4006 776 356
免费咨询 9:00-18:00
获取国外granisetron中的 - 屋服装果冻1mg“ hexifa” / granisetron in药品价格,使用等信息,最快 24 小时回馈
出境医 / 海外药品 / granisetron中的 - 屋服装果冻1mg“ hexifa” / granisetron in
granisetron中的 - 屋服装果冻1mg“ hexifa” / granisetron in
2008年7月
granisetron中的 - 屋服装果冻1mg“ hexifa” / granisetron in -house Clothing果冻2mg“ chemifa”
创建或修订年
- ** 2014年8月(第8版)修订
- *2012年6月修订
日本标准产品分类编号
- 872391
日本标准产品分类编号,等等。
- 功效或效力额外批准日期(最新)
- 2012年3月
医学分类名称
- 5-HT 3受体拮抗类型
批准,等等
- 销售名称
- granisetron中的 - 屋服装果冻1mg“ hexifa”
销售名称代码
- 2391002Q1026
批准 /许可号码
- 批准编号
- 22000AMX00908000
- 欧洲商品名称
- Granisetron口服果冻
药品价格标准日期
- 2008年7月
销售日期
- 2008年7月
储蓄,到期日期等
- 保存:
- 室温保存
- 截止日期:
- 在外部显示(3年)
- 笔记:
- 请参阅“处理预防措施”
法规类别
- 阳性药物
- 处方药)
- 注意 - 由医生的处方等处方。
作品
- 活性成分 /含量
- 1个包装(1G)中粒花龙1.12毫克盐酸盐
(1mg为Granisetron) - 添加剂
- 加拉吉南,豆豆胶,钠聚丙烯酸酯,甘油,D-索贝醇,柠檬酸钠水合物,柠檬酸钠水合物,parooxy parooxy propyl propyl
特点
- 它是一个无色的黄色果冻。
- 药物
- 内服装果冻特工
- ph
- 5.0-7.0
- 销售名称
- granisetron中的 - 屋服装果冻2mg“ hexifa”
销售名称代码
- 2391002Q2022
批准 /许可号码
- 批准编号
- 22000AMX00909000
- 欧洲商品名称
- Granisetron口服果冻
药品价格标准日期
- 2008年7月
销售日期
- 2008年7月
储蓄,到期日期等
- 保存:
- 室温保存
- 截止日期:
- 在外部显示(3年)
- 笔记:
- 请参阅“处理预防措施”
法规类别
- 阳性药物
- 处方药)
- 注意 - 由医生的处方等处方。
作品
- 活性成分 /含量
- 1包(2G)盐酸盐中央盐酸盐2.23毫克
(2mg作为Granisetron) - 添加剂
- 加拉吉南,豆豆胶,钠聚丙烯酸酯,甘油,D-索贝醇,柠檬酸钠水合物,柠檬酸钠水合物,parooxy parooxy propyl propyl
特点
- 它是一个无色的黄色果冻。
- 药物
- 内服装果冻特工
- ph
- 5.0-7.0
一般名称
- Granisetron盐酸盐果冻剂
限制(请勿对下一个患者进行管理)- 对该药物成分过敏的患者
|
功效或效果
- 胃肠道症状与抗肿瘤肿瘤(顺铂等)和辐射照射有关(恶心,呕吐)
与效果相关的使用预防措施
- 1。
- 当使用该药物用于胃肠道症状(恶心,呕吐)与给药抗肿瘤剂有关时,仅用于抗肿瘤肿瘤(Sisplatin等)的给药,这会引起强烈的恶心和呕吐。
- 2。
- 当使用这种药物与辐射照射有关的胃肠道症状(恶心,呕吐)时,仅用于强烈的恶心,呕吐所有身体照射,上腹部辐照等。
用法和剂量
- 通常,每天将2 mg施用为Granisetron作为Granisetron。
此外,根据年龄和症状,它将适当地增加或减少。
与使用和剂量有关的预防措施
- 1。
- 当使用该药物用于胃肠道症状(恶心,呕吐)与给药抗肿瘤剂相关时,该药物在给药抗肿瘤剂和癌症化疗中的该药物前1小时服用。 。
- 2。
- 当使用该药物用于胃肠道症状(恶心,呕吐)时,它是在放射辐射前一小时给予的。
使用预防措施
重要的基本预防措施
- 1。
- 由于该药物的给药可能会减少胃肠道运动,因此胃肠道障碍症状的患者在服用该药物后应进行足够的观察。
- 2。
- 如果该药物的作用不足,并且考虑到其他呼出的治疗(例如注射剂),则在给药抗肿瘤剂后表达恶心和呕吐。
**相互作用
合并用途的注释
(请注意联合使用)
| 毒品名称,等等 | 临床症状 /度量方法 | 机械 /危险因素 |
5-羟色胺作用药物选择性5-羟色胺反应抑制剂(SSRI) 5-羟色胺 /去甲肾上腺素的改写抑制剂(SNRI) MAO抑制剂,等等。 | 可能会发生5-羟色胺综合征(焦虑,沮丧,兴奋,混乱,发烧,出汗,心动过速,肌阵挛等)。 | 5-羟色胺的作用可能会增加。 |
副作用
- 该药物不进行调查,以阐明副作用的频率,例如用法调查。
严重的副作用
**休克,过敏反应(频率未知)有报道称,会出现休克,过敏反应(例如瘙痒,发红,胸部痛苦,呼吸困难,血压降低等),因此,如果发生这种症状,请仔细观察并停止给药。应采取适当的措施。另一个副作用
- 高敏性
- (频率未知)
- 皮疹
- 精神科
- (频率未知)
- 头痛
- 消化器官
- (频率未知)
- 便秘
- 肝
- (频率未知)
- 肝功能测试值,例如AST(GOT),ALT(GPT)上升等。
- 其他的
- (频率未知)
- 发烧
- 如果出现上述副作用,请采取适当的措施,例如中止给药。
老年人的管理
- 通常,请注意老年人的副作用表达并仔细给药。
管理孕妇,妇产科妇女等。
- 1。
- 由于尚未确定怀孕期间的管理安全性,因此只有在确定孕妇或可能怀孕的妇女被确定超过危险的情况下才能进行管理。
- 2。
- 由于据报道,如果您将其管理给母乳喂养的女士,请停止母乳喂养,因此已经在大鼠中看到了牛奶的迁移。
给儿童的管理等
- 没有建立儿童的安全等(使用的经验更少)。
适用的预防措施
- 1。
- 管理路线:
- 仅用于口服。
- 2。
- 服用时:
- 打开后,尽快将其丢弃并丢弃左侧。
- 3。
- 在药物时:
- 指导,以便您不接受它的包装。

