4006 776 356
免费咨询 9:00-18:00
获取国外Na注射的氢化碳锌Hakuate 100mg“ Nig”jazh-CN药品价格,使用等信息,最快 24 小时回馈
出境医 / 海外药品 / Na注射的氢化碳锌Hakuate 100mg“ Nig”jazh-CN
Na注射的氢化碳锌Hakuate 100mg“ Nig”jazh-CN
1973年9月
** hydrocorchizonko hakuate 100mg,用于注射“ nig” / ** hydocolchizonkohakuic eter 300mg“ nig” nig“注射” nig'
创建或修订年
- **修订于2022年6月(第29版,随附的继承)
- *修订于2021年7月
日本标准产品分类编号
- 872452
日本标准产品分类编号,等等。
- 重新评估结果公告年(最新)
- 1984年6月
- 功效或效力额外批准日期(最新)
- 2017年11月
医学分类名称
- 水 - 溶质氢化软管制剂
批准,等等
- 销售名称
- ** Hydrocorchizonkohakuate Esther 100mg“ Nig”用于NA注射
销售名称代码
- 2452400D1114
- 批准编号
- 30200AMX00565
- 商标
- 氢化可的松琥珀酸盐NA注射
药品价格标准日期
- ** 2022年6月
销售日期
- 1971年3月
储蓄,到期日期等
- 储蓄
- 请参阅“处理预防措施”部分节省室温的部分
- 截止日期
- 显示在外部盒子上,等等。
法规类别
- 处方药
- 预防措施 - 通过医生等处方使用
作品
- 有效成分
- Hydrocorchizonkohakuate酯Natentium
- 内容
- (在1个小瓶中)
133.7mg
(相当于100mg的氢化软件) - 添加剂
- (在1个小瓶中)
氢氢水合29.6mg
2.7毫克氢氢氢化氢
pH调节量适当金额
特点
- 特点
- 该产品是白色至白色的湿润固体物质(粉状或多孔肿块),没有气味,并且溶解在附着的溶解溶液中。
- ph
- 7.0-8.0
- 渗透比率
- 大约2(盐水比)
- 独奏溶液(日本盐溶液)
- 1安培中的2毫升
- 销售名称
- **氢化物琴kohakuic酸ETER NA注入300mg“ Nig”
销售名称代码
- 2452400D4059
- 批准编号
- 30200AMX00566
- 商标
- 氢化可的松琥珀酸盐NA注射
药品价格标准日期
- ** 2022年6月
销售日期
- 1973年9月
储蓄,到期日期等
- 储蓄
- 请参阅“处理预防措施”部分节省室温的部分
- 截止日期
- 显示在外部盒子上,等等。
法规类别
- 处方药
- 预防措施 - 通过医生等处方使用
作品
- 有效成分
- Hydrocorchizonkohakuate酯Natentium
- 内容
- (在1个小瓶中)
401.1mg
(相当于300毫克的氢化软件) - 添加剂
- (在1个小瓶中)
氢氢钠水合物88.8 mg
氢氢钠水合物8.1 mg
pH调节量适当金额
特点
- 特点
- 该产品是白色至白色的湿润固体物质(粉状或多孔肿块),没有气味,并且溶解在附着的溶解溶液中。
- ph
- 7.0-8.0
- 渗透比率
- 大约2(盐水比)
- 独奏溶液(日本盐溶液)
- 1安培中的6毫升
一般名称
- 氢化物核kohakuate酯natrium注射剂
限制(请勿对下一个患者进行管理)- 1.不要对以下患者或零件进行管理
- (1)
- 对该药物成分过敏的患者
- (2)
- deSmo plesin actecrophic Hydration(由男性中高氨基引起的夜间尿液分析)的患者正在服用(请参阅“相互作用”)
- (3)
- 在感染性疾病的关节或肌腱区域内[抑制免疫功能并降低宿主防御能力,可能会恶化感染性疾病。这是给出的
- (四)
- 在关节不稳定的关节的关节腔内[可能发生不稳定的关节,并可能恶化症状。这是给出的
- 2. *请勿使用以下药物
- 请勿将原始疫苗接种或对以免疫固定剂量施用的患者进行接种的原始疫苗。
|
