4006 776 356
免费咨询 9:00-18:00
获取国外Florineev片0.1 mgjano药品价格,使用等信息,最快 24 小时回馈
出境医 / 海外药品 / Florineev片0.1 mgjano
Florineev片0.1 mgjano
1987年8月
Florinev片0.1 mg
创建或修订年
- **于2021年9月修订(第14版)
- *修订于2017年9月(第13版)
日本标准产品分类编号
- 872459
日本标准产品分类编号,等等。
- 改建结果公告年(最新)
- 1998年3月
医学分类名称
- 合成矿物皮质类药物
批准,等等
- 销售名称
- Florinev片0.1 mg
销售名称代码
- 2452003F1035
批准 /许可号码
- 批准编号
- 22000AMX00474000
- 欧洲商品名称
- Florinef片0.1mg
药品价格标准日期
- 2008年6月
销售日期
- 1987年8月
储蓄,到期日期等
- 储蓄
- 阴影 /室温存储
- 截止日期
- 2年(到期日期在外部框中列出。)
法规类别
- 阳性药物
- 处方药
- 预防措施 - 通过医生等处方使用
作品
- 该药物在一台片剂中含有0.1毫克的日本局,Fulldo Lokoltizon乙酸盐。
- 包括添加剂,钙氢氢,Tomolo巧克力,肿瘤鸡肉,tulc,镁,硬脂酸,钠,乳糖和氢氢。
特点
- 颜色
- 白色的
- *外部的

- 直径
- 6.4mm
- 厚度
- 3.0mm
- 重量
- 0.1g
一般名称
- Fulldo Locoltizon乙酸锁
限制(请勿对下一个患者进行管理)- 对该药物成分过敏的患者
|
原则上是禁忌的(原则上,它不会对下一个患者进行管理,但请在必要时仔细管理)- 1。
- 高血压[钠,储能作用等的患者可能导致高血压。这是给出的
- 2。
- 没有有效抗菌剂的感染,全身ICIFICET的患者。这是给出的
- 3。
- 消化溃疡的患者[由于粘膜防御能力的降低,消化溃疡可能加剧。这是给出的
- 四个。
- 精神病患者[影响中枢神经系统,并可能加剧精神疾病。这是给出的
- 五。
- 结核病患者[免疫功能抑制作用可能导致结核病病加剧。这是给出的
- 6。
- 简单的氧化针灸患者[免疫功能抑制可能导致简单性角膜炎可能加剧。这是给出的
- 7。
- 后来的白内障患者[影响透镜纤维,并可能加剧侧面白内障。这是给出的
- 8。
- 青光眼患者[内部压力增加,青光眼可能更糟。这是给出的
- 9。
- 血栓形成患者。这是给出的
- 十。
- 最近进行内部器官的患者[可能会延迟伤口愈合。这是给出的
- 11。
- 患有急性心肌梗塞的患者[据报道,这会导致破裂。这是给出的
|
功效或效果
- 盐流失型先天性肾上腺皮质增生
- 盐流失型慢性肾上腺皮质功能未记录(阿齐森氏病)
用法和剂量
- 作为乙酸酯的完整 - 二洛凝剂,每天的0.02至0.1 mg通常分为2-3次。
此外,行政和婴儿将开始从0.025到0.05 mg,并且由于年龄和症状而适当地增加或减少。
与使用和剂量有关的预防措施
- 由于敏感性的变化取决于年龄,因此必须测量血清电解质,肾素活性,血压等的定期测量,尤其是在新生儿和婴儿期间,并仔细仔细施用。
使用预防措施
谨慎的管理
(请小心地给下一个患者管理)
- 1。
- 传染病患者[免疫功能抑制作用可能导致传染病。这是给出的
- 2。
- 糖尿病患者[类似类似的促销作用等可能会增加血糖,并可能加剧糖尿病。这是给出的
- 3。
- 骨质疏松症的患者[骨质疏松症可能由于骨形成抑制而恶化。这是给出的
