4006 776 356
免费咨询 9:00-18:00
获取国外花岗岩静脉液体1mg注射器“ NK” / Granisetron静脉注射3mg注射器“ NK”jaz药品价格,使用等信息,最快 24 小时回馈
出境医 / 海外药品 / 花岗岩静脉液体1mg注射器“ NK” / Granisetron静脉注射3mg注射器“ NK”jaz
花岗岩静脉液体1mg注射器“ NK” / Granisetron静脉注射3mg注射器“ NK”jaz
2007年6月
花岗岩静脉液体1mg注射器“ NK” / Granisetron静脉注射3mg注射器“ NK”
创建或修订年
- ** 2014年8月修订6
- * 2012年3月修订5
日本标准产品分类编号
- 872391
日本标准产品分类编号,等等。
- 功效或效力额外批准日期(最新)
- *2012年3月
医学分类名称
- 5-HT 3受体拮抗类型
批准,等等
- 销售名称
- Granisetron静脉注射1mg注射器“ NK”
销售名称代码
- 2391400G3027
批准 /许可号码
- 批准编号
- 22100AMX00024
药品价格标准日期
- 2009年5月
销售日期
- 2009年5月
储蓄,到期日期等
- 储蓄
- 室温保存
- 截止日期
- 3年(显示在注射器和外部盒子中)
- 处理的预防措施
- 请参阅[处理预防措施]部分
法规类别
- 阳性药物
- 处方药
- 预防措施 - 通过医生等处方使用
作品
- Granisetron的1mg注射器“ NK”包含一个注射器(1 mL)中的以下组件。
- 活性成分 /含量
- Granisetron盐酸盐1.12 mg
(作为Granisetron)(1.0mg) - 添加剂
- NA氯化物,柠檬酸氢,pH调节剂
特点
- Granisetron的1mg注射器“ NK”是一种无色的透明解决方案。
- ph
- 5.0-7.0
- 渗透比率
- 大约1(盐水比)
- 销售名称
- Granisetron静脉注射3mg注射器“ NK”
销售名称代码
- 2391400G2020
批准 /许可号码
- 批准编号
- 21900AMZ00055
药品价格标准日期
- 2007年6月
销售日期
- 2007年6月
储蓄,到期日期等
- 储蓄
- 室温保存
- 截止日期
- 3年(显示在注射器和外部盒子中)
- 处理的预防措施
- 请参阅[处理预防措施]部分
法规类别
- 阳性药物
- 处方药
- 预防措施 - 通过医生等处方使用
作品
- Granisetron引入3mg注射器“ NK”包含一个注射器(3 mL)中的以下组件。
- 活性成分 /含量
- Granisetron盐酸盐3.35mg
(作为Granisetron)(3.0mg) - 添加剂
- NA氯化物,柠檬酸氢,pH调节剂
特点
- Granisetron的3mg注射器“ NK”是一种无色透明液体。
- ph
- 5.0-7.0
- 渗透比率
- 大约1(盐水比)
一般名称
- Granisetron盐酸盐注入溶液
限制(请勿对下一个患者进行管理)- 对该药物成分过敏的患者
|
功效或效果
- *与给药和辐射照射有关
与效果相关的使用预防措施
- 1。
- *当使用这种药物用于消化症状(恶心,呕吐)与抗剂剂的给药相关时,仅用于施用强恶心和呕吐(Cisplatin等)。
- 2。
- *当该药物用于与辐射照射相关的胃肠道症状(恶心,呕吐)时,仅用于强烈的恶心,呕吐所有身体照射,上腹部辐照等。
用法和剂量
- 与抗粘质肿瘤剂(顺铂等)相关的消化症状(恶心,呕吐)
- 成人:通常,每天注射或静脉注射Granisetron或静脉注射为Granisetron。另外,如果症状没有改善,则可以根据年龄和症状适当地给予症状,但是如果症状没有改善。
- 孩子:通常,每天为儿童注射儿童一次。另外,如果症状没有改善,则可以根据年龄和症状适当地给予症状,但是如果症状没有改善。
- *与辐射照射有关的胃肠道症状(恶心,呕吐)
- 通常,成年人一次以Granisetron的形式注入40μg/kg。此外,根据年龄和症状,它将适当地增加或减少。但是,应每天两次管理。
与使用和剂量有关的预防措施
- 1。
- 如果该药物静脉注射,则必须缓慢施用。
- 2。
- *当用于与辐射辐射相关的胃肠道症状时,静脉滴注在辐射照射之前会注入。当用于造血干细胞移植时的总辐射照射(TBI:TBI:TBI)相关的胃肠道症状时,给药期应为4天。
使用预防措施
重要的基本预防措施
- *胃肠道损伤的患者在消化道给药后应充分观察到,因为该药物的给药可能会减少。
相互作用
合并用途的注释
(请注意联合使用)
| 毒品名称,等等 | 临床症状 /度量方法 | 机械 /危险因素 |
