获取国外十年子erixyl 0.01%jazh-CN药品价格,使用等信息,最快 24 小时回馈

出境医 / 海外药品 / 十年子erixyl 0.01%jazh-CN

十年子erixyl 0.01%jazh-CN

1961年4月
  • ** <垂体抑制测试>

    在实施决赛抑制测试之前,请确认是棕细胞或帕拉甘griomas的合并。如果有合并,请优先处理棕色细胞瘤或帕拉甘grioma。 ,

十年子erixyl 0.01%

启发记录号

2454002S1122_3_10

公司代码

530169

创建或修订年

**修订于2022年5月(第三版)
*修订于2021年9月

日本标准产品分类编号

872454

医学分类名称

肾上腺皮质激素制剂

批准,等等

十年子erixyl 0.01%

销售名称代码

YJ代码

2454002S1122

销售名称英语符号

十年型长生不老药

销售名称Hiragana

0.01%

批准号,等等。

批准编号

22000AMX01400000

销售日期

1961年4月

储蓄 /有效期限

储蓄

室温保存

有效期

5年

法规类别

处方

笔记)预防措施 - 由医生的处方等。

一般名称

右美酮erixyl

2.反对(不给下一个患者施用)

  1. 2.1该成分过敏史的患者
  2. 2.2 Patients using the following drugs: Jisulfiram, cyanamide, desmo -pressin acetate hydrate (nighttime urine in men), lil pivibirin hydrochloride, tenohoblein hydrochloride, tenohoble arafenamidofumarate, emtricitabin, lil pivirin Hydrochloride, Tenohobiriso Proki Sylphmalate, Emtricitabin, Lilpibirin hydrochloride, doltegravirnatrium, Doltegravirnatrate,Dolatusville盐酸盐,Asuna Prville,Dacratasville盐酸盐,Asuna Prubul和盐酸盐。

