4006 776 356
免费咨询 9:00-18:00
获取国外500毫克的“ nig”,用于Na Essillate Hydrokorchizonkojazh-C药品价格,使用等信息,最快 24 小时回馈
出境医 / 海外药品 / 500毫克的“ nig”,用于Na Essillate Hydrokorchizonkojazh-C
500毫克的“ nig”,用于Na Essillate Hydrokorchizonkojazh-C
1978年4月
** Hydrocorchizonkohakuate Eter Na 500mg“ Nig”
创建或修订年
- **于2022年6月修订(第26版,连续修订)
- *修订于2021年7月
日本标准产品分类编号
- 872452
日本标准产品分类编号,等等。
- 重新评估结果公告年(最新)
- 1995年5月
- 功效或效力额外批准日期(最新)
- 2017年11月
医学分类名称
- 水 - 溶质氢化软管制剂
批准,等等
- 销售名称
- ** Hydrocorchizonkohakuate Eter Na 500mg“ Nig”
销售名称代码
- 2452400D6094
- 批准编号
- 30200AMX00567
- 欧洲商品名称
- 氢化可的松琥珀酸盐NA进行尿素
药品价格标准日期
- ** 2022年6月
销售日期
- 1978年4月
储蓄,到期日期等
- 储蓄
- 请参阅“处理预防措施”部分节省室温的部分
- 截止日期
- 显示在外部盒子上,等等。
法规类别
- 处方药
- 预防措施 - 通过医生等处方使用
作品
- 有效成分
- Hydrocorchizonkohakuate酯Natentium
- 内容
- (在1个小瓶中)
668.5mg
(相当于500毫克的氢化软管子) - 添加剂
- (在1个小瓶中)
绣球花148毫克
氢钠水合物13.5 mg
pH调节量适当金额
特点
- 特点
- 该产品是白色至白色的湿润固体物质(粉状或多孔肿块),没有气味,并且溶解在附着的溶解溶液中。
- ph
- 7.0-8.0
- 渗透比率
- 大约2
(与盐水的比率) - 独奏溶液(日本盐溶液)
- 1安培中的6毫升
一般名称
- 氢化物核kohakuate酯natrium注射剂
限制(请勿对下一个患者进行管理)- 1.不要对以下患者进行管理
- (1)
- 对该药物成分过敏的患者
- (2)
- deSmo plesin actecrophic Hydration(由男性中高氨基引起的夜间尿液分析)的患者正在服用(请参阅“相互作用”)
- 2. *请勿使用以下药物
- 请勿将原始疫苗接种或对以免疫固定剂量施用的患者进行接种的原始疫苗。
|
原则上是禁忌的(原则上,它不会对下一个患者进行管理,但请在必要时仔细管理)- 1。
- 患有有效抗菌剂的不存在感染的患者,全身患有依bid症患者。这是给出的
- 2。
- 患有急性心肌梗塞的患者。这是给出的
|
功效或效果
- 急性循环就职典礼(出血冲击,创伤性休克)和紧急支气管哮喘处于休克状态
用法和剂量
- 急性循环就职典礼(出血冲击,创伤冲击)和紧急状态
- 通常,一次250至1000毫克的250至1000 mg逐渐注射或静脉注射。如果症状没有改善,则将适当管理其他管理员。
- 支气管哮喘
- (1)
- 通常,成年人在静脉注射或静脉注射100至500毫克最初被绑架的量中逐渐注射。如果症状没有改善,则每4至6小时一次逐渐施用50至200毫克。此外,根据年龄和症状,它将适当地增加或减少。
- (2)