原则上是禁忌的(原则上,它不会对下一个患者进行管理,但请在必要时仔细管理)- 1。
- 患有有效抗菌剂的不存在感染的患者,全身患有依bid症患者。这是给出的
- 2。
- 消化溃疡和憩室炎的患者。这是给出的
- 3。
- 精神病患者[中枢神经系统刺激作用可能会使症状恶化。这是给出的
- 四个。
- 结核病疾病的患者[抑制免疫功能,降低宿主防御能力,可能恶化或表现出症状,因此可以适当使用抗核治疗。这是给出的
- 五。
- 简化牡蛎的患者[可能导致角膜穿孔。这是给出的
- 6。
- 后囊性的患者[有改变镜头囊并恶化症状的风险。这是给出的
- 7。
- 青光眼患者[增加眼内压力并可能恶化症状。这是给出的
- 8。
- 高血压患者[钠储存作用可能会使症状恶化。这是给出的
- 9。
- 电解质异常的患者[因为它会影响电解质代谢,因此可能会恶化症状。这是给出的
- 十。
- 血栓形成患者。这是给出的
- 11。
- 最近进行内部手术手术的患者。这是给出的
- 12。
- 患有急性心肌梗塞的患者。这是给出的
|
功效或效果
- 1.内科 /儿科领域
- (1)内分泌病
- 1)急性肾上腺皮质功能(肾上腺松鼠)
- 内部静脉注射输注室内静脉注射肌肉注射
- 2)甲状腺中毒(甲状腺(甲状腺(成瘾)cre)]
- 内部静脉注射输注内部静脉注射内部注射*
- 3)慢性肾上腺皮质功能(初级,续集,垂体,医学)
- 在 - 注射
- 4)单独使用ACTH
- 在-Muscle注入*
- (2)胶原蛋白
- 风湿热(包括风湿性心脏炎症),Elitematodes(全身和慢性椎间盘)
- 插入注射*
静脉注射静脉注射*
在 - 注射
- (3)过敏性疾病
- 1)支气管哮喘
- 内部静脉注射顺序2)
输液注射顺序2)
喷雾器 - 2)过敏性休克
- 插入输注输注静脉注射
- 3)哮喘支气管炎(包括小儿哮喘支气管炎)
- 在-Muscle注入*
喷雾器 - 4)药物和其他化学物质的过敏和中毒(包括药物喷发和中毒)
- 插入注射*
静脉注射静脉注射*
在-Muscle注入* - 5)荨麻疹(不包括慢性病例)(限于严重病例)
- 静脉注射静脉注射*
在-Muscle注入* - 6)过敏性鼻炎,花粉症(花粉症)
- 在-Muscle注入Neebarizer鼻注射
- (4)神经病学
- 1)尾部炎(含有脑炎和间谍性质炎)(但是,在原发性脑炎的情况下,观察到颅内内压症状,并且在症状不足的情况下使用的短时间使用)。多发性硬化症(包括视觉脊柱休闲)
- 内部静脉注射输注内部静脉注射内部注射*
输注脊柱 - 2)周围神经炎(包括Guillan Valley综合征)
- 插入注射*
静脉注射静脉注射*
在-Muscle注入*
输注脊柱 - 3)小舞蹈疾病,面神经瘫痪,脊柱脊柱脊柱脊柱
- 在-Muscle注入*
- 4)脊柱水肿
- 内部静脉注射静脉外注射
- (5)胃肠道疾病
- 限制肠炎,溃疡性结肠炎
- 插入注射*
静脉注射静脉注射*
在-Muscle注入*
注解
- (6)呼吸系统疾病
- 肺炎(肺纤维化)(包括肺炎)
- 插入注射*
静脉注射静脉注射*
喷雾器
- (7)严重感染
- 严重的传染病(与化学疗法结合使用)
- 内部静脉注射输注内部静脉注射内部注射*
- (8)代谢疾病
- 特定低血糖
- 内部静脉注射输注内部静脉注射内部注射*
- (9)其他医疗疾病
- 1)改善严重消化疾病的全身状况(包括癌症的结束,包括云杉)
- 插入注射*
静脉注射静脉注射*
在-Muscle注入* - 2)eosinosity颗粒瘤
- 内部静脉注射输注内部静脉注射内部注射*
- 3)恶性淋巴瘤(淋巴瘤,结节性肉瘤,霍迪辛疾病,皮肤nap,细菌护士)和类似疾病(关闭相关疾病)
- 内部静脉注射输注内部静脉注射内部注射*
输注脊柱 - 4)乳腺癌恢复过渡
- 在-Muscle注入*
- 2.手术区域
- (1)偶发检测
- 内部静脉注射输注室内静脉注射肌肉注射
- (2)针对器官 /组织移植的手术入侵,肾上腺皮质功能失调的患者
- 在-Muscle注入*
- (3)侵入性肺水肿
- 内部静脉注入neebarizer