3.组成 /特性

3.1组成

十年子erixyl 0.01%

有效成分1ml右美甲酮0.1mg
添加剂甘油,乙醇(95),非杀核酸,糖精钠水合物,红色2,香气

3.2准备属性

十年子erixyl 0.01%

药物精灵代理
ph 3.0-3.4
特点它是一种红色的液体,具有薄荷和樱桃般的气味,具有强烈的甜味。

4.功效或效果

  • 慢性肾上腺皮质功能障碍(原发性,后遗症,垂体胶),急性肾上腺皮质功能障碍,肾上腺综合征,亚急性甲状腺炎,甲状腺中毒[甲状腺中毒(甲状腺甲状腺(成瘾性)Crest]]
  • 类风湿关节炎,年轻的关节风湿病(包括依然疾病),风湿性热(包括风湿性心炎),多种风湿性肌肉疼痛
  • ELITEMATODES(全身性和慢性椎间盘形),全身血管炎(包括高敏感性动脉炎,定殖一夫多妻制,聚合物多重血管炎症,多态性管状肉芽肿),多致肌炎(皮肤病),皮肤病
  • 肾病和肾病综合征
  • 血液心力衰竭
  • 支气管哮喘,哮喘性支气管炎(包括儿科哮喘支气管炎),药物和其他化学物质(包括药物喷发),血清疾病的过敏和中毒
  • 严重的传染病(与化学疗法结合使用)
  • 溶血性贫血(可疑的免疫或免疫机制),白血病(急性白血病,慢性口服白血病的急性白血病,慢性淋巴细胞性白血病)(包括皮肤白血病)(包括皮肤白血病),颗粒粒细胞减少(自然,紫色) - 再生),再生性贫血差
  • 限制肠炎,溃疡性结肠炎
  • 改善严重消化疾病的一般状况(包括癌症和云杉的结束)
  • 肝炎(包括临床上被认为是严重疾病),停滞的肝炎,慢性肝炎(急性,急性,胆汁,停滞)(然而,肝功能无反应一般治疗)显着异常仅限于顽固性的异常),cirrhosis(cirrhosis)(具有可行的活动类型)腹水,那些胆汁停滞的人)
  • 结节病(但不包括肺肺淋巴结两侧的情况),易毛的间质肺炎(包括肺炎辐射)
  • 肺结核(仅限于侵袭性结核病,严重的结核病)(与抗结核结合使用),结核病脑膜炎(与抗癌细胞症结合使用),结核性心血管炎(与抗 - tuberculissis,tuberculissis,Tuberissis Combantination comboss)核)。与结核病剂一起使用),结核病(与抗结核作用)
  • 脑炎(含有脑炎,脊髓炎)(对于原发性脑炎,患有骨骼高血压,在其他药物不足的短时间内用于外周神经炎(Guilan)。疾病,严重的肌肉刺激,多发性硬化症(包括视觉脊柱休闲),小舞蹈疾病,面神经瘫痪,脊柱脊柱脊柱脊柱脊柱脊柱脊柱脊柱脊柱脊柱脊柱脊柱脊柱脊柱脊柱脊柱脊柱脊柱脊柱脊柱脊柱脊柱脊柱脊柱脊柱脊柱脊柱脊柱脊柱脊柱脊柱脊柱脊柱脊柱脊髓脊柱脊柱脊柱脊柱脊柱脊柱脊柱脊柱脊柱脊柱脊柱脊髓脊髓脊髓脊髓脊髓脊髓脊髓脊髓脊髓脊髓脊髓脊而且脊柱脊柱脊柱脊柱脊柱脊柱脊柱脊柱脊柱脊柱脊柱脊柱脊柱。
  • 恶性淋巴瘤(淋巴细胞瘤,充满活力的微症,霍迪霉素疾病,皮球,细菌面),类似的疾病(密切相关疾病),嗜酸性粒细胞瘤和复发性手淫。
  • 特定低血糖
  • 不明原因发烧
  • 肾上腺切除术,器官和组织移植的手术入侵,侵入性肺水肿和肾上腺皮质功能障碍患者
  • 蛇毒 /昆虫毒药(包括严重的昆虫)
  • 牢固的脊柱炎(风湿性脊柱炎)
  • 预防蛋管组成手术后的凝聚力
  • 前列腺癌(当其他疗法无效时),阴茎硬化
  • 湿疹和皮炎组(急性湿疹,亚热带湿疹,慢性湿疹,接触性皮炎,货币 - 湿疹,湿疹,自我敏感性皮炎,特应性皮炎,乳房,儿童,儿童和儿童湿疹,儿童和儿科,其他猫,其他神经,其他神经。耻骨或肛门,肛门和耳道的湿疹和皮炎,鼻和耳道的湿疹和皮炎,鼻腔和鼻子机翼等) ) 室室(包括小儿stroflus,荨麻疹般的心理和固定荨麻疹)(但限于严重病例。它是可取的),荨麻疹(不包括慢性病)(慢性病例)(限于严重的病例), 白牛cor虫和代言性(vulgaris cortringas)[严重的病例),牛皮癣,牛皮癣,牛皮癣,psulosis皮炎,椭圆形(类似弹impigo,作家综合征), 棕榈液脓疱性脓疱病(限于严重病例), 鳞状猫(狭窄的猫(限制为严重的病例),成人炎症,成人粘膜,eryththemia( 多样化)散发性红斑,淋巴结红斑)(在一夫多妻制透明红斑中),IGA血管炎(仅限于严重病例),韦伯基督教疾病,粘液皮肤综合征,粘在约翰逊氏病,约翰逊氏病,约翰逊疾病,钩状疾病,钩综合症,贝克塞特氏病,贝克塞特氏病,behcett疾病(如果存在)无眼症状),脂肪急性乌巴西溃疡],雷诺病, 圆形脱发(仅恶性型),浮血(庸俗)痘痘,乳清痘,塞尔 - 糖综合征,增殖,胡椒粉,包括配音类似的皮肤病,怀孕,怀孕,怀孕,带有先天性阳性鉴定,带状疱疹(限制为严重的病例),,ヘブラ色をを,狼疮狼疮狼疮狼疮限るに) ((((新生儿),新生儿Skrema)
  • 内眼,视神经,轨道和linginum肌肉炎症性疾病(葡萄,网络炎,网络炎,视网膜血管炎,视神经炎,轨道炎,轨道炎,轨道财务热综合症,洋丘脑不适当的眼睛和前眼睛的眼睛掉落时)由于对炎症性疾病的症状治疗(管状炎,结膜炎,角膜炎,强烈的膜炎症),术后炎症。
  • 急性 /慢性中耳炎培养基,中耳炎,耳狭窄,脑膜病和脑膜综合征,急性感觉声音耳聋,血管运动(神经),过敏性鼻炎,花粉症(干草热),进行性坏死性鼻炎在乳液 /乳液炎 /乳液炎 /淋巴管后的性鼻炎水肿,耳鼻喉科区域
  • 顽强的口腔炎和舌炎(那些无法通过局部治疗治疗的炎)
  • Obuyomyopathic,急性 /慢性(重复)唾液腺炎