- 通常,对于2岁或以上的儿童,最初控制的5至7 mg/kg作为氢化软管子是逐渐静脉注射或静脉注射。如果症状没有改善,则每6小时一次逐渐施用5至7 mg/kg。此外,根据年龄和症状,它将适当地增加或减少。
- (3)
- 通常,两岁以下的儿童在注射5 mg/kg的初始分布作为氢化软件时逐渐静脉注射或静脉注射。如果症状没有改善,则每6至8小时逐渐增加5 mg/kg。此外,根据年龄和症状,它将适当地增加或减少。
使用预防措施
谨慎的管理
(请小心地给下一个患者管理)
- 1。
- 消化溃疡和憩室炎的患者。这是给出的
- 2。
- 糖尿病患者[促进糖生糖并降低细胞胰岛素的敏感性,这可能会使症状恶化。这是给出的
- 3。
- 传染病患者[抑制免疫功能,降低宿主防御能力并恶化症状。此外,应采取适当的传染病治疗方法,因为可以抑制炎症反应并隐藏迹象。这是给出的
- 四个。
- 结核病疾病的患者[抑制免疫功能,降低宿主防御能力,可能恶化或表现出症状,因此可以适当使用抗核治疗。这是给出的
- 五。
- 简化牡蛎的患者[可能导致角膜穿孔。这是给出的
- 6。
- 骨质疏松症的患者[抑制骨底物的合成并抑制骨形成,这可能会使症状恶化。这是给出的
- 7。
- 精神病患者[中枢神经系统刺激作用可能会使症状恶化。这是给出的
- 8。
- 后囊性的患者[有改变镜头囊并恶化症状的风险。这是给出的
- 9。
- 青光眼患者[增加眼内压力并可能恶化症状。这是给出的
- 十。
- 肾功能衰竭,高血压和催血心力衰竭的患者[钠储存动作可能会使症状恶化。这是给出的
- 11。
- 电解质异常的患者[因为它会影响电解质代谢,因此可能会恶化症状。这是给出的
- 12。
- 甲状腺功能低下的患者,肝硬化患者[代谢而抑制并可能发生副作用。这是给出的
- 13。
- 患有脂肪肝和脂肪菌的患者[可能会恶化症状,因为它会影响脂质代谢。这是给出的
- 14。
- 血栓形成患者。这是给出的
- 15。
- 患有严重肌肉的患者[在使用时,可能会恶化临时症状。这是给出的
- 16。
- 支气管哮喘患者(请参阅第3节)
- 17。
- 最近进行内部手术手术的患者。这是给出的
- 18。
- 溃疡性结肠炎的患者(涉嫌清洁,脓肿或其他化脓性感染)(如果涉嫌炎症反应,则如果可能隐藏这些疑问,可能会隐藏它。这是给出的
- 19。
- 老年人(请参阅有关“老年管理”的部分)
重要的基本预防措施
- 1。
- 由于服用了这种药物,可能会出现严重的副作用,例如诱发感染,心血管疾病,持续的肾上腺皮质功能,消化溃疡,糖尿病,精神障碍等,因此可能会出现这种药物。
- (1)
- 使用该药物进行感染性休克的有效性尚未得到证实。
- (2)
- 如果减震患者的冲击得到改善,请立即停止管理。
- (3)
- 据报道,心脏骤停,循环崩溃,心律不齐等通过与其他肾上腺皮质激素剂说明高剂量,因此在使用该药物的高剂量时会逐渐给药。
- (四)
- 在管理过程中,请对副作用的出现进行足够的考虑和观察,并避免患者压力,并采取适当的措施,例如增加事故和手术的数量。
- (五)
- 连续使用肾上腺皮质激素药物后,突然停用给药可能会导致发烧,头痛,厌食,无力,肌肉疼痛,关节疼痛,休克等,因此该停止给药了。请小心,例如逐渐减轻体重。如果出现戒断症状,请立即重新加入或增加。
- 2。
- 乙型肝炎病毒载体的患者可能是由皮质类固醇给药的,可能是丙型肝炎丙型肝炎病毒引起的。请注意丙型肝炎病毒增殖的体征和症状,例如在给药期间和该药物给药结束时,肝功能测试值和肝炎病毒标志物。如果发现异常,请采取适当的措施,例如考虑到该药物的体重减轻,以施用抗病毒剂。对于HBS抗原阴性患者,在服药开始之前,已经报道了丙型肝炎病毒。
- 3。