** 5-羟色胺动作药物选择性5-羟色胺收获抑制剂(SSRI) 5-羟色胺 /去甲肾上腺素的改写抑制剂(SNRI) MAO抑制剂,等等。 | 可能会发生5-羟色胺综合征(焦虑,沮丧,兴奋,混乱,发烧,出汗,心动过速,肌阵挛等)。 | 5-羟色胺的作用可能会增加。 |
副作用
概述表达状态,副作用
- 该药物不进行调查,以阐明副作用的频率,例如用法调查。
严重的副作用
(频率未知)- **休克,过敏反应:休克,过敏反应( so缩,红色,胸部,痛苦,呼吸困难,降低血压等),因此,如果观察到这些症状并具有这样的症状,以中断管理并采取适当的措施。
另一个副作用
| 未知频率 |
| 高敏性 | 皮疹,发红 |
| 精神科 | 头痛,头晕,失眠 |
| 心血管 | 心动过速 |
| 消化器官 | 便秘,腹泻,腹痛,胃倾斜感觉 |
| 肝 | 肝功能测试值,例如AST(GOT),ALT(GPT)上升等。 |
| 其他的 | 发烧,全身不适,面部冲洗 |
- *如果出现上述副作用,请采取适当的措施,例如停用的给药。
老年人的管理
- 请注意副作用的表达,并仔细地给老年人使用。
管理孕妇,妇产科妇女等。
- 1。
- 由于尚未确定怀孕期间的行政安全性,因此只有在认为孕妇或可能怀孕的妇女被认为是为了增加治疗危险的情况下,才应进行管理。
- 2。
- 由于据报道,如果您将其管理给母乳喂养的女士,请停止母乳喂养,因此已经在大鼠中看到了牛奶的迁移。
给儿童的管理等
- 1。
- 与抗粘质肿瘤剂(顺铂等)相关的消化症状(恶心,呕吐)
尚未确定低出生体重,新生儿和婴儿的安全性(很少的经验)。 - 2。
- *与辐射照射有关的胃肠道症状(恶心,呕吐)
没有建立儿童的安全等(使用的经验更少)。
适用的预防措施
- 在制备时:避免可能发生沉积物,避免呈乳状味的未稀释溶液和地西ep剂。
其他预防措施
- 据说,与受控组和大鼠相比,与受控组相比,在1、5、50 mg/kg的测试中进行了以下测试。在小鼠中,肝细胞癌,50 mg/kg组雌性增加,肝细胞瘤增加,并且在大鼠和50 mg/kg组和50 mg/kg组的大鼠中发现大鼠。 1mg/kg组(相当于临床剂量为25倍),小鼠和大鼠都不会增加肝细胞壁肿瘤。
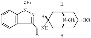
有关活性成分的物理和化学知识
- 通用名称
- Granisetron盐酸(Granisetron Hydrochlide)
- 化学名称
- 1-甲基-N- ( endo -9-甲基-9-azabicyclo [3.3.1] non-3-ill)-1 h- indazole-3-羧酰胺氢氯乙烯
- 分子
- C 18 H 24 N 4 O / HCl
- 分子量
- 348.87
- 结构公式

- 特点
- 盐酸Granisetron是白色至细的黄色粉末或块粉。它很容易溶于水,很难溶解在甲醇中。
处理的预防措施
- 1。
- 枕头包装不应在使用前打开。使用时,从开口缓慢打开。
- 2。
- 避免震动,因为注射器可能会损坏。
- 3。
- 从枕头包装中取出时,请勿用柱塞强迫它。
- 四个。
- 如果化学物质泄漏或在化学溶液中发现浊度或浮动物质等异常时,请勿使用。
- 五。
- 当发现异常(例如对注射器的损伤)时,请勿使用。
- 6。
- 卸下注射器尖端的橡胶塞后,请勿触摸注射器的尖端。
- 7。
- 仅打开一次后使用,并且使用后使用后剩余的液体必须用容器迅速丢弃。
- 8。
- 不要重复使用注射器或重复使用。
- 9。
- 稳定性测试:由于加速度测试(40°C 75%RH,6个月)使用玻璃注射器,据推测,在正常市场分布下它是稳定的三年。 1),2)
包装
- 花岗岩液静脉液体1mg注射器“ NK”:5注射器
- Granisetron静脉注射3mg注射器“ NK”:5注射器
主要文献和文档请求目的地
主要文献
- 1)
- Sawai Pharmaceutical Co.,Ltd。在 - 房屋材料:稳定性测试(1mg)
- 2)
- Sawai Pharmaceutical Co.,Ltd。在 - 房屋材料:稳定性测试(3mg)
文学要求
- 请要求以下主要文献中描述的内部材料。
Nippon Chemical Co.,Ltd。医疗制药业务总部药品信息中心 - **(地址) 〒100-0005Marunouchi,Chiyoda-ku,东京2-1-1-1
- (电话)0120-505-282(免费电话)
制造商等的姓名或名称和地址等。
- **销售代理
- Nippon Chemical Co.,Ltd.
- 2-2-1,Marunouchi,Chiyoda -Ku,东京
- 制造和分销商
- Sawai Pharmaceutical Co.,Ltd。
- 5-2-30 Miyahara,大阪Yodogawa-Ku
其他解释