★:仅当效果不足即使使用外部代理或估计具有足够的效果时,才使用。

5.与效果有关的预防措施

  • ** <垂体抑制测试>

    在实施决赛抑制测试之前,请确认是棕细胞或帕拉甘griomas的合并。如果有合并,请优先处理棕色细胞瘤或帕拉甘grioma。 ,

6.用法和剂量

作为决定性的,正常成年人每天口服0.5至8毫克1至4次。儿童的口服每天为0.15-4毫克,到一到四次。
此外,根据年龄和症状,它将适当地增加或减少。

8.重要的基本预防措施

  • <公共功效>
    1. 8.1该药物的给药可能会引起严重的副作用,例如诱发感染,持续的肾上腺皮质功能,消化溃疡,糖尿病和精神障碍,因此采取了以下预防措施以施用该药物。
      1. 8.1.1如果特别考虑管理,尤其是考虑到适应症和症状,则如果可以充分预期其他治疗,请不要服用该药物。如果地方管理足够,则应提供地方治疗。
      2. 8.1.2在管理过程中,保持适当的措施,例如增加患者的措施,例如增加副作用的量,以避免患者压力,从而增加量。
      3. 8.1.3如果连续使用后突然暂停了政府,则有时可能会发烧,头痛,厌食,无力,肌肉疼痛,关节疼痛,震动等逐渐减肥。如果出现戒断症状,​​请立即重新加入或增加。
    2. 8.2在这种药物的长期或肿块中,或在取消该药物后的六个月内,免疫功能可能会降低,而原始疫苗的疫苗接种可能会增加或维持疫苗衍生的感染。请勿接种这些原始疫苗的患者。
    3. 8.3特别是在服用该药物期间感染水痘或麻疹时,必须采取以下预防措施作为致命病程。
      1. 8.3.1在服用该药物之前,请检查水痘或麻疹病史以及疫苗接种的存在。
      2. 8.3.2在没有水痘或麻疹病史的患者中,请始终考虑足够的考虑和观察,以防止水痘或麻疹感染。如果怀疑感染或感染感染,请立即指导咨询并采取适当的措施。
      3. 8.3.3应该注意的是,水痘或麻疹可能已接种疫苗或可能已被水痘或麻疹接种。
    4. 希望进行定期检查,因为连续使用8.4可以增加眼内压,青光眼和后囊白色分离障碍。 ,
    5. 8.5 **据报道,当右美纳Zon制剂(口服剂和注射剂)被施用而未识别红细胞合并时,据报道表达了棕色细胞。如果在服用该药物后观察到血压,头痛,呼吸症等的显着升高,请考虑适当的措施来考虑棕色细胞的表达。 ,
  • <强皮>
    1. 8.6据报道,在肾上腺皮质激素管理患者中,皮肤强的患者肾肾上腺峰的表达率很高。当给皮肤浓烈的患者使用该药物时,请仔细监测血压和肾功能,并注意强壮的皮肤肾肾脏的外观和症状。另外,如果发现异常,请采取适当的措施。

