4006 776 356
免费咨询 9:00-18:00
获取国外奇诺胶囊125jazh-CN药品价格,使用等信息,最快 24 小时回馈
出境医 / 海外药品 / 奇诺胶囊125jazh-CN
奇诺胶囊125jazh-CN
1984年4月
奇诺胶囊125
创建或修订年
- **修订于2016年5月(第5版)
- *修订2010年1月
日本标准产品分类编号
- 872362
- 改建结果公告年(最新)
- 1990年9月
医学分类名称
- 口服胆结石溶解剂
批准,等等
- 销售名称
- 奇诺胶囊125
销售名称代码
- 2362003M2031
批准 /许可号码
- 批准编号
- 21800AMX10382000
- 商标
- 奇诺
药品价格标准日期
- 2006年6月
销售日期
- 1984年4月
储蓄,到期日期等
- 储蓄
- 室温存储,密封竞赛
- 截止日期
- 显示在外盒子上
作品
- 产品名称
- 奇诺胶囊125
- 成分 /内容
- 1个胶囊含有125毫克的kenodio毒理酸
- **添加剂
- 晶体纤维素,硬脂酸镁,甲基纤维素,甲麦乳糖浆,糟糕的脂肪酸酯<br>胶囊包括硫酸钠硫酸钠硫酸钠,硫酸钠,硫酸钠,黄色No. 4(turradin),No. 3 No. 3,Red No. 3,蓝色1,Titanium氧化物,钛氧化物。
特点
- 外部 /属性
- 绿色不透明的3硬胶囊(内容是白色粉末)
- *识别代码
- 奇诺
- 外形

- 长期直径
- 约15.8毫米
- 直径短
- 约5.8毫米
一般名称
- Kenodexycholic酸
限制(请勿对下一个患者进行管理) 1。严重胆道和胰腺疾病的患者这是给出的2。严重的肝脏损害患者[肝代谢物可能会恶化肝脏损害。这是给出的3。肝脏和胆道痕迹患有阻塞性病变的患者[由于兴趣效应,胆汁可能会导致停滞。这是给出的四个。孕妇或可能怀孕的妇女(请参阅“孕妇,妇产科,护理妇女等”的部分) |
功效或效果
功效 /效果
溶解胆固醇发出的外壳计算
用法 /剂量
- 通常,每天将300-400毫克分为两到三次,为成人的kenodio毒理酸。应该注意的是,每天的最大剂量为600 mg,尽管根据年龄和症状增加并适当地增加并减少。
使用预防措施
谨慎的管理
(请小心地给下一个患者管理)
- (1)
- 胃肠道患有溃疡性病变的患者。这是给出的
- (2)
- 胆管中胆结石的患者[由于家用作用可能导致胆汁停滞。这是给出的
- (3)
- 有肝损伤病史的患者[肝代谢物可能导致肝损伤。这是给出的
重要的基本预防措施
- (1)
- 由于该药物的给药可以识别出该药物,因此必须定期进行肝功能测试以进行足够的观察。
- (2)
- 如果一年或更长时间不允许使用胆结石或减少胆结石,请考虑其他治疗方法。
相互作用
合并用途的注释
(请注意联合使用)
- 磺酰基尿素型糖尿病药物(Torubutamide等)
- 临床症状 /度量方法
- 有增强血糖的风险。
- 机械 /危险因素
- 用这种药物将torbutamid与血浆蛋白分离。
- 药物名称(铝制凝胶等)
- 临床症状 /度量方法
- 该药物的作用可能会削弱。
- 机械 /危险因素
- 含有铝的酸控制剂可能会吸附这种药物并抑制该药物的吸收。
- 化学名称等。胆碱胺
- 临床症状 /度量方法
- 该药物的作用可能会削弱。
- 机械 /危险因素
- 由于胆碱胺是一种Yin -ion交换树脂,因此可以伴有该药物并抑制吸收。
- 脂质下剂,例如药物名称(Crofiblat等)
- 临床症状 /度量方法
- 该药物的作用可能会削弱。
- 机械 /危险因素
- 脂质还原药物促进胆固醇的胆固醇分泌,从而促进胆固醇胆结石的形成,从而减少该药物的作用。
副作用
- 在1,372例调查病例中,有70例(5.1%)发现了副作用。 (在重新检查结束时)
本节包括无法经常计算的副作用报告。 - 肝
- 未知频率
- Al -P,胆红素的上升等。
- 肝
