4006 776 356
免费咨询 9:00-18:00
获取国外Granisetron输液3mg袋“ sawai”jazh-CN药品价格,使用等信息,最快 24 小时回馈
出境医 / 海外药品 / Granisetron输液3mg袋“ sawai”jazh-CN
Granisetron输液3mg袋“ sawai”jazh-CN
2008年7月
Granisetron输液3mg袋“ sawai”
创建或修订年
- ** 2014年8月(第5版)修订
- *修订于2012年3月
日本标准产品分类编号
- 872391
日本标准产品分类编号,等等。
- 功效或效力额外批准日期(最新)
- *2012年3月
医学分类名称
- 5-HT 3受体拮抗类型
批准,等等
- 销售名称
- Granisetron输液3mg袋“ sawai”
销售名称代码
- 2391400G1075
批准 /许可号码
- 批准编号
- 22000AMX01328000
- 商标
- Granisetron
药品价格标准日期
- 2008年7月
销售日期
- 2008年7月
储蓄,到期日期等
- 储蓄
- 室温保存
- 截止日期
- 显示在外部盒子上,等等。
- 笔记
- 请参阅“处理预防措施”的部分
法规类别
- 阳性药物
- 处方药
- 预防措施 - 通过医生等处方使用
构图与性表
| 活性成分 /含量 | 添加剂 | 购买形状和财产 | ph | 渗透比率 |
1袋(100毫升)中央谷物盐盐酸盐3.35毫克 (3mg作为Granisetron) | 氯化钠900mg 柠檬酸 pH调节器 | 注射溶液中无色清晰 | 5.0-7.0 | 大约1 (与盐水的比率) |
一般名称
- Granisetron盐酸盐注入溶液
限制(请勿对下一个患者进行管理)- 对该药物成分过敏的患者
|
功效或效果
- *与给药和辐射照射有关
与效果相关的使用预防措施
- 1。
- *当使用这种药物用于消化症状(恶心,呕吐)与抗剂剂的给药相关时,仅用于施用强恶心和呕吐(Cisplatin等)。
- 2。
- *当该药物用于与辐射照射相关的胃肠道症状(恶心,呕吐)时,仅用于强烈的恶心,呕吐所有身体照射,上腹部辐照等。
用法和剂量
- 与抗粘质肿瘤剂(顺铂等)相关的消化症状(恶心,呕吐)
- 成人:通常,成年人每天被注射为Granisetron一次。另外,如果症状没有改善,则可以根据年龄和症状适当地给予症状,但是如果症状没有改善。
- 孩子:通常,每天为儿童注射儿童一次。另外,如果症状没有改善,则可以根据年龄和症状适当地给予症状,但是如果症状没有改善。
- *与辐射照射有关的胃肠道症状(恶心,呕吐)
- 通常,成年人一次以Granisetron的形式注入40μg/kg。此外,根据年龄和症状,它将适当地增加或减少。但是,应每天两次管理。
与使用和剂量有关的预防措施
- *当用于与辐射辐射相关的胃肠道症状时,静脉滴注在辐射照射之前会注入。当用于造血干细胞移植时的总辐射照射(TBI:TBI:TBI)相关的胃肠道症状时,给药期应为4天。
使用预防措施
谨慎的管理
(请小心地给下一个患者管理)
- 关于氯化钠的预防措施
- (1)
- 患有心脏和心血管功能障碍的患者[增加循环血液的量,给心脏负担负担,并可能恶化症状。这是给出的
- (2)
- 肾脏疾病的患者。这是给出的
重要的基本预防措施
- *胃肠道损伤的患者在消化道给药后应充分观察到,因为该药物的给药可能会减少。
相互作用
合并用途的注释
(请注意联合使用)
| 毒品名称,等等 | 临床症状 /度量方法 | 机械 /危险因素 |
** 5-羟色胺动作药物选择性5-羟色胺收获抑制剂(SSRI) 5-羟色胺 /去甲肾上腺素的改写抑制剂(SNRI) MAO抑制剂,等等。 | 可能会发生5-羟色胺综合征(焦虑,沮丧,兴奋,混乱,发烧,出汗,心动过速,肌阵挛等)。 | 5-羟色胺的作用可能会增加。 |
副作用
概述表达状态,副作用
- 该药物不进行调查,以阐明副作用的频率,例如用法调查。
严重的副作用
(频率未知)- 冲击,过敏反应,冲击,过敏反应(大豆,瘙痒,发红,乳房 - 乳房,呼吸困难,降低血压等),因此,如果您能够充分观察到它们,如果出现这些症状,请停止给药并采取适当的措施。