9.具有特定背景患者的预防措施

9.1并发症和病史的患者

  1. 9.1.1除非确定为接受治疗的患者不可避免的,否则不要给予9.1.1。
    1. (1)没有有效抗菌剂的传染病,整个体内的同性血症患者

      免疫抑制作用可能导致传染病。

    2. (2)消化溃疡的患者

      由于粘膜防御的减少,消化溃疡可能会更糟。

    3. (3)精神病患者

      它会影响中枢神经系统,并可能恶化精神疾病。

    4. (4)结核病患者

      免疫抑制作用可能导致结核病病加剧。

    5. (5)简单的角膜炎患者

      免疫抑制作用可能加剧简化的结肠炎。

    6. (6)患有后腹部白内障的患者

      它会影响镜头纤维,并可能加剧后囊白色白内障。 ,

    7. (7)青光眼患者

      修道院压力增加,青光眼可能更糟。 ,

    8. (8)高血压患者

      高血压可能由于钠和储水而恶化。

    9. (9)电解质异常的患者

      钠和储水可能会导致电解异常加剧。

    10. (10)血栓形成患者

      血液凝血可以增强,血栓形成可能更糟。

    11. (11)最近进行内脏手术的患者

      有延迟伤口愈合的风险。

    12. (12)患有急性心肌梗塞的患者

      据报道,这引起了破裂。

    13. (13)控制不良的患者

      由于糖新促进的作用(血糖水平升高),糖尿病可能会加剧糖尿病,等等。

  2. 9.1.2传染病患者(不包括没有有效抗菌剂的传染病,全身穿孔的患者)

    免疫抑制作用可能导致传染病。

  3. 9.1.3糖尿病患者

    由于糖新促进的作用(血糖水平升高),糖尿病可能会加剧糖尿病,等等。

  4. 9.1.4骨质疏松症患者

    骨质疏松症可能通过导致骨形成抑制和代谢而加剧。

  5. 9.1.5甲状腺功能功能的患者

    观察到血液的半衰期的延伸,可能会发生副作用。

  6. 9.1.6脂肪肝患者

    它会影响脂质代谢,并可能加剧脂肪肝。

  7. 9.1.7脂肪阻塞患者

    它会影响脂质代谢,并可能加剧lipoloplasia。

  8. 9.1.8严重肌肉患者

    在使用开始时,临时症状可能会恶化。

  9. 9.1.9 B型乙型肝炎病毒载体患者

    丙型肝炎可能是由于乙型肝炎病毒的增殖而出现的。请注意丙型肝炎病毒增殖的体征和症状,例如在给药期间和该药物给药结束时,肝功能测试值和肝炎病毒标志物。如果发现异常,请采取适当的措施,例如考虑到该药物的体重减轻,以施用抗病毒剂。对于HBS抗原阴性患者,在服药开始之前,已经报道了丙型肝炎病毒。

  10. 9.1.10 **患有棕色细胞或帕拉甘griomas和怀疑患者的患者

    棕色细胞肿瘤可能会出现。 ,

9.2肾功能的患者

  1. 9.2.1肾衰竭的患者

    症状可能恶化。

9.3肝功能障碍患者

  1. 9.3.1肝硬化患者

    在患有慢性肝病的患者中,显示了一半的血液,并可能发生副作用。

9.5孕妇

仅当治疗的治疗大于危险时,才能服用可能怀孕的孕妇或妇女。动物实验报告了宝藏,并可能导致新生儿的肾上腺失败。
右美唑酮0.8毫克的小鼠为一天,从怀孕的8到14天,0.08 mg 0.08 mg是妊娠9至13的每天给药的第一天。允许皮层发生1)

9.6母乳喂养妇女

考虑到治疗的益处以及母乳营养的益处,考虑到母乳喂养的持续或取消。

9.7个孩子,等等。

  1. 9.7.1进行足够的观察。可能会发生儿童的成长抑制。
  2. 9.7.2在长期给药的情况下,可能会出现颅内内压。
  3. 9.7.3据报道,低出生体重的婴儿发生脑瘫和超心动心电症。

9.8老年人

长期给药可能会出现副作用,例如传染病,糖尿病,骨质疏松症,高血压,后saccataract和青光眼。

10.互动

  • 该药物主要由肝代谢酶Chitochicrome P450 3A4(CYP3A4)代谢。它还具有CYP3A4指导效应。

10.1禁忌症(未一起使用)

毒品名称,等等临床症状 /度量方法机械 /危险因素

Zithlefiram

  • 敲床

氰胺

  • 氰胺

急性发作性乳纤维胞酰胺 - 酒精反应(脸部flen,血压下降,胸部压力,心pal,心动过速,恶心,头痛,头痛,头痛,晕厥,晕厥,头晕,抽搐,头晕,视力丧失等)可能发生。

由于该药物含有乙醇,因此可能引起Zithl Filam氰酰胺 - 酒精反应。

乙酸酯乙酸盐水合物(男人晚上夜间尿液)