- 0.1-5%
- Alt(GPT),AST(GOT)上升,等等。
- 消化器官
- 0.1-5%
- 腹泻 /松散的凳子,腹痛,腹部不适,胸部和腹胀
- 消化器官
- 小于0.1%
- 顽皮 /呕吐,厌食症
- 高敏注意)
- 0.1-5%
- 皮疹
- 高敏注意)
- 小于0.1%
- 看起来像瘙痒
- 其他的
- 未知频率
- 疲劳,头晕
- 其他的
- 小于0.1%
- face
- 注意)如果出现这种症状,请停止给药。
老年人的管理
- 通常,重要的是要注意老年人,因为生理功能降低了。
管理孕妇,妇产科妇女等。
- (1)
- 不要为可能怀孕的孕妇或妇女管理。 [动物实验报告说,报告了胎儿肝脏的组织变化。这是给出的
- (2)
- 希望不给予哺乳期妇女。 [据报道,动物实验转向牛奶。这是给出的
给儿童的管理等
- 没有建立儿童的安全等(使用的经验更少)。
适用的预防措施
- 在毒品时
- PTP包装药物应从PTP纸中取出并教给它。据报道,PTP薄片的难度 - 形状的角度插入食管粘膜中,然后引起严重的并发症,例如纵隔炎。这是给出的
药代动力学
[药代动力学] 1)血液浓度在为健康的人使用400毫克作为CDCA后,它在1小时内达到了最大的血液浓度,在4小时内恢复到前价格,很快就会从肠道中吸收,大部分被带入肝脏。此外,不允许饮食引起的吸收率。临床结果
[临床结果] 2)胆固醇西载体病之前和之后的临床试验结果的轮廓如下。
对胆结石的溶解作用为1,302例1,302例病例,96例(7.4%),96例(15.1%),略微降低或减少403例(31.0%),明显降低或明确。 22.4%,53.4%,包括略有减少或减少。药物
*[医疗药物] 3,4)- 1。
- 在体外,CDCA具有人类胆固醇胆结石的溶解作用,其作用比其他胆汁酸(胶酸,乌尔索迪二氧化胆酸)更溶解。此外,牛磺酸和甘氨酸蘑菇还具有胆结石溶解作用。
- 2。
- 关于体内胆结石溶解作用,仓鼠中的实验性胆固醇胆结石的胆石溶解作用被识别,剂量为5至10 mg / kg。
此外,对于植入兔子的人胆固醇胆结石的CDCA给药(1mg / kg,10 mg / kg)也观察到了轻度溶解作用。 - 3。
- 胆汁组成的CDCA给药表明胆汁酸和轻度磷脂的增加,并增强胆固醇融化。
在胆汁汁酸的组成中降低了卡酸和脱氧糖酸,并取代了CDCA。
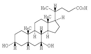
有关活性成分的物理和化学知识
结构公式:
通用名称: Kenodexycholic酸化学名称: 3α,7α-二羟基-5β-cholan-24-oic酸分子类型: C 24 H 40 O 4分子量: 392.57 foldage: 164-169℃性别:白色晶体,结晶粉或粉末。溶解在甲醇或乙醇中(99.5)很容易溶解在丙酮中,几乎不溶于水中。包装
- (PTP)10胶囊x 10
(PTP)10胶囊x 50
主要文献和文档请求目的地
主要文献
- 1)
- Berge -Henegouwen,GP等人:胃肠病学,73,300-309,1977
- 2)
- Fujimoto Pharmaceutical Co.,Ltd。:Chino胶囊临床报告(在 - 综合材料中)
- 3)
- Toshiko Shigeru等:制药和治疗,6,1359-1364,1978
- 四)
- Hiroki Oide等:制药和治疗,10,3879-3886,1982
文学要求
- 请在主要文档中描述的房屋材料中索取以下内容。
养育药品科学科学系 - 1-1-1 Nishi-Otsuka,大阪县马特斯巴拉市,580-8503号340号
- 电话:0120-225-591
- 传真:0120-116-026
制造商等的姓名或名称和地址等。
- 制造和分销商
- 富士式制药有限公司
- 1-30,Nishi-Otsuka,Matsubara City,大阪县580-0011