- 这种药物的给药可能会使支气管哮喘患者的哮喘发作恶化,因此应特别注意对药物,食物,添加剂等烦躁的哮喘患者(阿司匹林哮喘等患者)。
- 四个。
- 特别是,必须支付以下预防措施,因为在这种药物期间用水痘或麻疹感染可能导致致命病程。
- (1)
- 在服用该药物之前,请检查水痘或麻疹病史以及疫苗接种的存在或不存在。
- (2)
- 在没有水痘或麻疹病史的患者中,始终需要充分考虑和观察,以防止水痘或麻疹感染。如果怀疑感染或感染感染,请立即指导咨询并采取适当的措施。
- (3)
- 应该注意的是,水痘或麻疹可能有水痘,麻疹或疫苗接种的病史,因为该药物可能会出现水痘或麻疹。
- 五。
- 当高剂量施用几天或更长时间时,可能会发生高血衡症,因此希望用其他类固醇(例如甲基泼尼松龙甲基盐酸酯)代替它。
相互作用
禁忌症(不要一起使用)- 毒品名称,等等
- 乙酸盐乙酸盐氢气(夜间由于夜间因凝块而夜间尿液))
- 临床症状 /度量方法
- 可能发生低钠血症。
- 机械 /危险因素
- 未知
- 毒品名称,等等
- 生疫苗或弱有毒原始疫苗(干BCG疫苗等)
- 临床症状 /度量方法
- 疫苗库存可能异常生长或毒性回报。
- 机械 /危险因素
- 接受免疫抑制引起的肾上腺皮质激素药物量的患者
|
合并用途的注释
(请注意联合使用)
- Ellislysomycin aestrogen(包括口服避孕药),例如药物名称)
- 临床症状 /度量方法
- 该药物的作用可能会得到增强。
请注意剂量,例如根据需要减少这种药物的重量。 - 机械 /危险因素
- 这种药物的代谢受到抑制。
- 毒品名称,抗皮质血,帕尔纳·帕林·帕林纳蒂芒葡萄酒钙,等等。
- 临床症状 /度量方法
- 可以增强或削弱抗血液的作用。
必要时调整该药物或抗凝集剂的剂量。 - 机械 /危险因素
- 该药物可能会增强血液凝血并与抗毒干剂的作用竞争。
另一方面,该药物的消化系统的副作用可能会增加抗加入器出血的风险。 - 示范,例如毒品名称,溴化雄酮溴化物,等等。
- 临床症状 /度量方法
- 它可能会增加或减少非抑制肌肉松弛剂的作用。
此外,肌病的结合出现在短时间内,可能导致肢体瘫痪。
根据需要调整该药物或非疗养的多物肌肉松弛剂的剂量。 - 机械 /危险因素
- 未知
- 非替代抗染料镇痛着火焰橡皮sasapylin dico fenac,等等。
- 临床症状 /度量方法
- 可能会发生消化系统(消化溃疡,消化管出血等)的副作用。
请注意剂量,例如根据需要减少镇痛性止热性镇痛炎症的量。 - 机械 /危险因素
- 两者都可能具有消化系统的副作用。
- 药物名称等。钾排泄型利尿剂三甲苯二聚乙二醇氢甲基二甲基水氢甲氧烷氮化物 - 氯化苯胺等。
- 临床症状 /度量方法
- 可能发生低钾血症。
请注意剂量,例如减轻这种药物的体重或必要时钾的排泄利尿剂。 - 机械 /危险因素
- 促进钾的排泄。
- 地高辛,等
- 临床症状 /度量方法
- 可能发生吉高素中毒。
注意剂量,例如根据需要减少该药物的重量或地高辛。 - 机械 /危险因素
- 由于钾的排泄引起的血液钾水平降低,地高辛的作用得到了增强。
- 水杨酸衍生物阿司匹林sasapirin,等。
- 临床症状 /度量方法
- 它可能引起水杨酸中毒(症状,例如头晕,耳鸣,恶心,恶心,过度换气,高烧和意识障碍)。
根据需要调整该药物或水杨酸衍生物的剂量。
如果出现水杨酸中毒,应采取适当的措施,例如停用水杨酸衍生物的给药。 - 机械 /危险因素
- 由于这种药物被认为可以促进水杨酸衍生物的代谢和排泄,因此认为血清中水杨酸衍生物的浓度会因突然的体重减轻或该药物的停职而增加。
- 芭比娃娃衍生物苯巴氏菌等。苯巴尔瓦等。Fenito-In -Ripicin