- (4)手术休克和手术休克状态,脑水肿,输血的副作用,支气管抽搐(正在操作)
- 静脉注射
- (5)蛇毒 /昆虫毒药(包括严重的昆虫)
- 在-Muscle注入*
- 3.骨科区
- (1)类风湿关节炎,年轻的类风湿性(包括静止疾病)
- 注射中引入肌肉注射
- (2)风湿性肌肉疼痛
- 在 - 注射
- (3)强脊柱炎(风湿性脊柱炎)
- 在 - 注射
- (4)与强烈脊柱炎(风湿性脊柱炎)相关的区域关节炎
- 内注射
- 4.泌尿科区
- 前列腺癌(如果其他疗法无效),则是阴茎
- 在-Muscle注入*
- 5.眼科领域
- 眼科区域的术后炎症
- 插入注射*
在-Muscle注入*
- 6.皮肤病学区域
- (1)湿疹 /皮炎组(急性湿疹,亚急性湿疹,慢性湿疹,接触性皮肤炎,货币湿疹,湿疹,自我敏感性皮炎,特应性皮炎,乳房 /小学湿疹,乳房 /小学,bidal pussy,bidal pussy,bidal pussy,bidal pussy,bidal pussy,bidal pussy,bidal pussy,bidal pussy,nerve dervem s.耻骨或肛门,肛门和耳朵的湿疹和皮炎,鼻和耳朵的湿疹和皮炎,鼻腔和鼻翼周围的湿疹和皮肤。 )
- 引入了肌肉注射*★
- (2)牛皮癣和症状[牛皮癣(严重病例),骨肉牛皮癣,牛皮癣,脓疱牛皮癣,携带的肢体皮炎,氯化综合征,作者综合征]
- 输液静脉注射*★
引入了肌肉注射*★ - (3)红色制造( ★一夫多妻制散红斑,斑点红斑)(但是,在一夫多妻制的繁殖红斑的情况下)
- 在-Muscle注入*
- (4)韦伯基督教疾病,粘液皮肤综合征(开放的骨肩os骨,Steventh Johnson疾病,结构炎,钩综合征,BHET病(如果没有眼睛症状),Lipstts急性耻骨溃疡]综合征,增殖胡椒),配音样皮炎(包括痘痘,妊娠胆固醇)
- 静脉注射静脉注射*
在-Muscle注入* - (5)带状疱疹(限于严重病例)
- 在-Muscle注入*
- (6)溃疡性慢性脓性
- 在-Muscle注入*
- (7)红色皮肤(包括Herbra红灯笼)
- 输液静脉注射*★
引入了肌肉注射*★
- 7.色情喉咙区域
- (1)梅内尔病和脑膜综合征,急性敏感性听力耳聋
- 内部静脉注射输注室内静脉注射肌肉注射
- (2)喉炎 /喉水
- 内部静脉注入输注内部静脉内部注射奈维剂喉 /气管注射
- (3)食道的炎症( - 使用食管炎,导向镜子后)和食管延伸后的炎症
- 内部静脉注射注入内部静脉内部注射奈维剂食道注射
- (4)声音障碍
- 插入注射*
静脉注射静脉注射*
在-Muscle注入*
Nevrizer鼻腔注射 - (5)顽强的口腔炎和舌炎(那些不通过局部治疗愈合的舌)
- 软组织注射
- 8.口腔手术区域
- 口腔手术后的治疗后治疗
- 内部静脉注射输注室内静脉注射肌肉注射
- 注1)
- (1) *
- 1)内部静脉注射和静脉注射
- 当无法进行口服给药时,紧急或内部肌肉注射
- 2)注射肌肉
- 何时无法进行口服管理
- (2)★
- 仅在效果不足的情况下使用,即使您使用了外部代理,或者估计它具有足够的效果。
- 注2)请参阅支气管哮喘中的剂量和剂量
用法和剂量
- ○通常,下表中显示了成年人的使用和剂量(作为氢结构结构化)。此外,根据年龄和症状,它将适当地增加或减少。
- (1)内部静脉注射(在其他支气管哮喘以外)
- 一剂:50-100mg
在紧急情况下,紧急情况下1至4次的1天管理:100-200毫克 - (2)输注静脉注射(在其他支气管哮喘以外)
- 一剂:50-100mg
在紧急情况下,紧急情况下1至4次的1天管理:100-200毫克 - (3)引入肌肉注射
- 一剂:50-100mg
在紧急情况下,紧急情况下1至4次的1天管理:100-200毫克 - (4) - 注射关节腔
- 一剂:5至25毫克
原则上,管理间隔为2周或更长时间 - (5)在软组织中注入
- 一剂:12.5至25毫克
原则上,管理间隔为2周或更长时间 - (6)集成的人体注射
- 一剂:12.5至50毫克
原则上,管理间隔为2周或更长时间 - (7)输注脊柱腔
