- 销售名称
- Ursodoro Xicolic Acid片100mg“ Towa”
销售名称代码
- YJ代码
- 2362001F2220
批准 /许可号码
- 批准编号
- 22500AMX00723
- 欧洲商品名称
- Ursodoxycholic Acid片100mg“ Towa”
药品价格标准日期
- 2013年六月
销售日期
- 1997年7月
到期日期,等等。
- 保存方法:
- 室温保存
- 到期日期:
- 在外部盒子和标签中描述
标准名称
- 日本药房
- Ursododoxicolicac片剂
作品
- 1片中的活性成分
- 日本局乌尔索德昔胆酸... 100mg
- 添加剂
- tumoro -koshidemin,晶体纤维素,波维德,杂交Na,轻质无水酸,硬脂酸盐mg
特点
- 这是一个白色的裸片,带有一条线,没有气味,味道很苦。
- 身份代码/身体
- TW U02
- 标识代码/包装
- TW.U02
- 外部/表格

- 外部/背部

- 外部/侧面

- 锁直径(mm)
- 8.0
- 厚度(mm)
- 2.7
- 质量(mg)
- 150
一般名称
- Ursododoxicolicac片剂
限制(请勿对下一个患者进行管理)- 1。
- 完全胆道阻塞的患者[由于家庭作用,症状可能更糟。这是给出的
- 2。
- 肝炎患者[症状可能恶化。这是给出的
|
功效 /效果
- 1. - 对以下疾病感兴趣
- 具有胆道(胆管 /粗体)疾病和胆汁停滞的肝病
- ・慢性肝病中肝功能的改善
- ・困难以下疾病
- 去除小肠后,炎性小肠病
- 2.溶解无法识别外壳计算的胆固醇胆结石
- 3.改善原发性胆汁肝病的肝功能
- 4. C型慢性肝病中肝功能的改善
与效果相关的使用预防措施
- 核肝硬化中肝功能的改善:
- ・如果在硬化阶段对黄疸病的患者施用,请小心,因为症状可能会恶化。如果可以看到血清胆红素水平的兴起,请采取适当的措施,例如停用管理。
- C型慢性肝病中肝功能的改善:
- ・对于C型慢性肝病,希望首先考虑病毒排除疗法。该药物没有消除病毒作用,目前,肝功能在C型慢性肝病的长期预后中的改善尚不清楚,因此对于无法应用干扰素治疗或干扰素治疗以消除病毒的患者而言。考虑使用这种药物。
- ・尚未确定非补偿肝硬化患者的功效和安全性。当给高度黄疸患者时,请仔细给药,因为症状可能会恶化。如果可以看到血清胆红素水平的兴起,请采取适当的措施,例如停用管理。
用法 /剂量
- 1。
- 通常每天三次给50毫克成年人施用乌尔霉毒剂。此外,根据年龄和症状,它将适当地增加或减少。
- 2。
- 对于不允许外壳钙化的基于胆固醇的胆结石的溶解,通常每天将600毫克的成年人用作Ursodoxicoxicalic酸。此外,根据年龄和症状,它将适当地增加或减少。
- 3。
- 为了改善原发性胆汁肝硬化的肝功能,通常将600毫克的成年人分为三倍,为Ursododoxicolicac。此外,根据年龄和症状,它将适当地增加或减少。增加剂量时每天的最大剂量为900 mg。
- 四个。
- 为了改善C型慢性肝病中的肝功能,通常将600毫克的成年人作为ursodexoxicacolic Action分为三个分裂。此外,根据年龄和症状,它将适当地增加或减少。增加剂量时每天的最大剂量为900 mg。
使用预防措施
谨慎的管理
(请小心地给下一个患者管理)
- 1。
- 严重胰腺疾病的患者[原始疾病可能恶化。这是给出的
- 2。
- 消化溃疡的患者这是给出的
- 3。
- 胆管中胆结石的患者[由于家用作用可能导致胆汁停滞。这是给出的
相互作用
合并用途的注释
(请注意联合使用)
- 1。磺酰基尿素为导向的糖尿病,例如药物名称,torbutamide等。
- 临床症状 /度量方法
- 有增强血糖的风险。
- 机械 /危险因素
- 据报道,这种药物阻碍了血清白蛋白和Torubbamide之间的键。
- 2。化学名称等。胆碱胺等。
- 临床症状 /度量方法
- 由于该药物的作用可能会降低,因此请尽可能多地给予它。
- 机械 /危险因素
- 有可能延迟或减少该药物的吸收。
- 3。药物名称,例如铝制凝胶等。铝制凝胶等。
- 临床症状 /度量方法
- 该药物的作用可能会削弱。
- 机械 /危险因素
- 含有铝的酸控制剂可能会吸附该药物并抑制该药物的吸收。
- 四个。绘制名称,脂质下代理,Crofibrato等。
- 临床症状 /度量方法
- 当该药物用于胆固醇胆结石溶解的目的时,该药物的作用可能会降低。
- 机械 /危险因素
- Cropibrato可以促进胆固醇胆结石,因为它将胆固醇分泌成胆汁。
副作用
概述表达状态,副作用
- 该药物不进行调查,以阐明副作用的频率,例如用法调查。
严重的副作用(频率未知)
内部肺炎:肺炎,发烧,咳嗽,呼吸困难和胸部X-射线异常,因此,如果出现这些症状,停止给药和肾上腺皮质激素药物。采取适当的措施,例如给药。另一个副作用
- 1.消化
- 未知频率
- 腹泻,恶心,厌食,便秘,胸部,胃痛,腹痛,呕吐,呕吐
- 2.超敏反应
- 未知频率
- 是的,瘙痒,皮疹插入) ,荨麻疹) ,红斑(多边形散发性红细胞等))
- 3.肝脏
- 未知频率
- AST(GOT)增加,ALT(GPT)增加,Al-P增加,胆红素增加,γ-GTP增加
- 4.其他
- 未知频率
- 整个身体的疏忽,头晕,白细胞减少
- 注意)如果出现这种症状,请采取适当的措施,例如停用给药。
老年人的管理
- 通常,老年人的生理功能降低,因此请注意剂量。
管理孕妇,妇产科妇女等。
- 希望不给可能怀孕的孕妇或妇女进行管理。 [动物实验(大鼠)通过在怀孕早期和怀孕早期给予大量(2,000 mg/kg/day)的胎儿毒性(胎儿吸收)。这是给出的
适用的预防措施
- 在药物时:PTP包装中的药物应从PTP纸中取出并指示服用。据报道,食管粘膜的难度很难在食管粘膜上具有硬尖角,然后引起严重的并发症,例如纵隔炎。这是给出的
药代动力学
- 1.生物当量测试
- (1)Ursodoxicol Acid片剂50 mg“ Towa”
- 在健康的成年男孩(n = 12)中,ursodio xicolicac Acid片50 mg“ TOWA”和标准配方50 mg(towa'和标准配方奶粉(200 mg为Ursodio xicolic Acid)(n = 12),通过跨界方法由禁食和无关紧要。分析获得的药代动力学计(AUC,CMAX),确认了两种药物的生物等效性(基于1980年5月30日的第718号药品综述。1) 1) 。


