1987年10月 *更改产品名称后开始销售:2006年8月
亚果素注射溶液2 mg(0.4%) /美白果注射溶液4 mg(0.4%) /美甲莫斯注射液20毫克(0.4%)
创建或修订年
- **修订于2022年5月(21版)
- *修订于2020年8月
日本标准产品分类编号
- 872454
日本标准产品分类编号,等等。
- 重新评估结果公告年(最新)
- 1990年12月
医学分类名称
- 水 - 溶剂合成肾上腺皮质激素
批准,等等
- 销售名称
- 重生注射溶液2mg(0.4%)
销售名称代码
- 2454404A1080
批准 /许可号码
- 批准编号
- 21800AMX10324
- 商标
- Linolosal注入2mg(0.4%)
药品价格标准日期
- 2006年6月
销售日期
- 1975年2月*
*产品名称更改后销售开始:2006年8月
储蓄,到期日期等
- 储蓄
- 阴影,室温存储
- 使用时期
- 三年
- 截止日期
- 它在外部盒子和容器中描述
法规类别
- 处方药)
- 注意 - 由医生的处方等处方。
作品
- 容量
- 1 Ampoul 0.5ml
- 成分 /内容(在1安培中)
- 它含有2.63毫克的Eterer Natlin酸酸酯(2 mg作为固体)。
- 添加剂
- 它含有氯化钠,水合钠水合物,氢氢氢,水合钠和pH调节剂。
特点
- 审查和代理
- 无色透明的Ingoner
- ph
- 7.5-9.0
- 渗透比率
- 0.8-1.3(与盐水的比率)
- 销售名称
- Linolosal注入溶液4mg(0.4%)
销售名称代码
- 2454404A2087
批准 /许可号码
- 批准编号
- 21800AMX10325
- 商标
- Linolosal注入4mg(0.4%)
药品价格标准日期
- 2006年6月
销售日期
- 1975年2月*
*产品名称更改后销售开始:2006年8月
储蓄,到期日期等
- 储蓄
- 阴影,室温存储
- 使用时期
- 三年
- 截止日期
- 它在外部盒子和容器中描述
法规类别
- 处方药)
- 注意 - 由医生的处方等处方。
作品
- 容量
- 1安培1毫升
- 成分 /内容(在1安培中)
- 它含有5.26 mg(4毫克作为固体)(4毫克作为固体)。
- 添加剂
- 它含有氯化钠,水合钠水合物,氢氢氢,水合钠和pH调节剂。
特点
- 审查和代理
- 无色透明的Ingoner
- ph
- 7.5-9.0
- 渗透比率
- 0.8-1.3(与盐水的比率)
- 销售名称
- 重生溶液20mg(0.4%)
销售名称代码
- 2454404A3083
批准 /许可号码
- 批准编号
- 21800AMX10326
- 商标
- Linolosal注入20mg(0.4%)
药品价格标准日期
- 2006年6月
销售日期
- 1987年10月*
*产品名称更改后销售开始:2006年8月
储蓄,到期日期等
- 储蓄
- 阴影,室温存储
- 使用时期
- 三年
- 截止日期
- 它在外部盒子和容器中描述
法规类别
- 处方药)
- 注意 - 由医生的处方等处方。
作品
- 容量
- 1安培5ml
- 成分 /内容(在1安培中)
- 它含有26.3毫克的Eterer Natlin Acidentate(20毫克作为固体)。
- 添加剂
- 它含有氯化钠,水合钠水合物,氢氢氢,水合钠和pH调节剂。
特点
- 审查和代理
- 无色透明的Ingoner
- ph
- 7.5-9.0
- 渗透比率
- 0.8-1.3(与盐水的比率)
一般名称
- 苯甲酸苯甲酸酯质量纳蒂植物
限制(请勿对下一个患者进行管理) (请勿对下一个患者或现场管理)- 1。
- 对该药物成分过敏的患者
- 2。
- 故意关节炎,在腹部囊中,肌腱鞘或肌腱周围[免疫功能抑制作用可能加剧感染。这是给出的
- 3。
- 在沮丧的关节的关节腔内[关节症状可能恶化。这是给出的