- 一剂:10-25毫克
- (8)富尔姆斯
- 一剂:50-100mg
- (9)Nevrizer
- 一剂:10-15mg
1天管理:1-3次 - (10)注入鼻腔
- 一剂:10-15mg
1天管理:1-3次 - (11)注射喉
- 一剂:10-15mg
1天管理:1-3次 - (12)注射食管
- 一剂:25mg
- ○支气管哮喘中静脉注射或静脉注射的使用和剂量如下。
- (1)
- 通常,成年人在静脉注射或静脉注射100至500毫克最初被绑架的量中逐渐注射。如果症状没有改善,则每4至6小时一次逐渐施用50至200毫克。此外,根据年龄和症状,它将适当地增加或减少。
- (2)
- 通常,对于2岁或以上的儿童,最初控制的5至7 mg/kg作为氢化软管子是逐渐静脉注射或静脉注射。如果症状没有改善,则每6小时一次逐渐施用5至7 mg/kg。此外,根据年龄和症状,它将适当地增加或减少。
- (3)
- 通常,两岁以下的儿童在注射5 mg/kg的初始分布作为氢化软件时逐渐静脉注射或静脉注射。如果症状没有改善,则每6至8小时逐渐增加5 mg/kg。此外,根据年龄和症状,它将适当地增加或减少。
使用预防措施
谨慎的管理
(请小心地给下一个患者管理)
- 1。
- 传染病患者[抑制免疫功能,降低宿主防御能力并恶化症状。此外,应采取适当的传染病治疗方法,因为可以抑制炎症反应并隐藏迹象。这是给出的
- 2。
- 糖尿病患者[促进糖生糖并降低细胞胰岛素的敏感性,这可能会使症状恶化。这是给出的
- 3。
- 骨质疏松症的患者[抑制骨底物的合成并抑制骨形成,这可能会使症状恶化。这是给出的
- 四个。
- 肾功能衰竭和心力衰竭的患者[钠储存动作可能会使症状恶化。这是给出的
- 五。
- 甲状腺功能低下的患者,肝硬化患者[代谢而抑制并可能发生副作用。这是给出的
- 6。
- 患有脂肪肝和脂肪菌的患者[可能会恶化症状,因为它会影响脂质代谢。这是给出的
- 7。
- 患有严重肌肉的患者[在使用时,可能会恶化临时症状。这是给出的
- 8。
- 患有支气管哮喘的患者(请参阅“重要的基本预防措施”的部分。3。)
- 9。
- 溃疡性结肠炎的患者(涉嫌清洁,脓肿或其他化脓性感染)(如果涉嫌炎症反应,则如果可能隐藏这些疑问,可能会隐藏它。这是给出的
- 十。
- 老年人(请参阅有关“老年管理”的部分)
重要的基本预防措施
- 1。
- 由于服用了这种药物,可能会发生严重的副作用,例如诱导的感染,非疾病皮层功能,消化溃疡,糖尿病,精神疾病等,因此可能需要为该药物施用以下预防措施。这是。
- (1)
- 如果特别考虑管理,并且症状,如果可以预期其他治疗具有足够的治疗作用,请不要给药。如果地方管理足够,则应提供地方治疗。
- (2)
- 在管理过程中,请对副作用的出现进行足够的考虑和观察,并避免患者压力,并采取适当的措施,例如增加事故和手术的数量。
- (3)
- 连续使用肾上腺皮质激素药物后,突然停用给药可能会导致发烧,头痛,厌食,无力,肌肉疼痛,关节疼痛,休克等,因此该停止给药了。请小心,例如逐渐减轻体重。如果出现戒断症状,请立即重新加入或增加。
- 2。
- 乙型肝炎病毒载体的患者可能是由皮质类固醇给药的,可能是丙型肝炎丙型肝炎病毒引起的。请注意丙型肝炎病毒增殖的体征和症状,例如在给药期间和该药物给药结束时,肝功能测试值和肝炎病毒标志物。如果发现异常,请采取适当的措施,例如考虑到该药物的体重减轻,以施用抗病毒剂。对于HBS抗原阴性患者,在服药开始之前,已经报道了丙型肝炎病毒。
- 3。
- 这种药物的给药可能会使支气管哮喘患者的哮喘发作恶化,因此应特别注意对药物,食物,添加剂等烦躁的哮喘患者(阿司匹林哮喘等患者)。
- 四个。
- 特别是,必须支付以下预防措施,因为在这种药物期间用水痘或麻疹感染可能导致致命病程。
- (1)
- 在服用该药物之前,请检查水痘或麻疹病史以及疫苗接种的存在或不存在。
- (2)
- 在没有水痘或麻疹病史的患者中,始终需要充分考虑和观察,以防止水痘或麻疹感染。如果怀疑感染或感染感染,请立即指导咨询并采取适当的措施。
- (3)
