4006 776 356
免费咨询 9:00-18:00
获取国外Granisetron输液袋1mg / 50ml“ Termo” / Granisetron输液袋3药品价格,使用等信息,最快 24 小时回馈
出境医 / 海外药品 / Granisetron输液袋1mg / 50ml“ Termo” / Granisetron输液袋3
Granisetron输液袋1mg / 50ml“ Termo” / Granisetron输液袋3
2012年12月
Granisetron输液袋1mg / 50ml“ Thermo” / Granisetron输液袋3mg / 50ml“ Termo” / Granisetron输液袋3mg / 100ml“ Termo”
创建或修订年
- ** 2014年8月修订(第三版)
- *修订于2012年11月
日本标准产品分类编号
- 872391
日本标准产品分类编号,等等。
- 功效或效力额外批准日期(最新)
- *2012年11月
医学分类名称
- 5-HT 3受体拮抗类型
批准,等等
- 销售名称
- Granisetron输液袋1mg / 50ml“ termo”
销售名称代码
- 2391400G5046
批准 /许可号码
- 批准编号
- 22400AMX00985
- 欧洲商品名称
- 静脉输注1mg / 50ml的花岗岩袋
药品价格标准日期
- 2012年12月
销售日期
- 2012年12月
储蓄,到期日期等
- 储蓄
- 室温保存
- 截止日期
- 显示在容器和外部盒子上
- 笔记
- 参考处理预防措施
法规类别
- 阳性药物
- 处方药)
- 注意 - 由医生的处方等处方。
作品
- <成分 /数量>
- 活性成分50毫升
- Granisetron盐酸盐(作为Granisetron)1.12 mg(1.00 mg)
- 在添加剂50毫升期间
- 柠檬酸水热(缓冲液)2 mg
氯化钠*) 450 mg
*)氯化钠浓度0.9W/v%
Lumual盐酸(pH调节剂)适当量的氢氧化钠(pH调节剂)适当量
特点
- 这是一种无色的透明液体
- ph
- 5.0-7.0
- 渗透比率
- 大约1(盐水比)
- 销售名称
- Granisetron输液袋3mg / 50ml“ Termo”
销售名称代码
- 2391400G4090
批准 /许可号码
- 批准编号
- 22400AMX00986
- 欧洲商品名称
- 用于IV输注3mg / 50ml的Granisetron袋
药品价格标准日期
- 2012年12月
销售日期
- 2012年12月
储蓄,到期日期等
- 储蓄
- 室温保存
- 截止日期
- 显示在容器和外部盒子上
- 笔记
- 参考处理预防措施
法规类别
- 阳性药物
- 处方药)
- 注意 - 由医生的处方等处方。
作品
- <成分 /数量>
- 活性成分50毫升
- Granisetron盐酸盐(作为Granisetron)3.35 mg(3.00 mg)
- 在添加剂50毫升期间
- 柠檬酸水热(缓冲液)6mg
氯化钠*) 450 mg
*)氯化钠浓度0.9W/v%
Lumual盐酸(pH调节剂)适当量的氢氧化钠(pH调节剂)适当量
特点
- 这是一种无色的透明液体
- ph
- 5.0-7.0
- 渗透比率
- 大约1(盐水比)
- 销售名称
- Granisetron输液袋3mg / 100ml“ Termo”
销售名称代码
- 2391400G1202
批准 /许可号码
- 批准编号
- 22400AMX00987
- 欧洲商品名称
- 静脉输注3mg / 100ml的Granisetron袋
药品价格标准日期
- 2012年12月
销售日期
- 2012年12月