- 四个。
- 正在施用Desmo plesin actimophic Hydration(男性中的尿液引起的夜pururia)的患者[请参见“相互作用”]
|
原则上是禁忌的(原则上,它不会对下一个患者进行管理,但请在必要时仔细管理)- 1。
- 患有有效抗菌剂的不存在感染的患者,整个身体的穿孔患者[免疫功能抑制可能会导致症状。这是给出的
- 2。
- 消化溃疡的患者[在抑制中组织增生可能会导致溃疡愈合(组织恢复)。这是给出的
- 3。
- 精神病患者[影响边缘系统的神经递质,并可能加剧症状。这是给出的
- 四个。
- 结核病患者[免疫功能抑制作用可能加剧症状。这是给出的
- 五。
- 简单的角质炎的患者[免疫功能抑制可能导致症状恶化。这是给出的
- 6。
- 后杆菌的患者[症状可能恶化。这是给出的
- 7。
- 青光眼患者[内部压力增加会导致青光眼恶化。这是给出的
- 8。
- 高血压患者[电解代谢可能导致高血压。这是给出的
- 9。
- 电解患者[电解代谢可能导致电解异常恶化。这是给出的
- 十。
- 血栓形成患者这是给出的
- 11。
- 最近进行内部手术的患者[伤口愈合(组织恢复)可能会受到损害。这是给出的
- 12。
- 患有急性心肌梗塞的患者[据报道,心脏已导致破裂。这是给出的
- 13。
- 病毒结膜,角膜疾病,结核病眼病,真菌眼病和急性脓性眼病患者的眼科治疗[免疫功能抑制作用可能会加剧症状。这是给出的
|
功效或效果
- *使用密封的给药方法只能在以下条件下使用(如果原因消失了,请立即切换到其他管理方法)。
- (1)内部静脉注射和静脉注射
- 当无法进行口服给药时,紧急或内部肌肉注射
- (2)肌肉注射
- 何时无法进行口服管理
- 内科 /儿科区
- <内分泌疾病>
- 急性肾上腺皮质功能(肾上腺Creise)
- 用法:静脉注射,静脉注射注射,肌内注射
- 慢性肾上腺皮质功能(初级,续集,垂体,医学)
- 用法:注射肌肉
- 甲状腺中毒[甲状腺(甲状腺成瘾)cre虫]
- 用法:静脉注射,静脉注射注射,肌内注射 *
- 肾上腺综合征,亚热带甲状腺炎,甲状腺疾病引起的恶性眼球
- 用法:注射肌肉 *
- <风湿病>
- 类风湿关节炎,年轻的类风湿关节炎(包括依然疾病)
- 用法:肌肉注射,内腔注射
- 风湿性肌肉疼痛
- 用法:注射肌肉
- 风湿热(包括风湿性心脏炎症)
- 用法:静脉注射 *,静脉注射 *,肌内注射
- <胶原蛋白>
- Elitematodes(全身性和慢性椎间盘形),全身性血管炎(包括高敏感性动脉炎,定殖多征,聚合物多型血管炎症,多态性管状肉芽肿),多致肌炎(皮肤炎)(皮肤炎)
- 用法:静脉注射 *,静脉注射 *,肌内注射
- 香味
- 用法:注射肌肉 *
- <肾脏病>
- 肾病和肾病综合征
- 用法:静脉注射 *,静脉注射 *,肌内注射 *
- <心脏病>
- 血液心力衰竭
- 用法:静脉注射 *,静脉注射 *,肌内注射 *
- <过敏疾病>
- 支气管哮喘(然而,在内部注射以外的给药方法中,反向注射肌肉是不合适的)。
- 用法:静脉注射,静脉注射注射,肌内注射,雾化器
- 哮喘发作重状态,过敏性休克
- 用法:静脉注射,静脉注射注射
- 哮喘支气管炎(包括小儿哮喘支气管炎)
- 用法:注射肌肉 *
- 药物和其他化学物质的过敏和中毒(包括药物喷发和中毒)
- 用法:静脉注射 *,静脉注射 *,肌内注射 *
- 血清疾病
- 用法:静脉注射,静脉注射注射,肌内注射 *
- <严重感染>
- 严重的传染病(与化学疗法结合使用)
- 用法:静脉注射,静脉注射注射,肌内注射 *
- <血液疾病>
- 溶血性贫血(可疑的免疫或免疫机制),白血病(急性白血病,慢性口服白血病的急性白血病,慢性淋巴细胞性白血病)(包括皮肤白血病)(包括皮肤白血病),颗粒粒细胞减少(自然,紫色) - 诱发),由于堵塞因子而导致的贫血再生贫血和出血因素