- 四个。
- 肾衰竭的患者[症状可能恶化。这是给出的
- 五。
- 患有催血心力衰竭的患者[症状可能恶化。这是给出的
- 6。
- 甲状腺功能低下的患者[症状可能恶化。这是给出的
- 7。
- 肝硬化患者[影响脂质代谢,并可能恶化肝硬化。在患有慢性肝病的患者中,观察到血液半衰期的延伸,可能会发生副作用。这是给出的
- 8。
- 脂肪肝的患者[影响脂质代谢,并可能加剧脂肪肝。这是给出的
- 9。
- 脂肪菌病的患者这是给出的
- 十。
- 严重肌肉的患者这是给出的
- 11。
- 老年人(请参阅有关“老年管理”的部分)
重要的基本预防措施
- 1。
- 由于该药物具有强大的矿物质皮质类似,因此必须在服用该药物时采取以下预防措施。
- (1)
- 适应和症状应考虑进行给药。
- (2)
- 在确定维持量之前,经常使用血压(每天一次或更多),并根据需要测量子申请分辨率,并在适当的情况下升高或降低剂量。
- (3)
- 由于服用该药物,可能会发生这种药物,高血压,高血压,低核血症,水肿等,因此,如果出现这些症状,体重会减轻,例如减轻体重。还要注意盐的摄入量。
- (四)
- 对于长期服用,应定期测量血压和血清电解质。
- 2。
- 特别是,必须支付以下预防措施,因为在这种药物期间用水痘或麻疹感染可能导致致命病程。
- (1)
- 在服用该药物之前,请检查水痘或麻疹病史以及疫苗接种的存在或不存在。
- (2)
- 在没有水痘或麻疹病史的患者中,始终需要充分考虑和观察,以防止水痘或麻疹感染。如果怀疑感染或感染感染,请立即指导咨询并采取适当的措施。
- (3)
- 应该注意的是,水痘或麻疹可能有水痘,麻疹或疫苗接种的病史,因为该药物可能会出现水痘或麻疹。
- 3。
- 乙型肝炎病毒载体的患者可能是由皮质类固醇给药的,可能是丙型肝炎丙型肝炎病毒引起的。请注意丙型肝炎病毒增殖的体征和症状,例如在给药期间和该药物给药结束时,肝功能测试值和肝炎病毒标志物。如果发现异常,请采取适当的措施,例如考虑到该药物的体重减轻,以施用抗病毒剂。对于HBS抗原阴性患者,在服药开始之前,已经报道了丙型肝炎病毒。
相互作用
合并用途的注释
(请注意联合使用)
- 1。芭比氨酸衍生物现场lipinpinpicin,例如药物名称
- 临床症状 /度量方法
- 据报道,该药物的作用被削弱了,因此在一起使用时要小心。
- 机械 /危险因素
- 巴比妥酸衍生物,落下和利福平诱导的P-450,促进该药物的代谢。
- 2。水杨酸衍生物阿司匹林,阿司匹林拨盘,sasapylin等
- 临床症状 /度量方法
- 据报道,当混合使用时降低药物时,在连续酸剂量中增加了水杨酸衍生物的浓度,因此在一起使用时要小心。
- 机械 /危险因素
- 该药物促进血清中水杨酸衍生物中的肾脏排泄和肝代谢,从而降低了血清中的水杨酸浓度。
- 3。毒品名称等。
- 临床症状 /度量方法
- 据报道,它可以减少抗议药的影响,因此一起使用时要小心。
- 机械 /危险因素
- 该药物具有血液凝血促进作用。
- 四个。口服糖尿病等。Aceto -Hexamide等。
胰岛素制备- 临床症状 /度量方法
- 据报道,它可以减少口服糖尿病和胰岛素制剂的作用,因此在一起使用时要小心。
- 机械 /危险因素
- 该药物促进肝脏中的葡萄糖,并抑制在外周组织中使用糖的使用。
- 五。利尿剂,例如药物名称(不包括钾)
三甲基二氮,乙酰唑胺,氟胺等。- 临床症状 /度量方法
- 一起使用剂量时要注意剂量,因为由于使用的综合使用可能会导致低钾血症。
- 机械 /危险因素
- 该药物在尿管中具有钾的促进作用。