其他预防措施
- 本地性质
- 在Granisetron配方中,将1、5和50 mg/kg的小鼠和大鼠持续了两年,以将它们与对比组进行比较。在小鼠中,小鼠中的小鼠中增加了肝细胞癌和50 mg/kg的组。在大鼠中,雄性为5 mg/kg或更多,而50 mg/kg组的女性增加了肝细胞壁肿瘤。但是,据报道,1mg/kg组(相当于临床剂量的25倍)并未增加小鼠和大鼠肝细胞壁肿瘤的增加。
药代动力学
- 生物等效测试1)
- - 屋内服装果冻2 mg“ heveifa” 1包(花岗岩2 mg)和1个标准制剂(花岗岩2 mg),分频器是单独给健康的成年男孩以测量血浆Granisetron浓度的。作为统计分析的结果,对于《药代动力学参数的90%置信度法》(AUC,CMAX),两种药物的生物学等效性在日志(0.8)中得到了确认(1.25)。


血浆浓度和参数(例如AUC和CMAX)可能会根据测试条件(例如选择受试者的选择,收集体液的时间数量等)而有所不同。
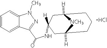
有关活性成分的物理和化学知识
- 通用名称:
- Granisetron盐酸(Granisetron Hydrochlide)
- 化学名称:
- 1-甲基-N- ( endo -9-甲基-9-azabicyclo [3.3.1] non-3-ill)-1 h- indazole-3-羧酰胺氢氯乙烯
- 分子类型:
- C 18 H 24 N 4 O / HCl
- 分子量:
- 348.87
- 结构公式:

- 一致:
- 盐酸Granisetron是白色至细的黄色粉末或块粉。
该产物很容易溶于水,溶解在甲醇中略微稍小,并且在乙醇中溶解非常困难(95)。
处理的预防措施
- 1.处理预防措施
- (1)
- 为了避免滥用,请勿将其转移到另一个容器中。
- (2)
- 存放在儿童手失控的地方。
- (3)
- 不要存储温度高的地方。
- (四)
- 不要将重物放在顶部。
- (五)
- 携带时,请注意不要弯曲。
- 2.稳定性测试2)
- 由于使用最终包装产品(25°C,相对湿度为60%,36个月),1mg Granisetron Jelly果冻“ hexifa”和2mg Granisetron的长期保存测试(25°C,相对湿度为60%,36个月)在房屋服装果冻中稳定3年在正常的市场分布下。已经确认存在。
包装
- granisetron在 - 房屋服装果冻1mg“ hexifa”:1g x 20包
- granisetron中的 - 屋服装果冻2mg“ hexifa”:2g x 10包
主要文献和文档请求目的地
主要文献
- 1)
- Nissho Medical Co.,Ltd。:有关生物同等性的材料(在房屋材料中)
- 2)
- Nikkodaku Co.,Ltd。:稳定性材料(在房屋材料中)
文学要求
- 请在下面请求主文档中描述的内部材料。
日本安克利法(Chemifa Co.)有限公司安全管理部门 - 2-2-2,Iwamotocho,Chiyoda-ku,东京101-0032
- 电话0120-47-9321 03-3863-1225
- 传真03-3861-9567
制造商等的姓名或名称和地址等。
- 卖方
- Japan Gearifa Co.,Ltd。
- 2-2-3 iwamotocho,Chiyoda-ku,东京
- *制造和分销商
- Nisshin II公司
- 富山城市sora chang 1-6-6 21