- 用法:静脉注射,静脉注射注射,肌内注射 *
- 白血病(急性白血病,慢性口服白血病的急性转化,慢性淋巴细胞性白血病)(包括皮肤白血病)
- 用法:脊柱腔介绍
- <胃肠道疾病>
- 限制肠炎,溃疡性结肠炎
- 用法:静脉注射 *,静脉注射 *,肌内注射 *,灌肠
- <严重可悲疾病>
- 改善严重消化疾病的一般状况(包括癌症和云杉的结束)
- 用法:静脉注射 *,静脉注射 *,肌内注射 *
- <肝病>
- 肝炎(包括那些被认为病重的人)
- 用法:静脉注射,静脉注射注射,肌内注射 *
- 肝硬化(活性类型,具有棘手的腹水,胆汁停滞的腹水)
- 用法:注射肌肉 *
- 胆汁停滞的急性肝炎
- 用法:输注静脉注射 *,肌内注射 *
- <肺病>
- 肺炎(肺纤维化)(包括肺炎)
- 用法:静脉注射 *,静脉注射 *,Nevrizer
- <结核病>
- 结核病脑膜炎(与抗结核结合)
- 用法:脊柱腔介绍
- 结核性胸膜炎(与抗结核作用结合使用)
- 用法:胸腔腔内发出
- <Neurology>
- 脑炎(含有脑炎,脊髓炎)(但在原发性脑炎的情况下,观察到颅内内压症状,并且在效果不足的其他药物不足时使用了很短的时间) (包括视觉脊柱休闲)
- 用法:静脉注射,静脉注射,肌内注射,静脉注射脊髓
- 周围神经炎(包括Guillan Valley综合征)
- 用法:静脉注射 *,静脉注射 *,肌内注射 *,静脉注射脊髓
- 小型舞蹈疾病,面神经瘫痪,脊柱脊柱脊柱脊柱炎症
- 用法:注射肌肉 *
- <恶性肿瘤>
- 恶性淋巴瘤(淋巴细胞瘤,充满活力的虫害,霍奇金病,皮球,细菌面条)和类似的疾病(密切相关疾病)
- 用法:静脉注射,静脉注射,肌内注射,静脉注射脊髓
- 活力颗粒
- 用法:静脉注射,静脉注射注射,肌内注射 *
- 乳腺癌恢复过渡
- 用法:注射肌肉 *
- <其他医疗疾病>
- 特定低血糖
- 用法:静脉注射,静脉注射注射,肌内注射 *
- 不明原因发烧
- 用法:注射肌肉 *
- 手术区域
- 肾上腺切除术
- 用法:静脉注射,静脉注射注射,肌内注射
- 帖子 - 浸润性肺水肿
- 用法:静脉注射,雾化器
- 手术休克和手术休克,脑水肿,输血的副作用,支气管抽搐(手术下)
- 用法:静脉注射
- 高潮和组织移植,效功能障碍患者的手术入侵,蛇毒中毒和昆虫中毒(包括严重的昆虫)
- 用法:注射肌肉 *
- 骨科区
- 牢固的脊柱炎(风湿性脊柱炎)
- 用法:注射肌肉
- 经典关节炎与强烈的脊椎炎(风湿性脊柱炎),变形关节炎(明确观察到炎症症状时),创伤后关节炎,非感染性慢性关节炎,油腻的关节炎。
- 用法:介绍
- 促进性周围炎(仅限于非感染性),肌腱炎(限于非感染性)
- 用法:软组织注射,内部肌腱鞘注射,在SAC囊中注射
- 腺炎(限于非感染者)
- 用法:软组织注射,肌腱鞘注射
- 替索诺氏炎(仅限于非感染性)
- 用法:注入肌腱鞘
- 骨膜炎(仅限于非感染性)
- 用法:在Sluice SAC中进行 - 注入
- 神经病学中的椎间盘突出(包括肠道坐骨神经腔)
- 用法:静脉外注射
- 皮肤病学区域
- ☆对于标记的效果和效果,仅在效果不足时才使用,即使使用外部代理,或者假定不会预期效果。
- 荨麻疹(不包括慢性病例)(限制为严重病例),☆牛皮癣和症状[牛皮癣(严重病例),牛皮癣,牛皮癣,脓疱性牛皮癣,宗教肢体皮炎。 ),韦伯基督教疾病,粘液皮肤综合征[开放性的骨质骨质疾病,僵硬的造影症,钩子疾病,钩综合征,钩子疾病(如果没有眼睛症状),lipzuts急性耻骨溃疡],胡椒Usher综合征,增生的胡椒),配音样皮炎(天然水痘),怀孕的幽灵),☆红色皮肤(包括Hepura Red Red Red Reford)
- 用法:输注静脉注射 *,肌内注射 *