- 临床症状 /度量方法
- 该药物的作用可能会削弱。
根据需要调整此药物的剂量。 - 机械 /危险因素
- 这种药物的代谢得到了促进。
- 口服糖尿病等。为口服糖尿病的胰岛素制备Akarubose trazamide torbutamide
- 临床症状 /度量方法
- 这些药物的作用可能会削弱。
根据需要调整此药物的剂量。 - 机械 /危险因素
- 血糖水平是由于这种药物的新耐加糖等的作用而提高的。
- 环孢素,例如药物名称
- 临床症状 /度量方法
- 两者的血液浓度可能会升高。还可能发生抽搐。
请注意剂量,例如根据需要减少这种药物或环孢菌素。 - 机械 /危险因素
- 代谢受到阻碍。
副作用
- 该药物不进行调查,以阐明副作用的频率,例如用法调查。
严重的副作用
- 1.冲击(频率未知)
- 有时会震惊。它可能伴随着过敏反应,例如呼吸困难,全身逃离,血管水肿,荨麻疹等,因此可以充分观察到,如果发现异常,请采取适当的措施,例如中断给药。
- 2.传染病(频率未知)
- 病毒,细菌,真菌,原生动物,寄生虫等。传染病的诱导,迹象的隐藏以及传染病的恶化。据报道,当皮质类固醇量增加时,这些传染病的表达频率会增加,因此使用抗菌剂采取适当的措施。肝炎可能是由于乙型肝炎病毒的增殖。如果发现异常,请进行足够的观察并采取适当的措施。
- 3.连续的肾上腺皮质函数未记录(频率未知)
- 由于可能会出现连续的肾上腺皮质功能障碍,因此有必要进行足够的观察,如果发现异常,请采取适当的措施,例如重新管理或增加。
- 4.骨质疏松症,无菌坏死(频率未知)
- 可能会出现骨质疏松症,导致椎骨压缩性骨折和病理骨折。此外,由于可能会出现诸如股骨和上臂等无菌坏死,因此对疼痛等症状进行了足够的观察,如果发现异常,MRI等,将进行MRI等,并暂停给药。采取适当的措施,例如这样做。
- 5.胃肠道穿孔,消化道出血,消化溃疡(频率未知)
- 由于可能会出现胃肠道穿孔,消化道出血,消化溃疡,因此有必要对粪便神秘血的充分观察,如果发现异常,请采取适当的措施,例如中断。
- 6. Miopacy (频率未知)
- Miopachiy可能由于连续使用而出现。此外,据报道,在神经肌肉粘合部件的患者(例如非骨肌肉松弛剂或由严重的肌肉螺旋螺旋杆引导的严重护士肌肉)中,备受瞩目的时间已经在短时间内出现。观察CK(CPK)的上升,并采取适当的措施,例如如果发现异常,停止给药。
- 7.血栓形成(频率未知)
- 由于可能会发生血栓形成,因此采取足够的观察并采取适当的措施,例如如果发现异常,停止给药。
- 8.更高的内部压力,抽搐(频率未知)
- 可能会增加内部压力和抽搐,因此请采取足够的观察并采取适当的措施,例如如果发现异常,停止给药。
- 9.心理调制,抑郁(频率未知)
- 可能会出现精神调节和抑郁症,因此请确保足够观察并采取适当的措施,例如如果发现异常,停止给药。
- 10.糖尿病(频率未知)
- 糖尿病可能会出现,因此采取足够的观察并采取适当的措施,例如如果发现异常,停止给药。
- 11.青光眼,后囊白内障(频率未知)
- 希望进行定期检查,因为它可能会增加眼内压,青光眼和后囊白疾病。如果发现异常,请采取适当的措施,例如中断管理。
- 12.支气管哮喘(频率未知)
- 由于可能会发生哮喘发作的诱导或恶化,因此应充分执行观察结果,如果发现异常,则应停止施用并进行适当的治疗方法。
- 13.思维破裂(频率未知)
- 据报道,已经出现了急性心肌梗塞的患者,因此应充分观察到,如果发现异常,则有必要停止给药并采取适当的措施。
- 14.导电性心力衰竭(频率未知)