- 应该注意的是,水痘或麻疹可能有水痘,麻疹或疫苗接种的病史,因为该药物可能会出现水痘或麻疹。
- 五。
- 当高剂量施用几天或更长时间时,可能会发生高血衡症,因此希望用其他类固醇(例如甲基泼尼松龙甲基盐酸酯)代替它。
- 6。
- 当这种药物在家中以急性肾上腺皮质功能障碍(肾上腺硫)为生时,应仔细考虑医生的有效性。
- (1)
- 家庭自我注射仅用于对确定患有肾上腺Creze的患者的紧急治疗,例如先天性肾上腺皮质酶缺陷,先天性肾上腺肾上腺症和垂体 - 早层叶子功能。医生。
- (2)
- 提供有关自我注射的足够的教育培训,例如需要使用这种药物,如何准备这种药物,如何处置该药物以及如何将这种药物处理给患者及其家人以及自我后 - 提示。立即咨询医疗机构。
相互作用
禁忌症(不要一起使用)- 毒品名称,等等
- 乙酸盐乙酸盐氢气(夜间由于夜间因凝块而夜间尿液))
- 临床症状 /度量方法
- 可能发生低钠血症。
- 机械 /危险因素
- 未知
- 毒品名称,等等
- 生疫苗或弱有毒原始疫苗(干BCG疫苗等)
- 临床症状 /度量方法
- 疫苗库存可能异常生长或毒性回报。
- 机械 /危险因素
- 接受免疫抑制引起的肾上腺皮质激素药物量的患者
|
合并用途的注释
(请注意联合使用)
- Ellislomycin aestrogen(包括口服避孕药)
- 临床症状 /度量方法
- 该药物的作用可能会得到增强。
请注意剂量,例如根据需要减少这种药物的重量。 - 机械 /危险因素
- 这种药物的代谢受到抑制。
- 毒品名称,抗皮质血,帕尔纳·帕林·帕林纳蒂芒葡萄酒钙,等等。
- 临床症状 /度量方法
- 可以增强或削弱抗血液的作用。
必要时调整该药物或抗凝集剂的剂量。 - 机械 /危险因素
- 该药物可能会增强血液凝血并与抗毒干剂的作用竞争。
另一方面,该药物的消化系统的副作用可能会增加抗加入器出血的风险。 - 示范,例如毒品名称,溴化雄酮溴化物,等等。
- 临床症状 /度量方法
- 它可能会增加或减少非抑制肌肉松弛剂的作用。
此外,肌病的结合出现在短时间内,可能导致肢体瘫痪。
根据需要调整该药物或非疗养的多物肌肉松弛剂的剂量。 - 机械 /危险因素
- 未知
- 非替代抗染料镇痛着火焰橡皮sasapylin dico fenac,等等。
- 临床症状 /度量方法
- 可能会发生消化系统(消化溃疡,消化管出血等)的副作用。
请注意剂量,例如根据需要减少镇痛性止热性镇痛炎症的量。 - 机械 /危险因素
- 两者都可能具有消化系统的副作用。
- 药物名称等。钾排泄型利尿剂三甲苯二聚乙二醇氢甲基二甲基水氢甲氧烷氮化物 - 氯化苯胺等。
- 临床症状 /度量方法
- 可能发生低钾血症。
请注意剂量,例如减轻这种药物的体重或必要时钾的排泄利尿剂。 - 机械 /危险因素
- 促进钾的排泄。
- 地高辛,等
- 临床症状 /度量方法
- 可能发生吉高素中毒。
注意剂量,例如根据需要减少该药物的重量或地高辛。 - 机械 /危险因素
- 由于钾的排泄引起的血液钾水平降低,地高辛的作用得到了增强。
- 水杨酸衍生物阿司匹林sasapirin,等。
- 临床症状 /度量方法
- 它可能引起水杨酸中毒(症状,例如头晕,耳鸣,恶心,恶心,过度换气,高烧和意识障碍)。
根据需要调整该药物或水杨酸衍生物的剂量。
如果出现水杨酸中毒,应采取适当的措施,例如停用水杨酸衍生物的给药。 - 机械 /危险因素
- 由于这种药物被认为可以促进水杨酸衍生物的代谢和排泄,因此认为血清中水杨酸衍生物的浓度会因突然的体重减轻或该药物的停职而增加。
- 芭比娃娃衍生物苯巴氏菌等。苯巴尔瓦等。Fenito-In -Ripicin
- 临床症状 /度量方法
- 该药物的作用可能会削弱。
根据需要调整此药物的剂量。 - 机械 /危险因素
- 这种药物的代谢得到了促进。
- 口服糖尿病等。为口服糖尿病的胰岛素制备Akarubose trazamide torbutamide
- 临床症状 /度量方法
- 这些药物的作用可能会削弱。
根据需要调整此药物的剂量。 - 机械 /危险因素
- 血糖水平是由于这种药物的新耐加糖等的作用而提高的。
- 环孢素,例如药物名称