- ☆湿疹和皮炎组(急性湿疹,亚乳糖症,慢性湿疹,接触性皮炎,货币 - 湿疹,湿疹,自敏性皮炎,特应性皮炎,哺乳动物,儿童,儿童和儿童湿疹,其他手指的皮炎,耻骨或肛门,肛门和耳道,湿疹和耳道,湿疹和鼻翼上的皮炎等) ,☆curchogy(包括小儿Stroflus,类似荨麻疹的心理sobiasis)(但限于严重的病例。是可取的),☆牛皮癣(限于严重病例),☆掌plantar脓疱病(限制为严重的病例),☆极红色的红色红色的红色红色棕色发射(仅限于严重病例),成年水肿硬化,红斑[☆多发性卵巢红斑(仅严重病例),淋巴结性红斑],雷诺病,先天性阳性阳性抗衰变症,带状疱疹(限制为严重的病例),面部松鼠脉搏脉搏脉搏 - 类似的青蛙。橡子(仅限于严重病例),溃疡特性。慢性脓皮术,新生儿滑雪
- 用法:注射肌肉 *
- 耳鼻喉科区域
- 急性 /慢性中耳炎
- 用法:静脉注射 *,静脉注射 *,肌内注射 *,耳腔注射
- 散发性中耳炎培养基 /尤斯塔克式管狭窄
- 用法:静脉注射 *,静脉注射 *,肌内注射 *,内 - ear -In -in -in -in -in -cavity注射,注射膜内注射
- 脑癌和脑膜综合征,急性感觉声音耳聋,口腔手术手术后治疗后
- 用法:静脉注射,静脉注射注射,肌内注射
- 进行性坏疽性鼻炎
- 用法:内部静脉注射,静脉注射,肌内注射,雾化器,鼻腔注射,鼻窦注射,喉部和Trigier
- 喉炎 /喉头水肿
- 用法:内部静脉注射,静脉注射,肌内注射,雾化器,喉 /气管注射
- 喉息肉 /点头
- 用法:静脉注射 *,静脉注射 *,肌内注射 *,Nevris,喉 /气管注射
- 食管炎症后( - 使用食管炎,导演后)和食管扩展
- 用法:内部静脉注射,静脉注射,肌内注射,雾化器,食道注射
- 耳鼻喉科区域手术后
- 用法:内部静脉注射,静脉注射,内部注射,软组织注射,雾化器,鼻腔注射,鼻窦内注射,静脉注射,静脉注射,喉注和气流注射,耳腔中部侵入,食管食管。
- 嗅觉障碍
- 用法:静脉注射 *,静脉注射 *,肌肉注射 *,Nevris,鼻腔注射
- 急性 /慢性(重复)唾液炎
- 用法:静脉注射 *,静脉注射 *,肌内注射 *,pipe注射
- 血管运动(神经)鼻腔炎,过敏性鼻炎,花粉症(花粉症)
- 用法:注射肌肉,注射雾化器,鼻腔注射,鼻塔注射
- 鼻窦炎 /鼻腔蘑菇
- 用法:注射肌肉,雾化器,鼻腔注射,内部鼻窦注射,鼻腔注射
- 顽强的口腔炎和舌炎(那些无法通过局部治疗治疗的炎)
- 用法:在软组织中注入
- 产科和妇科领域
- 预防蛋管组成手术后的凝聚力
- 用法:注射肌肉 *,注射蛋管
- 肾上腺皮质功能障碍引起的排卵障碍
- 用法:注射肌肉 *
- 鸡蛋管阻塞的水治疗(不育)
- 用法:注射蛋管
- 泌尿科区
- 前列腺癌(当其他疗法无效时),阴茎硬化
- 用法:注射肌肉 *
- 眼科领域
- 内部 - 眼,视神经,轨道,Orisidus炎症性疾病(葡萄,葡萄,囊炎,净血管炎,结节炎,轨道炎,轨道炎,轨道疾病,小鼠瘫痪)
- 用法:静脉注射 *,肌内注射 *,随后的结膜注射,后球注射,眼滴
- 由于对外部和前肢的有症状治疗而引起的不适当或不充分的眼睛滴(pyroitis,结膜炎,角质炎,强膜粉)
- 用法:静脉注射 *,肌内注射 *,随后的结膜注射,后球注射后注射
- 眼科区域的术后炎症
- 用法:静脉注射 *,肌内注射 *,亚偶联注射,眼滴
用法和剂量
- 通常,成人的数量如下。根据年龄和症状,适当地增加或减少剂量。
- 静脉注射
- 通常,每3至6个小时作为betomethazone对成人注射2-8 mg(0.5至2 mL)。
- 在 - 注射
- 通常,成年人每3至6小时注射一次肌肉注射一次,每3至6个小时。
- 输注静脉注射
- 通常,每天将2至10 mg(0.5至2.5毫升)注射一次或两次作为贝托顿顿。
- 内注射
- 通常,在成年人的关节腔中注入1-5 mg(0.25至1.25毫升)。通常,管理间隔必须为两个星期或更长时间。
- 软组织注射