- 6。环孢素,例如药物名称
- 临床症状 /度量方法
- 据报道,大量其他肾上腺皮质激素药物会增加环孢霉素联合环孢菌素的血液浓度,因此在一起使用时要小心。
- 机械 /危险因素
- 这种药物阻碍了环孢菌素的代谢。
- 7。演示杆,例如毒品名称,Punkronium,Vecronium等。
- 临床症状 /度量方法
- 有报道说肌肉放松效果将降低,因此一起使用时要小心。
- 机械 /危险因素
- 作用机理尚不清楚。
副作用
概述表达状态,副作用
- 副作用概述[从批准到重新审查的结束总数]
- 在637例总病例中,有76例(11.9%)具有副作用(包括异常的临床测试值),主要副作用为38(6.0%),高糖果26(4.1%)。低钾血症患有10(1.6%),5个水肿(0.8%)和满月的面(0.6%)。
严重的副作用
- 1.探索传染病和传染病
- 可能发生偶然感染和传染病。肝炎可能是由于乙型肝炎病毒的增殖。如果发现异常,请进行足够的观察并采取适当的措施。
- 2.连续的肾上腺皮质功能障碍,糖尿病
- 3.消化溃疡,胰腺炎
- 4.心理调制,抑郁,抽搐
- 5.骨质疏松症,股骨和乳糖的灭菌坏死,幼虫病
- 6.青光眼,后来白内障
- 希望进行定期检查,因为由于连续使用而导致眼内压,青光眼和后来白内障的增加。
- 7.血栓形成
- 由于上述症状可能会出现,因此如果出现此类症状,请确保观察并采取适当的措施。 (尤其是当该药物长时间施用或与碳水化合物皮质类似(如氢化皮层)结合使用时。)
另一个副作用
- 1.内分泌
- 5%或更多或频率未知
- 月经异常
- 2.消化
- 5%或更多或频率未知
- 腹泻,胃痛,胸部,干燥,食欲增加
- 3.消化
- 小于5%
- 顽皮 /呕吐,腹部腹胀感觉
- 4.精神神经系统
- 5%或更多或频率未知
- Yasukyo,失眠,头痛,头晕
- 5.肌肉 /骨骼
- 5%或更多或频率未知
- 肌肉疼痛,关节疼痛
- 6.脂质 /白色代谢
- 5%或更多或频率未知
- 流浪的肩膀肩膀,氮平衡平衡,脂肪肝
- 7.脂质 /白色代谢
- 小于5%
- 满月的脸
- 8.体液 /电解质
- 5%或更多或频率未知
- 血压升高,低钾碱性病
- 9.体液 /电解质
- 小于5%
- Eedema,高钾血症,低钾血症
- 10.眼睛
- 5%或更多或频率未知
- 由于中央蛇状海豚瘤等引起的视网膜疾病,伸出了眼球
- 11.血
- 5%或更多或频率未知
- 白细胞
- 12.皮肤
- 5%或更多或频率未知
- awoin ,多发,脱毛,色素沉着,皮下出血,紫色斑点,接线,瘙痒,瘙痒,异常,面部红斑,伤口愈合障碍,稀疏和脆弱性,脂肪炎
- 13.超敏反应)
- 小于5%
- 皮疹
- 14.其他
- 5%或更多或频率未知
- 特征,疲劳,呼吸急促,类固醇肾病,体重增加,精子和运动的增加或减少
- 由于上述症状可能会出现,因此如果出现此类症状,请确保观察并采取适当的措施。 (尤其是当该药物长时间施用或与碳水化合物皮质类似(如氢化皮层)结合使用时。)
- 注意)停止管理是否出现症状
老年人的管理
- 如果您长时间给予老年人,则可能会出现传染病,糖尿病,骨质疏松症,高血压,外侧白内障,青光眼等的副作用。
管理孕妇,妇产科妇女等。
- 1。
- 对于可能怀孕的孕妇或妇女,只有确定治疗以超过危险的治疗,才应服用这种药物。 [由于该药物的动物实验没有进行激烈的测试,因此尚未确定对孕妇和胎儿的影响的安全。类似化合物(碳水化合物皮质类似)的动物实验报告了宝藏作用,并可能导致肾上腺失败。这是给出的
- 2。