另一个副作用
| 未知频率 |
| 高敏性 | 皮疹,发红 |
| 精神科 | 头痛,头晕,失眠 |
| 心血管 | 心动过速 |
| 消化器官 | 便秘,腹泻,腹痛,胃倾斜感觉 |
| 肝 | 肝功能测试值,例如AST(GOT),ALT(GPT)上升等。 |
| 其他的 | 发烧,全身不适,面部冲洗 |
- *如果出现上述副作用,请采取适当的措施,例如停用的给药。
老年人的管理
- 请注意副作用的表达,并仔细地给老年人使用。
管理孕妇,妇产科妇女等。
- 1。
- 由于尚未确定怀孕期间的管理安全性,因此只有在确定孕妇或可能怀孕的妇女被确定超过危险的情况下才能进行管理。
- 2。
- 由于据报道,如果您将其管理给母乳喂养的女士,请停止母乳喂养,因此已经在大鼠中看到了牛奶的迁移。
给儿童的管理等
- 1。
- 与抗粘质肿瘤剂(顺铂等)相关的消化症状(恶心,呕吐)
尚未确定低出生体重,新生儿和婴儿的安全性(很少的经验)。 - 2。
- *与辐射照射有关的胃肠道症状(恶心,呕吐)
没有建立儿童的安全等(使用的经验更少)。
适用的预防措施
- 1。
- 在制备时:避免可能发生沉积物,避免呈乳状味的未稀释溶液和地西ep剂。
- 2。
- 在管理时:遵守患者体重的适当剂量。
其他预防措施
- 据说,与受控组和大鼠相比,与受控组相比,在1、5、50 mg/kg的测试中进行了以下测试。在小鼠中,肝细胞癌,50 mg/kg组雌性增加,肝细胞瘤增加,并且在大鼠和50 mg/kg组和50 mg/kg组的大鼠中发现大鼠。 1mg/kg组(相当于临床剂量为25倍),小鼠和大鼠都不会增加肝细胞壁肿瘤。
药物
- 在最后一个场CTZ(化学感受器受体触发区)中,离心腹部应变剂量终端和最后一个野生CTZ(化学感受器触发区)被选择性地关闭以表达呕吐。
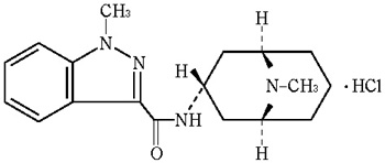
有关活性成分的物理和化学知识
- 通用名称
- Granisetron盐酸(Granisetron Hydrochlide)
- 化学名称
- 1-甲基-N- ( endo -9-甲基-9-azabicyclo [3.3.1] non-3-ill)-1 h- indazole-3-羧酰胺氢氯乙烯
- 分子
- C 18 H 24 N 4 O / HCl
- 分子量
- 348.87
- 熔点
- 大约291°C(分解)
- 结构公式

- 特点
- 盐酸Granisetron是白色至细的黄色粉末或块粉。它很容易溶于水,很难溶解在甲醇中。
处理的预防措施
- ・处理软袋的预防措施
- (1)
- 不要在使用前打开外包。另外,打开后立即使用它。
- (2)
- 在以下情况下请勿使用。
- 1)
- 当外包损坏时。
- 2)
- 当水滴和药液在外包内观察到时。
- 3)
- 当化学物质有色或浑浊时。
- 四)
- 当排放被密封时。
- (3)
- 使用时,请删除密封排气的薄膜。
- (四)
- 在穿刺时,刺穿橡胶塞的刺(凹形部分)。当对角线刺伤时,可以将排气口的内壁剃光,并将废料混合到药物溶液中,或者可以刺穿排气口侧壁,从而导致液体泄漏。
另外,请勿反复刺伤相同的部分。 - (五)
- 请勿使用剩余的液体。
- (6)
- 容器的比例必须用作大约指南。
- ・由于加速测试(40°C 75%RH,6个月),使用稳定的测试包装项目,假定在正常市场分布下它是稳定的三年。 1)
包装
- 5袋
主要文献和文档请求目的地
主要文献
- 1)
- Sawai Pharmaceutical Co.,Ltd。 - 房屋材料[稳定性测试]
文学要求
- [请索取以下的主要文件(包括 - 房屋材料)]
Sawai Pharmaceutical Co.,Ltd.制药信息中心 - 532-0003 532-0003 Miyahara,Yodogawa-ku,大阪 - 2-30
- 电话:0120-381-999
- 传真:06-6394-7355
制造商等的姓名或名称和地址等。
- 制造和分销商
- Sawai Pharmaceutical Co.,Ltd。
- 5-2-30 Miyahara,大阪Yodogawa-Ku