- 由于据报道已经出现了催眠的心力衰竭,因此有必要执行足够的观察,执行ECG等。如果发生异常,并采取适当的措施,例如中止给药。
- 15.食管炎(频率未知)
- 由于有报道说已经出现了食管炎,因此有必要做出足够的观察并采取适当的措施,例如如果发现异常,停止给药。
- 16. Caposal肉瘤(频率未知)
- 有报道称蜘蛛肉瘤已经出现,因此请确保做出足够的观察并采取适当的措施,例如如果发现异常,停止管理。
- 17.肌腱破裂(频率未知)
- 有报道称,肌腱泪液(例如跟腱)已经出现,因此请确保观察它们,并采取适当的措施,例如如果发现异常,停止给药。
严重的副作用(药物类似)
- 心脏骤停,循环崩溃,心律不齐
- 据报道,心脏骤停,循环崩溃和心律不齐是通过与其他肾上腺皮质激素剂迅速说明高剂量的出现的,因此在使用该药物的高剂量时逐渐对其进行施用。
另一个副作用
- 内分泌(频率未知)
- 月经异常,库欣类似症状
- 胃肠道(频率未知)
- 胰腺炎,腹泻,恶心和呕吐,胃痛,心碎,腹胀,口干,厌食症,食欲高
- 心血管(频率未知)
- 心动过缓,血压下降,血压升高
- 精神病学(频率未知)
- Yasukyo,失眠,头痛,头晕
- 肌肉 /骨骼(频率未知)
- 肌肉无力,肌肉疼痛,关节疼痛
- 脂质和蛋白质代谢(频率未知)
- 全月亮 - 脸,野牛肉肩,氮平衡平衡
- 体液 /电解质(频率未知)
- 水肿,低钾钾,降低钾,储存钠
- 肝(频率未知)
- AST(GOT)增加,ALT(GPT)增加,Al-P向上,脂肪肝
- 眼(频率未知)
- 由于中央蛇状海豚瘤等引起的视网膜疾病,伸出了眼球
- 血液(频率未知)
- 白细胞
- 皮肤(频率未知)
- 草坪愈合障碍,紫色斑点,皮下出血,痤疮,多脑,脱发,色素沉着,色素沉着,线性,异常出汗,双脑炎,脂肪。
- 高敏性(频率未知)
- 皮疹,红斑,所以发痒
- 其他(频率未知)
- 特征,疲劳,类固醇肾病,体重增加,精子和运动的增加 /减少,无菌脓肿,伪脑肿瘤
老年人的管理
- 小心地向老年人灌输。 [长期给予老年人,副作用,例如诱发传染病,糖尿病,骨质疏松症,高血压,后SAC白内障和青光眼等副作用可能会出现。这是给出的
管理孕妇,妇产科妇女等。
- 1.孕妇
- 对于可能怀孕的孕妇或妇女,只有在确定治疗要超过危险的情况下才有必要管理。 [动物实验(小鼠)报告了巨大的作用(Clef Crown),并可能导致新生儿的肾上腺失败。这是给出的
- 2.母乳喂养的女人
- 在这种药物期间避免母乳喂养。 [有时转移到母乳。这是给出的
给儿童的管理等
- 1。
- 进行足够的观察。 [可能发生儿童的成长抑制。这是给出的
- 2。
- 在长期给药的情况下,可能会出现颅内内压。
- 3。
- *据报道,瞬时肥大性心肌病发生在新生儿和婴儿中1) ,因此在执行该药物之前和期间,请根据适当的心脏功能检查(Echo等)进行监测。请确保观察孩子的病情。
适用的预防措施
- 1.管理路线
- 该药物必须仅根据用法和剂量来用于静脉或输注的微不足道。该药物不适用于动脉注射,肌内注射,静脉内脊柱内腔注射,内向注射,眼科等(内部给药可能导致局部组织的抑郁症被收缩)。
- 2.在准备时
- (1)
- 连接的溶解溶液是由一个点切的安培制成的,但是当切割安培时,它应该用乙醇棉花或类似的溶解溶液,然后以不使用文件的不使用文件的相反方向折叠。
- (2)
- 使用附着的溶解溶液施用该药物应溶解。当使用输注溶解溶液时,请使用5%的葡萄糖注射或生理盐水。当时,与输注混合时要小心,因为由于pH波动而导致这种药物可能发生白色或黄色。还必须特别注意与多种药物混合使用该药物的使用。
- (3)