  • 采矿融化

可能发生低钠血症。

未知

Lilpibirin盐酸盐

  • Ejurant

Lilpibirin盐酸盐,Teno Hobile Arafenami dofumalate,Emtricitabin

  • Odefusi

Lilpibirin盐酸盐,Tenohobiruziso Pro -Sylphmalate,Emtricitabin

  • 强制

Lilpibirin盐酸盐 / Doltegrabil钠

  • 贾卡

达克拉塔斯维尔盐酸盐

  • 达克罗因扎

Asuna Pleville

  • Sunbepla

达克拉塔斯维尔盐酸盐,阿苏纳普雷利(Asuna Preville),盐酸盐Bechlabville

  • Gimensha

有降低这些药物的血液浓度并减少作用的风险。

该药物的CYP3A4诱导可能会促进这些药物的代谢。

10.2联合用途(请小心使用)

毒品名称,等等临床症状 /度量方法机械 /危险因素

主要由CYP3A4代谢的主要药物

  • 伊马替尼
  • Eplerenon
  • Eleetryptan
  • 多佩齐尔等

有降低这些药物的血液浓度并减少作用的风险。

该药物的CYP3A4诱导可能会促进这些药物的代谢。

caspofangin

Caspofangin的血液浓度可能会降低。

据认为,这种药物会影响卡斯波芬的进口和运输过程,并将提供Caspo Fangin的清除。

指导CYP3A4的药物

  • 芭比式酸衍生物
    • 苯巴比勒塔尔
  • 利福平
  • 卡马西平,等。

据报道,这种药物的作用减少。

这些药物指导Chitochrome P450,促进该药物的代谢。

势素

据报道,这种药物的作用减少。

Phinitoin指导壳聚糖P450并促进该药物的代谢。

势素

据报道,由于组合的组合,均一的血液浓度增加或降低。

未知

HIV蛋白酶抑制剂

  • Retonaville

该药物中AUC的风险增加或这些药物的AUC降低。

有可能与Chitochrome P450竞争。另外,这些药物的代谢可以通过诱导Chitochrome P450来促进。

杏彼得

该药物的作用可能会得到增强。

适当剂量依赖性剂量的CYP3A4抑制作用抑制了该药物的代谢。

大环内酯类抗生素

  • 红霉素

基于Azor的抗真菌剂

  • itolaconazole

据报道,皮质类固醇的作用得到了增强。

该药物的代谢可能被抑制。

Mefrokin

这种药物或梅弗罗金的血液浓度可能由于组合而波动。

已建议Mefrokin被CYP3A代谢,这可能会受到彼此的影响。

环孢菌素

据报道,大量皮质类固醇增加了使用的环孢菌素的血液浓度。

它阻碍了环孢菌素的代谢。

水杨酸衍生物

  • 阿司匹林

据报道,它会增加在连续酸中连续酸衍生物中水杨酸衍生物的浓度,从而在组合时降低药物时会导致水杨酸中毒。

该药物促进水杨酸衍生物中的肾脏排泄和肝代谢,从而降低了血清中水杨酸衍生物的浓度。

抗药性药物

  • 华法林运动

据报道,它可以减少抗议机的作用。

该药物具有血液凝血促进作用。

糖尿病医学

  • 大肛门药物
  • 磺酰基剂
  • 快速有效的胰岛素分泌促进剂
  • α-葡萄糖苷酶抑制剂
  • 基于佳丽丁的药物
  • DPP-4抑制剂
  • GLP-1受体演员
  • SGLT2抑制剂

胰岛素制剂等

据报道,它可以减少这些药物的作用。

该药物促进肝脏中的葡萄糖,并抑制在外周组织中使用糖的使用。

高血压

这些药物的作用可能会降低。

未知

利尿剂

这些药物的作用可能会降低。

未知

利尿剂(不包括钾 - 持有利尿剂)