- 血清浓度和参数(例如AUC和CMAX)可能会根据测试条件(例如选择受试者的选择,少年的次数等)而有所不同。
- (2)100mg“ towa”
- Ursodio Xicolic Acid片剂100毫克“ TOA”和标准制剂被交叉(100 mg作为Ursodoroxycholic Acid)用于健康的成年男孩(n = 20),以固定血清均匀。对获得的药物体参数(AUC,CMAX)的分析,确认了两种药物的生物等效性(基于1980年5月30日的718号药物综述。) 2) 。


- 血清浓度和参数(例如AUC和CMAX)可能会根据测试条件(例如选择受试者的选择,少年的次数等)而有所不同。
- 2.在洗脱行为中
- 乌尔索多罗Xicolic酸片50 mg“ TOA”和Urusodio毒理片100 mg“ Towa”已被证实与日本药品中的Ursodoxicoxicacic片的洗脱标准兼容。3 )4) 。
药物
间际(肝病流量和胆红素排泄的增加),肝病的增加,唇部吸收促进,胆固醇胆固醇不饱和作用,液晶形成效应(胆汁中多功能液晶效应) 。 ) 。有关活性成分的物理和化学知识
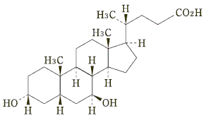
结构公式:
一般名称:ursoxyoxycholic Acid化学名称:3α,7β-二羟基-5β-Cholan-24- oic酸分子类型: C24 H 40 O 4分子量:392.57性:白色水晶或粉末,苦味。溶解在甲醇,乙醇(99.5)或乙酸(100)中,几乎不溶于水很容易。慢点:200-204°C处理的预防措施
稳定性测试由于使用最终包装产物(40°C,相对湿度,75%,6个月),Ursodio Xicicolic Acid片剂50 mg“ TOA”和Urusodio Xicolicac Acid片剂100 mg在正常的情况下市场分布。据估计它在三年6)7)中稳定。包装
- Ursodoro Xicolic Acid片50mg“ Towa” :100片,1000片(PTP)
- Ursodoro Xicolic Acid片100mg“ Towa” :100片,1000片(PTP)1000片(玫瑰)
主要文献和文档请求目的地
主要文献
- 1)
- Towa Pharmaceutical Co.,Ltd。在房屋材料中:生物等效测试(锁50mg)
- 2)
- Towa Pharmaceutical Co.,Ltd。in -House Materials:生物等效测试(锁100mg)
- 3)
- Towa Pharmaceutical Co.,Ltd。in -House Material:汇编测试(锁50mg)
- 四)
- Towa Pharmaceutical Co.,Ltd。in -House Materials:Ernuon测试(锁100mg)
- 五)
- 第七修订的日本药房评论,C-769,2016年
- 6)
- Towa Pharmaceutical Co.,Ltd。在房屋材料中:稳定性测试(锁50mg)
- 7)
- Towa Pharmaceutical Co.,Ltd。在房屋材料中:稳定性测试(锁100mg)
**文学要求 /产品信息查询
- Towa Pharmaceutical Co.,Ltd.学术部DI中心
- 570-0081 2-15,大阪莫里格奇·希奥西 - 乔
0120-108-932传真06-7177-7379- https://med.towayakuhin.co.jp/medical/
制造商等的姓名或名称和地址等。
- 制造和分销商
- Towa Pharmaceutical Co.,Ltd。
- KADOMA -SHI,大阪2nd No. 11 Shimbashi -Cho