4006 776 356
免费咨询 9:00-18:00
获取国外10%脱氢酸注明“尼想素”jazh-CN药品价格,使用等信息,最快 24 小时回馈
出境医 / 海外药品 / 10%脱氢酸注明“尼想素”jazh-CN
10%脱氢酸注明“尼想素”jazh-CN
1975年1月
10%脱氢酸注明“尼想素”
创建或修订年
- **修订于2017年1月(第六版)
- *修订2011年2月
日本标准产品分类编号
- 872362
日本标准产品分类编号,等等。
- 重新评估结果公告年(最新)
- 1982年8月
医学分类名称
- 利益
批准,等等
- 销售名称
- 10%脱氢酸注明“尼想素”
销售名称代码
- 2362400A2026
批准 /许可号码
- 批准编号
- 15900AMZ00741000
药品价格标准日期
- 1975年1月
销售日期
- 1975年1月
储蓄,到期日期等
- 储蓄
- 阴影保存
- 截止日期
- 3年(在外部框中列出)
标准名称
- 日本药房
- 脱氢酸注射
法规类别
- 处方药(谨慎 - 由医生等使用)
作品
- 活性成分 /含量(每管10毫升中的10毫升)
- 10%脱氢酸注意“ Nissin”在10毫升日本药房中含有1000毫克的日本药房。
- 添加剂
- pH调整
特点
- 特点
- 无色至浅黄色透明,味道很苦。
- ph
- 9-11
- **渗透压比(盐水比)
- 大约1
限制(请勿对下一个患者进行管理)- 1。
- 具有完整胆道阻塞的患者[该药物增加了胆汁增加,可以增加胆道的内部压力,引起疼痛并使图像恶化。这是给出的
- 2。
- 急性肝脏和胆道疾病的患者[如果急性期发生炎症,则该药物对大胆汁的排泄可能会对炎症产生负面影响。这是给出的
- 3。
- 严重肝损伤的患者(对于肝细胞质疾病,这种药物的使用大大增加了肝病和胆汁泄漏,可能会增强肝细胞的衰竭。这是给出的
- 四个。
- 支气管哮喘和过敏性疾病的患者[引入胆汁酸及其盐会因喉部抽搐,全身僵硬,抽搐和血压降低而引起冲击。这是给出的
|
功效或效果
- 对以下疾病的兴趣
- 具有胆道(胆管 /粗体)疾病和胆汁停滞的肝病
用法和剂量
- 作为脱氢酸,通常每天100至1000 mg的成年人在1至3天内静脉注射。
此外,根据年龄和症状,它将适当地增加或减少。
使用预防措施
谨慎的管理
(请小心地给下一个患者管理)
- 1。
- 老年人(请参阅有关“老年管理”的部分)
- 2。
- 12岁以下的儿童(请参阅“儿童管理等”部分)
副作用
- 该药物不进行调查,以阐明副作用的频率,例如用法调查。
严重的副作用
- 休克(频率未知):停用的给药,如果这些症状在该药物中施用时出现,导致血压,喉咙抽搐,呼吸困难,一般僵硬,抽搐,心动过速等。
另一个副作用
- 1.胃肠道)
- 未知频率
- 顽皮 /呕吐,松散的凳子,腹泻等。
- 2.皮肤
- 未知频率
- 红色,全身,瘙痒等。
- 3.其他
- 未知频率
- 发冷,发烧,咳嗽,头痛,不适
- 注意)如果发生这种症状,请采取适当的措施,例如减肥和药物。
老年人的管理
- 通常,在老年人中降低了生理功能,因此要仔细给药,例如注意剂量和给药间隔。
管理孕妇,妇产科妇女等。
- 希望不对可能怀孕的孕妇或妇女进行管理。 [尚未确定怀孕期间的管理安全。这是给出的
给儿童的管理等
- 由于尚未建立给儿童管理的安全(12岁以下),因此仔细管理它很重要,例如观察它。
过量
- 避免使用大规模给药,因为它可能会使潜在疾病恶化。
适用的预防措施
- 1。
- 在制备时:该药物是碱性的,应该避免使用它,因为它与酸性注射溶液(维生素B 1 ,维生素C等)混合在一起,因为它被类似于类似物。
- 2。
- 在管理时:
- (1)
- 由于这种药物的静脉内顺序,感觉很痛苦,但是在10-30 mL的葡萄糖注射(10-20%)时会稀释,如果逐渐注入,通常可以放松。
- (2)
- 注射静脉注射静脉注射时,请尽可能缓慢地在静脉内给予它。
- 3。
- 在Ampoul切割时:这种药物是一种 - Ampoule,但希望用乙醇棉清洁Ampoul切成部分并将其切割。
药物
- **脱氢酸是一种强大的快速胆汁分泌促进药物,可增加胆汁的量,但不伴随胆汁中的固体。因此,发生低特异性胆汁分泌。 1)
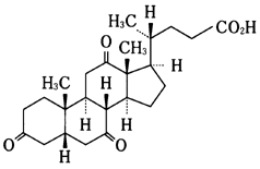
有关活性成分的物理和化学知识
- 通用名称
- 纯化的脱氢胆酸
- 化学名称
- 3,7,12- trioxo-5β-Cholan-24- oic酸
- 分子
- C 24 H 34 O5
- 分子量
- 402.52
- 结构公式

- 性欲
- 该产品是白色结晶粉,没有气味,味道很苦。 1,4-在Gexan中溶解有些困难,难以溶解在乙醇中(95),几乎不溶于水或二乙醚。
该产品溶解在氢氧化钠试验溶液中。 - 民间点
- 237-242°C
处理的预防措施
- 稳定测试2)
- 10%脱氢酸音符“ Nissin”是使用最终包装产物的长期保存测试(阴影存储,3年)的标准范围中的三年稳定性。
包装
- * 10%脱氢酸注意“尼丝蛋白” 10ml(10W/v%):10管
主要文献和文档请求目的地
主要文献
- 1)
- **第七修订的日本药品评论,C-3245,Hirokawa Shoten(2016)
- 2)
- 尼生制药有限公司
文学要求
- 请在主要文档中描述的房屋材料中索取以下内容。
- *Nissin Pharmaceutical Co.,Ltd。安全管理部门
- 电话023-655-2131传真023-655-3419
- 电子邮件:d-info@yg-nissin.co.jp
制造商等的姓名或名称和地址等。
- 制造和分销商
- Nissin Pharmaceutical Co.,Ltd.
- kiyoshiike Higashi 2-3 1-13,山托市,山大县县