储蓄,到期日期等
- 储蓄
- 室温保存
- 截止日期
- 显示在容器和外部盒子上
- 笔记
- 参考处理预防措施
法规类别
- 阳性药物
- 处方药)
- 注意 - 由医生的处方等处方。
作品
- <成分 /数量>
- 活性成分100ml
- Granisetron盐酸盐(作为Granisetron)3.35 mg(3.00 mg)
- 在100毫升添加剂中
- 柠檬酸水热(缓冲液)6mg
氯化钠*) 900mg
*)氯化钠浓度0.9W/v%
Lumual盐酸(pH调节剂)适当量的氢氧化钠(pH调节剂)适当量
特点
- 这是一种无色的透明液体
- ph
- 5.0-7.0
- 渗透比率
- 大约1(盐水比)
一般名称
- Granisetron盐酸盐注入溶液
限制(请勿对下一个患者进行管理)- 对该药物成分过敏的患者
|
功效或效果
- *与给药和辐射照射有关的胃肠道症状(恶心,呕吐)
与效果相关的使用预防措施
- 1。
- 当将这种药物用于胃肠道症状(恶心,呕吐)与抗肿瘤剂的给药相关时,必须仅用于施用可引起强恶心和呕吐的可抗抗极性肿瘤剂(例如顺铂)。
- 2。
- *当该药物用于与辐射照射相关的胃肠道症状(恶心,呕吐)时,仅用于强烈的恶心,呕吐所有身体照射,上腹部辐照等。
用法和剂量
- 与抗粘质肿瘤剂(顺铂等)相关的胃肠道症状(恶心,呕吐)
- 成人:
- 通常,成年人每天为成年人注射一次Granisetron。另外,如果症状没有改善,则症状是由于年龄和症状而适当的,但是可以一次给予40μg/kg。
- 孩子:
- 通常,每天将儿童注入儿童为Granisetron。另外,如果症状没有改善,则症状是由于年龄和症状而适当的,但是可以一次给予40μg/kg。
- *与辐射照射有关的胃肠道症状(恶心,呕吐)
- 通常,成年人静脉注射40μg/kg作为花岗岩。此外,根据年龄和症状,它将适当地增加或减少。但是,它不得每天两次进行管理。
与使用和剂量有关的预防措施
- 1。
- 当用于与辐射照射有关的胃肠道症状时,在辐射照射之前会插入输注。当用于与TBI相关的消化症状(TBI:TBI:TBI:TBI)时,给药期应为4天。
- 2。
- 静脉内注射注射。
使用预防措施
谨慎的管理
(请小心地给下一个患者管理)
- 关于盐水的预防措施
- (1)
- 心血管功能障碍的患者[增加循环血液的量,心脏负担负担,并可能导致症状恶化。这是给出的
- (2)
- 肾脏疾病的患者这是给出的
重要的基本预防措施
- 由于该药物的给药可能会减少胃肠道运动,因此在服用该药物后应充分观察到胃肠道症状的症状。
相互作用
合并用途的注释
(请注意联合使用)
- 药物名称等。** 5-羟色胺作用药物选择性5-羟色胺还原抑制剂(SSRI)
5-羟色胺 /去甲肾上腺素的改写抑制剂(SNRI)
MAO抑制剂,等等。- 临床症状 /度量方法
- **可能会发生5-羟色胺综合征(焦虑,沮丧,兴奋,混乱,发烧,出汗,心动过速,肌阵挛等)。
- 机械 /危险因素
- ** 5-羟色胺效应可能会增加。
副作用
- 该药物不进行调查,以阐明副作用的频率,例如用法调查。
严重的副作用
休克,过敏反应: (频率未知)有报道称,休克,过敏反应(例如瘙痒,发红,胸部,呼吸,呼吸困难,血压降低等),因此,如果发生这种症状,请仔细观察并停止给药。应采取适当的措施。另一个副作用
- 高敏性
- (频率未知)
- 皮疹发红
- 精神科
- (频率未知)
- 头痛眼神失眠
- 心血管
- (频率未知)
- 心动过速
- 消化器官
- (频率未知)
- 便秘腹泻腹痛胃感觉
- 肝
- (频率未知)
- 肝功能测试值异常,例如AST(GOT)和ALT(GPT)上升
- 其他的
- (频率未知)
- 热通用身体不适的脸
