4006 776 356
免费咨询 9:00-18:00
获取国外0.1%的右美软膏“ CH”jazh-CN药品价格,使用等信息,最快 24 小时回馈
出境医 / 海外药品 / 0.1%的右美软膏“ CH”jazh-CN
0.1%的右美软膏“ CH”jazh-CN
1988年7月
0.1%的右美软膏“ CH”
创建或修订年
- ** 2013年4月修订(第8版销售公司更改)n
- *2010年7月修订
日本标准产品分类编号
- 87 2399
医学分类名称
- 口服粘膜治疗剂
批准,等等
- 销售名称
- 0.1%的右美软膏“ CH”
销售名称代码
- 2399706M1095
批准 /许可号码
- 批准编号
- 22000AMX00110000
药品价格标准日期
- 2008年6月
销售日期
- 1988年7月
储蓄,到期日期等
- [保存]
- 室温保存
- 〔截止日期〕
- 在外部框中显示的截止日期内使用。
作品
- 成分 /内容(1G)
- 日本局德克萨米顿1mg
- 添加剂
- 液体石蜡,羟基丙糖蛋白,羧基乙烯基聚合物,凝胶碳氢化合物
特点
- 购买形状和财产
- 它是白色至黄色的光滑软膏,没有气味,几乎没有味道。
- 识别代码
- ch-ak
一般名称
- 葡萄剂软膏
限制(请勿对下一个患者进行管理)- 对该药物有超敏反应史的患者
|
原则上是禁忌的(原则上,它不会对下一个患者进行管理,但请在必要时仔细管理)- 口腔中感染的患者。或考虑与这些感染的组合。这是给出的
|
功效或效果
- 溃疡或溃疡的顽固性口腔炎和缠结炎
用法和剂量
- 通常,每天将适当的金额应用于患处几次。根据症状,应适当地增加或减少。
使用预防措施
副作用
- (频率未知)
- 该药物不进行调查,以阐明副作用的频率,例如用法调查。
- 1.口腔感染:
- 可能会出现口服真菌和细菌感染。在这种症状的情况下,使用适当的抗真菌剂,抗菌剂等,如果症状不能迅速改善,则停止使用。
- 2.超敏反应:
- 如果出现超敏反应,停止使用。
- 3.垂体 /肾上腺皮质功能:
- 长期使用可以抑制垂体和肾上腺皮质系统的功能。
老年人的管理
- 请注意,老年人通常会降低生理功能。
管理孕妇,妇产科妇女等。
- 由于尚未确定怀孕期间的行政安全性,因此应避免使用可能怀孕的孕妇或妇女长期使用。
给儿童的管理等
- 长期使用可能会导致生长障碍。
适用的预防措施
- 1.在使用时:
- 使用后,避免进食一段时间。
- 2.适用的网站:
- 不要用于眼科。
药物
- 这种药物在棉球中具有抗炎作用,使用仓鼠,棉球中的肉芽肿形成,使用大鼠的卡拉格宁paddial paddial paddial paddial paddial抑制剂,以及使用豚鼠的组胺刺激。 1)
(在旧处方制剂中,通过对动物的生物等效测试以及对当前处方准备的生物等效测试,该制剂被确定为标准制剂(药膏,1 mg / g)。
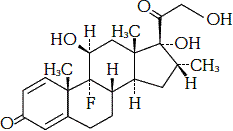
有关活性成分的物理和化学知识
- 通用名称
- 地塞米松
- 化学名称
- 9-氟-11β,17,21-三羟基-16α-甲基Pregna-1,4-二烯-3,20-二酮
- 分子
- C 22 H 29 FO 5
- 分子量
- 392.46
- 熔点
- 大约245°C(分解)
- 结构公式

- 特点
- Dexa Metazon是白色至浅黄色晶体或结晶粉。
溶解在甲醇,乙醇(95)或丙酮中是很难的,难以溶于乙腈,并且几乎不溶于水中。
处理的预防措施
- 稳定性测试
- 由于使用最终包装产品(室温保存,3年)进行了长期存储测试,外观和内容在标准范围内,室温为0.1%的3年稳定性” CH“对于Decisametazon软膏。证实。 2)
包装
- 0.1%的右美软膏“ CH”
管:2g x 50
主要文献和文档请求目的地
主要文献
- 1)
- Chojido Pharmaceutical Co.,Ltd。在房屋材料(与生物等效测试有关的材料(药物测试))
- 2)
- Chojido Pharmaceutical Co.,Ltd。in -House Materials(与稳定性测试有关的材料)
**,*文学要求
- 请在主要文档中描述的房屋材料中索取以下内容。
日本通用有限公司客户咨询办公室 - 1-1-9th Marunouchi,北东京100-6739
- 电话0120-893-170
- 传真0120-893-172
制造商等的姓名或名称和地址等。
- **分销商
- 日本通用有限公司
- 第1-29个Marunouchi,北东京北库-KU
- 制造和分销商
- Chojido Pharmaceutical Co.,Ltd。
- 托库希马市的92个地点