- 在这种药物期间避免母乳喂养。 [类似的化合物(糖皮质生物)可能会转移到母乳中。这是给出的
给儿童的管理等
- 1。
- 请确保观察它,因为可能会抑制儿童成长。
- 2。
- 在长期给药的情况下,可能会出现颅内内压。
其他预防措施
- 据报道,将原始疫苗或原始疫苗接种给接受皮质类固醇的患者,导致缺乏神经病和抗体反应。
药代动力学
- 吸收 /排泄1)
- 如果该药物( 3 h-符号化合物,4.2μCI,比率87.6 MCI/mg)口服与健康成年人(n = 1),则在给药后45分钟显示最大的血液放射性浓度,后半部分为减少。它在大约7个小时内迅速消失,放射性浓度低于检测限,在给药后48小时。此外,尿液给药后24小时排出了28.6%的给药放射性,而32.2%的放射性被排出72小时。
临床结果
- 在总共164个国内设施和599例案例中,通过批准和改造结束,盐水丢失的先天性肾上腺皮质肥大和盐丢失的慢性肾上腺素型功能的改善率如下。 2)
- 目标疾病名称 /改善率(%)[改进或更多]
- 盐流失类型先天性肾上腺皮质增生/92.0%(504/548)
- 盐流失类型慢性肾上腺皮质功能前所未有(阿齐森病)/96.1%(49/51)
药物
- 1.电解质代谢的作用3),4)
- 该药物在肾上腺提取的狗中显示出与右旋核苷(DOC)相似的作用,增加了Na和K的排泄物的储存,并且具有Na储存效应的4.7倍,其作用是去氧肌乙酸(DOCA)的4.7倍。这些作用等于醛固酮。
- 2.糖代谢作用3),4)
- 该药物在肾上腺切除术中的肝脏格脂积累效应是乙酸酯的10.7倍。
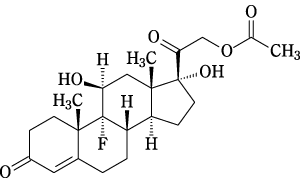
有关活性成分的物理和化学知识
- 通用名称:
- fulldo lokolchizon醋酸酯
(醋酸氟多皮托尔替森) - 化学名称:
- 9-氟-11β,17,21-三氢X型 - 4-烯-4-烯-3,20-二酮21-乙酸盐
- 结构公式:

- 分子类型:
- C 23 H 31 FO 6
- 分子量:
- 422.49
- 熔点:
- 大约220°C(分解)
- 一致:
- Fulldo Lokoltizon乙酸盐是白色至细的黄色晶体或结晶粉。该产品略有溶解在丙酮中,在某种程度上很难溶解在乙醇中(95),并且在水中几乎不会融化。
包装
- Florinev平板电脑0.1 mg :100片(瓶)
主要文献和文档请求目的地
主要文献
- 1)
- Yoshio Igarashi等人:“ Surger激素产生异常”研究小组(Takeda Ryosuke)研究报告84(1986)
- 2)
- Seizo Suwa等:日本儿科学会, 86 (8),1255(1982)
- 3)
- Fried,J。:Ann.New York Acad.Sci。, 61,573 (1955)
- 四)
- Swingle,WW等人:联邦程序, 14,150 (1955)
文档请求目的地
- **桑迪客户服务组
- 1-23-1 Toranomon,Minato-KU,东京105-6333
- 免费电话0120-982-001
- 传真:03-6257-3633
制造商等的姓名或名称和地址等。
- **销售
- Sand Co.,Ltd。
- 1-23-1 Toranomon,Minato-KU,东京
URL:https://www.sandoz.jp/ - **制造和销售
- Sand Pharma Co.,Ltd。
- 1-23-1 Toranomon,Minato-KU,东京
URL:https://www.sandoz.jp/