- 请勿使用塑料针(两个头针),因为橡胶塞或部分可能会掉入小瓶中。
- 3.在静脉内给药时
- 在静脉内给药中,可能会出现血管疼痛和静脉炎症,因此请谨慎准备,注射部位,注射方法等,以使注射速度尽可能慢(例如,(例如,(例如,,,,) (例如,(例如,注射部位)。当剂量超过500 mg时,希望至少需要10分钟或更长时间。)
- 4.准备后使用
- 解散后尽快使用。另外,即使保存,也可以在24小时内使用。
其他预防措施
- 1。
- 低钾血症可能与β2刺激剂结合出现。
- 2。
- 据报道,在国外,死亡细菌疫苗或灭活疫苗的影响减少了。
- 3。
- 在这种药物期间进行皮肤测试时要小心,因为皮质类固醇的给药可能会减少该药物给药期间皮肤测试的反应。
药物
- 已经报告了以下报告有关药物作用的报告。
- 反击动作
- ・促进心脏功能(健康,休克患者) 2) (狗) 3)
・外周血延伸(狗) 3)4)
risozome膜稳定效应(MDF生产预防)(兔子) 5) (体外)6) 6)
・预防乳酸积累(DOG) 3)7)
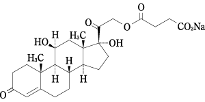
有关活性成分的物理和化学知识
- 通用名称
- 氧化氢钠琥珀酸酯(JAN)
- 化学名称
- 单钠11β,17,21-三氢氧化-4-烯-4-烯-3,20-20-二酮21-核酸盐
- 分子
- C 25 H 33 NAO 8
- 分子量
- 484.51
- 结构公式

- 特点
- 它是白色粉末或肿块。溶解在水,甲醇或乙醇中很容易(95)。它是吸湿性的。逐渐被光着色。已经认识到晶体多态性。
处理的预防措施
- 1.保存时的预防措施
- 将其从外部盒子中取出后,避免使用光并保存。
- 2.稳定性测试8)
- 由于使用最终包装产物(40°C,相对湿度,75%,6个月)的加速测试,据推测,在正常市场下,氢化可核酸盐的500mg“ nig”在正常市场下稳定3年。
包装
- 500mg“ nig”,用于Na essillate hydocorchizonkohakuate“ nig”:5小瓶(带溶解的液体)
主要文献
- 1)
- *Vimala,J。等人:Int JCardiol。2011; 150:e94
- 2)
- Sambhi,Mpet Al。:流通1965; 31:523
- 3)
- 吉田TSUYOSHI等:手术1969; 31:858
- 四)
- Lillehei,Rcet Al。:Ann.Surg。1964; 160:682
- 五)
- Lefer,Amet Al。:Clin.pharmacol.ther。1970; 11:630
- 6)
- 恩尼斯(Ennis),rset al。:关节炎。1968年; 11:756
- 7)
- Schumer,W.Et Al。:Sclin.NorthAm。1969; 49:147
- 8)
- Nisshin Kifu工厂有限公司:在 - 房屋材料(稳定性测试)中
文献请求 /产品信息查询
- **请在下面的主要文献列中索取文献和 - 房屋材料。
Nissin II Corporation客户支持中心 - 〒930-8583工会城索戈学院1-6th 21
- 电话(0120)517-215
- 传真(076)442-8948
制造商等的姓名或名称和地址等。
- 销售
- 武田制药有限公司
- 4-1-1,大阪的Chuo-ku
- **销售代理
- Nisshin II公司
- 富山城市sora chang 1-6-6 21
- **制造和分销商
- Nisshin Kifu工厂有限公司
- 富山城市sora chang 1-6-6 21