- 临床症状 /度量方法
- 两者的血液浓度可能会升高。还可能发生抽搐。
请注意剂量,例如根据需要减少这种药物或环孢菌素。 - 机械 /危险因素
- 代谢受到阻碍。
副作用
- 该药物不进行调查,以阐明副作用的频率,例如用法调查。
严重的副作用
- 1.冲击(频率未知)
- 有时会震惊。它可能伴随着过敏反应,例如呼吸困难,全身逃离,血管水肿,荨麻疹等,因此可以充分观察到,如果发现异常,请采取适当的措施,例如中断给药。
- 2.传染病(频率未知)
- 病毒,细菌,真菌,原生动物,寄生虫等。传染病的诱导,迹象的隐藏以及传染病的恶化。据报道,当皮质类固醇量增加时,这些传染病的表达频率会增加,因此使用抗菌剂采取适当的措施。肝炎可能是由于乙型肝炎病毒的增殖。如果发现异常,请进行足够的观察并采取适当的措施。
- 3.连续的肾上腺皮质函数未记录(频率未知)
- 由于可能会出现连续的肾上腺皮质功能障碍,因此有必要进行足够的观察,如果发现异常,请采取适当的措施,例如重新管理或增加。
- 4.骨质疏松症,无菌坏死(频率未知)
- 可能会出现骨质疏松症,导致椎骨压缩性骨折和病理骨折。此外,由于可能会出现诸如股骨和上臂等无菌坏死,因此对疼痛等症状进行了足够的观察,如果发现异常,MRI等,将进行MRI等,并暂停给药。采取适当的措施,例如这样做。
- 5.胃肠道穿孔,消化道出血,消化溃疡(频率未知)
- 由于可能会出现胃肠道穿孔,消化道出血,消化溃疡,因此有必要对粪便神秘血的充分观察,如果发现异常,请采取适当的措施,例如中断。
- 6. Miopacy (频率未知)
- Miopachiy可能由于连续使用而出现。此外,据报道,在神经肌肉粘合部件的患者(例如非骨肌肉松弛剂或由严重的肌肉螺旋螺旋杆引导的严重护士肌肉)中,备受瞩目的时间已经在短时间内出现。观察CK(CPK)的上升,并采取适当的措施,例如如果发现异常,停止给药。
- 7.血栓形成(频率未知)
- 由于可能会发生血栓形成,因此采取足够的观察并采取适当的措施,例如如果发现异常,停止给药。
- 8.更高的内部压力,抽搐(频率未知)
- 可能会增加内部压力和抽搐,因此请采取足够的观察并采取适当的措施,例如如果发现异常,停止给药。
- 9.心理调制,抑郁(频率未知)
- 可能会出现精神调节和抑郁症,因此请确保足够观察并采取适当的措施,例如如果发现异常,停止给药。
- 10.糖尿病(频率未知)
- 糖尿病可能会出现,因此采取足够的观察并采取适当的措施,例如如果发现异常,停止给药。
- 11.青光眼,后囊白内障(频率未知)
- 希望进行定期检查,因为它可能会增加眼内压,青光眼和后囊白疾病。如果发现异常,请采取适当的措施,例如中断管理。
- 12.支气管哮喘(频率未知)
- 由于可能会发生哮喘发作的诱导或恶化,因此应充分执行观察结果,如果发现异常,则应停止施用并进行适当的治疗方法。
- 13.思维破裂(频率未知)
- 据报道,已经出现了急性心肌梗塞的患者,因此应充分观察到,如果发现异常,则有必要停止给药并采取适当的措施。
- 14.导电性心力衰竭(频率未知)
- 由于据报道已经出现了催眠的心力衰竭,因此有必要执行足够的观察,执行ECG等。如果发生异常,并采取适当的措施,例如中止给药。
- 15.食管炎(频率未知)
- 由于有报道说已经出现了食管炎,因此有必要做出足够的观察并采取适当的措施,例如如果发现异常,停止给药。
- 16. Caposal肉瘤(频率未知)
- 有报道称蜘蛛肉瘤已经出现,因此请确保做出足够的观察并采取适当的措施,例如如果发现异常,停止管理。
- 17.肌腱破裂(频率未知)
- 有报道称,肌腱泪液(例如跟腱)已经出现,因此请确保观察它们,并采取适当的措施,例如如果发现异常,停止给药。
另一个副作用
- 内分泌(频率未知)
- 月经异常,库欣类似症状
- 胃肠道(频率未知)
- 胰腺炎,腹泻,恶心和呕吐,胃痛,心碎,腹胀,口干,厌食症,食欲高
- 心血管(频率未知)
- 心动过缓,血压下降,血压升高
- 精神病学(频率未知)
- Yasukyo,失眠,头痛,头晕
- 肌肉 /骨骼(频率未知)
- 肌肉无力,肌肉疼痛,关节疼痛
- 管理站点(频率未知)