- 如果出现上述副作用,请采取适当的措施,例如中止给药。
老年人的管理
- 注意老年人的副作用表达并仔细管理。
管理孕妇,妇产科妇女等。
- 1。
- 对于可能怀孕的孕妇或妇女,只有确定治疗超过危险的治疗时才应进行管理。
[尚未确定怀孕期间的管理安全。这是给出的 - 2。
- 当给哺乳女士时停止母乳喂养。
[动物实验(大鼠)报告了向牛奶的过渡。这是给出的
给儿童的管理等
- 1.与抗肿瘤肿瘤剂(顺铂等)相关的消化症状(恶心,呕吐)
- 尚未建立低出生体重,新生儿和婴儿的安全性(经验更少)。
- 2. *与辐射辐射相关的胃肠道症状(恶心,呕吐)
- 没有建立儿童的安全等(使用的经验更少)。
适用的预防措施
- 1.准备时
- 避免形成未稀释的溶液和扁平液体的地西epa,因为可能会发生沉淀。
- 2.在管理时
- 符合患者体重的适当剂量。
其他预防措施
- 本地性质
- 据说,与小鼠和大鼠1,5、50 mg/kg相比,测试中的以下测试为两年,并与对比组相比。在小鼠中,肝细胞癌和50 mg/kg组增加了小鼠的肝细胞瘤。在大鼠中,5 mg/kg或更多和50 mg/kg组的雄性增加了肝细胞壁肿瘤。然而,在1mg/kg组(相当于临床剂量的25倍)中,小鼠和大鼠都不会增加肝细胞壁肿瘤。
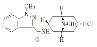
有关活性成分的物理和化学知识
- 通用名称:
- Granisetron盐酸盐
- 化学名称:
- 1-甲基-N- ( endo -9-甲基-9-azabicyclo [3.3.1] non-3-yl)-1 h- indazole-3-羧酰胺盐酸盐
- 结构公式:

- 分子类型:
- C 18 H 24 N 4 O / HCl
- 分子量:
- 348.87
- 性别:
- 它是白色至细的黄色粉末或块粉。
很容易溶于水,略微溶于甲醇,并且在乙醇中很难溶解(95)。
处理的预防措施
- ●由于该产品是一个柔软的塑料袋,因此不应被锋利的东西损坏。它可能导致液体泄漏。
- ●不要打开水泡包装,直到使用。
- ●如果内容泄漏或诸如变色,浊度或浮动物质等异常时,请勿使用。
- ●当将排气口剥离的胶片剥离时,请勿使用。
- ●使用时,卸下密封排气的膜。
- ●应将捏针或注射针头直接刺入橡胶塞的印章。当对角线刺伤时,橡胶塞或排气口内壁可能会混合到化学药品中,或者刺穿容器以引起液体泄漏。
- ●该产品不需要通风针(空气针)。
- ●必须将容器的比例用作指南。
- ●请勿使用剩余的液体。
- <稳定性测试>
- 由于加速度测试(40°C,相对湿度为75%,6个月),假定在正常市场分布下,它稳定了三年1)至3) 。
包装
- Granisetron输液袋1mg / 50ml“ termo” x 10袋
- Granisetron输液袋3mg / 50ml“ termo” x 10袋
- Granisetron输液袋3mg / 100ml“ termo” x 10袋
主要文献和文档请求目的地
主要文献
- 1)
- Termo Co.,Ltd。:1mg / 50ml稳定性测试(在房屋材料中)
- 2)
- Termo Co.,Ltd。:3mg / 50ml稳定性测试(在房屋材料中)
- 3)
- Termo Co.,Ltd。:3mg / 100ml稳定性测试(在房屋材料中)
文学要求
- 请在下面请求主文档中描述的内部材料。
致电中心有限公司 - 2-44-1,Hatagaya,Shibuya-Ku,东京151-0072
- 电话0120-12-8195
制造商等的姓名或名称和地址等。
- 制造和分销商
- Termo Co.,Ltd。
- 2-44-1,Hatagaya,Shibuya -Ku,东京