  • 三甲基甲虫
  • 氟胺

低钾血症可能是由于共同使用而引起的。

该药物在尿管中具有钾的促进作用。

钙受体参与者

  • Evokarset
  • Eterno calcethide
  • Sinacarcet

血清钙浓度可能会降低。

这些药物在血钙中的作用可能会增强。

麻黄碱

据报道,皮质类固醇的代谢被促进,血液浓度降低。

未知

沙利度胺

存在增加血栓形成和血小板病风险的风险。

有增加彼此动作的风险。

沙利度胺

据报道,据报道,有毒表皮坏死(十)已与多种口服骨髓中的该药物联合表达。

未知

11.副作用

由于可能会出现以下副作用,因此请采取足够的观察并采取适当的措施,例如如果发现异常,停止给药。

11.1严重的副作用

  1. 11.1.1培训传染病和传染病加剧(两者都不知道)

    丙型肝炎可能是由于乙型肝炎病毒的增殖而出现的。 , , , ,

  2. 11.1.2连续的肾上腺皮质功能,糖尿病(两者都是未知)

  3. 11.1.3消化溃疡,胃肠道穿孔,胰腺炎(两者都是未知)

  4. 11.1.4心理调制,抑郁,抽搐(均经常未知)

  5. 11.1.5骨质疏松症,股骨和上臂骨骼的灭菌坏死,肌病,椎骨压缩裂缝,长骨可怜的骨折(均经常未知)

  6. 11.1.6青光眼,后囊(均经常未知)

    ,

  7. 11.1.7拥抱栓塞(频率未知)

11.2其他副作用

未知频率

内分泌

月经异常

*消化

腹泻,恶心,呕吐,胃痛,胃灼热,腹腹胀,嘴巴,食欲丧失,多功能,便秘

*精神神经系统

Yokoyo,失眠,头痛,头晕,震颤,周围感觉Nuplati,克服,饥饿

*肌肉 /骨骼

肌肉疼痛,关节疼痛,关节肿胀

脂质 /蛋白质代谢

完全月亮 - 脸,牛肩,氮湍流平衡,脂肪肝

*体液 /电解质

水肿,血压升高,碱性钾低,低钠,高钾血症

眼睛

由于中央蛇状海豚瘤等引起的视网膜疾病,伸出了眼球

*

白细胞增加,中性嗜,血小板减少,白细胞

*皮肤

awoin,多发,脱毛,色素沉着,皮下血,紫色斑点,接线,瘙痒,瘙痒,瘙痒,面部红斑,红斑,伤口愈合障碍,愚蠢而易受攻击,脂肪炎,脂肪炎,皮肤干燥。

高敏性

皮疹

*其他人

特征,疲劳,类固醇肾病,频繁排尿,体重增加,精子和运动的增加或减少,打ic,发声,咳嗽,呼吸症,耳鸣

12.对临床测试结果的影响

  1. 12.1据报道,如果对正在给药的患者进行DEXA Methale抑制性测试,则测试结果将是假的。
  2. 12.2肾上腺皮质激素剂可能会影响细菌感染的硝基蓝色四唑测试,并且测试结果可能是假的。

15.其他预防措施

15.1基于临床用途的信息

据报道,疫苗和抗体反应发生在疫苗接种中,对接受皮质类固醇的患者。

18.医疗药物

18.1动作机制

在合成肾上腺皮质激素相同的机制中,与天然碳水化合物皮质类似相同的机制,通过抑制发炎的物质和抑制性炎症细胞的奢侈来揭示抗炎作用。当与细胞核中的细胞原或受体结合时,它转移到核以开始或抑制特定的基因转移。合成和合成的代表性蛋白是liportine-1,liportine-1抑制磷脂酶A 2 ,导致前列腺素,tromboxan和leukotriene。2), 3) 3)

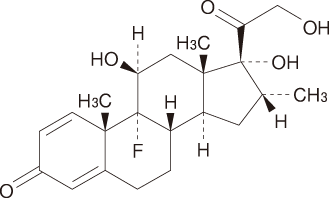
19.有关活性成分的物理和化学知识

一般名称

地塞米松

化学名称

9-氟-11β,17,21-三羟基-16α-甲基Pregna-1,4-二烯-3,20-二酮

分子

C 22 H 29 FO 5

分子量

392.46

特点

它是白色至细的黄色晶体或结晶粉。
溶解在甲醇,乙醇(95)或丙酮中是很难的,难以溶于乙腈,并且几乎不溶于水中。
认识到晶体多态性。

化学结构


熔点

大约245°C(分解)

20.处理预防措施

  1. 20.1打开后,秘密点击并存储它。