- 内部给药:不稳定的关节) ,疼痛,肿胀和压痛的肌肉恶化,皮肤给药:组织萎缩,抑郁症
- 脂质和蛋白质代谢(频率未知)
- 全月亮 - 脸,野牛肉肩,氮平衡平衡
- 体液 /电解质(频率未知)
- 水肿,低钾钾,降低钾,储存钠
- 肝(频率未知)
- AST(GOT)增加,ALT(GPT)增加,Al-P向上,脂肪肝
- 眼(频率未知)
- 中心性漿液性網脈絡膜症等による網膜障害、眼球突出
- 血液(頻度不明)
- 白血球増多
- 皮膚(頻度不明)
- 創傷治癒障害、紫斑、皮下溢血、ざ瘡、多毛、脱毛、色素沈着、色素脱失、線条、発汗異常、皮膚菲薄化・脆弱化、脂肪織炎
- 過敏症(頻度不明)
- 発疹、紅斑、そう痒
- その他(頻度不明)
- 発熱、疲労感、ステロイド腎症、体重増加、精子数及びその運動性の増減、無菌膿瘍、仮性脳腫瘍
- 注)このような症状があらわれた場合には投与を中止すること。これらの症状は投与直後に患部を強く動かすと起こりやすいとされているので、投与後は患者をしばらく安静にさせること。
高齢者への投与
- 高齢者には慎重に投与すること。〔高齢者に長期投与した場合、感染症の誘発、糖尿病、骨粗鬆症、高血圧症、後嚢白内障、緑内障等の副作用があらわれやすい。〕
妊婦、産婦、授乳婦等への投与
- 1.妊婦
- 妊婦又は妊娠している可能性のある婦人には、治療上の有益性が危険性を上回ると判断される場合にのみ投与すること。〔動物実験(マウス)で催奇形作用(口蓋裂)が報告されており、また、新生児に副腎不全を起こすことがある。〕
- 2.授乳婦
- 本剤投与中は授乳を避けさせること。〔母乳中へ移行することがある。〕
小児等への投与
- 1.
- 観察を十分に行うこと。〔小児等の発育抑制があらわれることがある。〕
- 2.
- 長期投与した場合、頭蓋内圧亢進症状があらわれることがある。
- 3.
- 小児等では、筋肉内又は皮内投与はなるべく避けること。〔特に投与部位の組織の萎縮(陥没)を起こしやすい。〕
- 4.
- *新生児及び乳児において一過性の肥大型心筋症が起こることが報告されている1)ため、本剤投与前及び本剤投与中は適宜心機能検査(心エコー等)によるモニタリングを行うなど、児の状態を十分に観察すること。
適用上の注意
- 1.投与経路
- 本剤は用法・用量にしたがって使用し、動脈注射、結膜下注射等に使用しないこと。
- 2.調製時
- (1)
- 添付溶解液はワンポイントカットアンプルを採用しているが、アンプルのカット時には、異物混入を避けるため、エタノール綿などで清拭した後ヤスリを用いずアンプル枝部のマークの反対方向へ折り取ること。
- (2)
- 本剤は、添付の溶解液を用いて用時溶解すること。溶解した液を輸液と混合して使用する場合には、5%ブドウ糖注射液、生理食塩液等を使用すること。なおその際、本剤はpHの変動等により白沈又は黄沈を生じることがあるので、輸液等と混合する場合には注意すること。また、本剤を数種薬剤と混合して使用する場合には、特に注意する必要がある。
- (3)
- ゴム栓又はその一部がバイアル内に脱落することがあるので、プラスチック針(両頭針)は使用しないこと。
- 3.静脈内投与時
- 静脈内投与により、血管痛、静脈炎があらわれることがあるので、これを予防するため、注射液の調製、注射部位、注射方法等について十分注意し、その注射速度はできるだけ遅くすること(例えば、本剤100mgあたり少なくとも1分ないし数分間かけて投与することが望ましい。)。
- 4.筋肉内投与時
- (1)
- 神経走行部位を避けるように注意すること。
- (2)
- 注射針を刺入したとき、激痛を訴えたり血液の逆流をみた場合は直ちに針を抜き、部位を変えて注射すること。
- 5.調製後の使用
- 溶解後はなるべく速やかに使用すること。なお、保存する場合でも24時間以内に使用すること。
その他の注意
- 1.
- β 2 -刺激剤との併用により、低カリウム血症があらわれることがある。
- 2.
- 外国において、死菌ワクチン又は不活化ワクチンの効果を減弱させるとの報告がある。
- 3.
- 副腎皮質ホルモン剤の投与により、皮膚試験の反応が抑制されることがあるので、本剤投与中に皮膚試験を実施する場合は注意すること。
薬物動態
- ヒドロコルチゾンコハク酸エステルは体内でヒドロコルチゾンに変換される。喘息児10例を対象とし、本品をヒドロコルチゾンとして体重1kgあたり5mg、1回静注したところ、ヒドロコルチゾンコハク酸エステルは投与後5分で最高血中濃度26.36mg/Lに達し、半減期5.38分でヒドロコルチゾンに変換された。また、ヒドロコルチゾンは投与10分後に最高血中濃度4.76mg/Lに達し、半減期1.24時間であった2) 。
薬効薬理
- 薬効薬理に関しては以下のような報告がされている。
- (1)抗炎症作用
- ・Chemical mediatorsの遊離抑制(ウサギ) 3)
・ライソゾーム膜の安定化( in vitro ) 4) - (2)抗アレルギー作用
- ・抗体産生抑制(ウサギ) 5)
- (3)抗ショック作用
- ・心機能促進(健康人、ショック患者) 6) (イヌ) 10)
・末梢血管拡張作用(イヌ) 7)10)
・ライソゾーム膜安定化作用(MDFの産生防止)(ウサギ) 8)
・乳酸の蓄積防止(イヌ) 9)10) - (4) β-adrenergic blockadeのblock又は機能低下の回復
- ・Adenyl cyclaseの直接刺激作用( in vitro ) 11)12)
・Phosphodiesterase活性の阻害( in vitro ) 11)12) - (5)副腎皮質機能不全の補償(副腎全摘患者) 13)
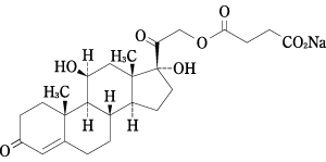
有効成分に関する理化学的知見
- 一般名
- ヒドロコルチゾンコハク酸エステルナトリウム、
Hydrocortisone Sodium Succinate(JAN) - 化学名
- Monosodium 11β,17,21-trihydroxypregn-4-ene-3,20-dione 21-succinate
- 分子式
- C 25 H 33 NaO 8
- 分子量
- 484.51
- 構造式

- 性状
- 白色の粉末又は塊である。水、メタノール又はエタノール(95)に溶けやすい。吸湿性である。光によって徐々に着色する。結晶多形が認められる。
取扱い上の注意
- 1.保存時の注意
- 外箱から取り出した後は、光を避けて保存すること。
- 2.安定性試験14)
- 最終包装製品を用いた加速試験(40℃、相対湿度75%、6ヵ月)の結果、ヒドロコルチゾンコハク酸エステルNa注射用100mg「NIG」及びヒドロコルチゾンコハク酸エステルNa注射用300mg「NIG」は通常の市場流通下において3年間安定であることが推測された。
包装
- ヒドロコルチゾンコハク酸エステルNa注射用100mg「NIG」 5バイアル(溶解液付)
- ヒドロコルチゾンコハク酸エステルNa注射用300mg「NIG」 5バイアル(溶解液付)
主要文献
- 1)
- *Vimala, J. et al.:Int J Cardiol. 2011;150:e94
- 2)
- 岩崎栄作他:アレルギー 1993;42:1555
- 3)
- Carrillo,LRet al.:J.Pharmacol.Exp.Ther. 1968;164:302
- 4)
- Ennis,RSet al.:Arthritis.Rheum. 1968;11:756
- 5)
- Halpern,BNet al.:J.Allergy 1952;23:303
- 6)
- Sambhi,MPet al.:Circulation 1965;31:523
- 7)
- Lillehei,RCet al.:Ann.Surg. 1964;160:682
- 8)
- Lefer,AMet al.:Clin.Pharmacol.Ther. 1970;11:630
- 9)
- Schumer,W.et al.:Surg.Clin.North Am. 1969;49:147
- 10)
- 吉田 剛他:外科 1969;31:858
- 11)
- Coffey,RGet al.:J.Allergy Clin.Immunol. 1972;49:87
- 12)
- Logsdon,PJet al.:J.Allergy Clin.Immunol. 1972;50:45
- 13)
- 永井良治他:日本外科学会雑誌 1972;73:1052
- 14)
- 日医工岐阜工場(株):社内資料(安定性試験)
文献請求先・製品情報お問い合わせ先
- **主要文献欄に記載の文献・社内資料は下記にご請求下さい。
日医工株式会社 お客様サポートセンター - 〒930-8583 富山市総曲輪1丁目6番21
- TEL (0120) 517-215
- FAX (076) 442-8948
製造販売業者等の氏名又は名称及び住所
- 販売
- 武田薬品工業株式会社
- 大阪市中央区道修町四丁目1番1号
- **発売元
- 日医工株式会社
- 富山市総曲輪1丁目6番21
- **製造販売元
- 日医工岐阜工場株式会社
- 富山市総曲輪1丁目6番21