- 对于成年人,将1-5 mg(0.25至1.25 mL)注射在可注射的内部组织中。通常,管理间隔必须为两个星期或更长时间。
- 肌腱鞘中的介绍
- 通常,将1-5 mg(0.25至1.25 mL)注入肌腱护套中。通常,管理间隔必须为两个星期或更长时间。
- 在Sluice Sac中的注入
- 通常,在成年人的水囊中注入1-5 mg(0.25至1.25 mL)。通常,管理间隔必须为两个星期或更长时间。
- 乳房时期
- 通常,将2至10 mg(0.5至2.5毫升)注射为成人的贝托顿森。通常,管理间隔必须为两个星期或更长时间。
- 输注脊柱
- 通常,1-5 mg(0.25至1.25毫升)每周注入一次至3次,作为贝托顿森。
- 内注射
- 通常,1-5 mg(0.25至1.25毫升)每周注入一次至3次,作为贝托顿森。
- 蛋管注入
- 通常,将0.4至1 mg(0.1至0.25 mL)注入成人的输卵管。
- 注解
- 通常,一次将0.4-6 mg(0.1至1.5 mL)注射为贝托顿森(0.1至1.5 ml)。
- 子串联注射
- 通常,成人作为贝托顿森(Betometazon)拍摄0.4至2 mg(0.1至0.5 mL)。当时的液体量应为0.2至0.5毫升。
- 帖子注射
- 通常,成年人在成年人中被注射为贝托顿森。当时的液体量应为0.5至1.0毫升。
- 眼胶
- 通常,它是一个贝托顿顿,1至2滴0.25至1 mg/ml溶液每天3至8次。
- 喷雾器
- 通常,每天将0.1-2 mg(0.025-0.5 ml)作为贝托顿季度施用一次。
- 鼻腔注射
- 通常,每天将0.1-2 mg(0.025-0.5 ml)注入一次,每天三个杂种。
- Serininus注射
- 通常,每天每天一次至3次注射0.1-2 mg(0.025-0.5 mL)作为贝托顿桑。
- 内注射
- 通常,将1-5 mg(0.25至1.25 ml)注入鼻子中。
- 鼻蘑菇的介绍
- 通常,成人鼻蘑菇注入1-5 mg(0.25至1.25毫升)。
- 喉 /气管注射
- 通常,每天每天注入0.1至2 mg(0.025-0.5 ml)作为贝托顿桑。
- 中耳腔中的信息
- 通常,将0.1至2 mg(0.025至0.5 mL)每天注入每天的耳腔中,作为贝托顿桑。
- Eustachian管注射
- 通常,每天每天注入0.1至2 mg(0.025-0.5 ml)作为贝托顿桑。
- 食管注射
- 通常,为成年人注射1-2 mg(0.25-0.5ml)作为贝托顿森。
- 唾液腺输注
- 通常,在成人的唾液腺管中注入0.5至1 mg(0.125-0.25 ml)。
使用预防措施
谨慎的管理
(请小心地给下一个患者管理)
- 1。
- 传染病患者[免疫功能抑制可能导致感染加剧。这是给出的
- 2。
- 糖尿病患者[糖新作用等可能会增加血糖,并可能加剧糖尿病。这是给出的
- 3。
- 骨质疏松症[蛋白质差异作用等。可能加剧骨质疏松症。这是给出的
- 四个。
- 肾衰竭[药物排泄延迟可能会由于身体的积累而引起副作用。这是给出的
- 五。
- 甲状腺功能功能的患者[报告血液半年 - 年度将扩大,并可能发生副作用。这是给出的
- 6。
- 肝硬化患者[副作用可能由于代谢酶活性的降低而出现。这是给出的
- 7。
- 患有脂肪肝的患者[脂解和重新分布作用可能会增加肝脏的脂肪沉积,并加剧脂肪肝。这是给出的
- 8。
- 脂肪菌病的患者[有一份报告称,大规模给药会导致脂糖菌病,这可能会加剧症状。这是给出的
- 9。
- 患有严重肌肉的患者[在使用开始时,临时症状可能会恶化。这是给出的
- 十。
- 老年人[请参阅“老年人行政”部分
- 11。
- **患有棕色细胞或paragriomo或怀疑患者的患者可能会出现黑细胞tump tump Creese。这是给出的
重要的基本预防措施
- 1。
- 由于服用了这种药物,可能会出现严重的副作用,例如诱导感染,连续的肾上腺皮质功能,胃肠道溃疡,糖尿病,精神疾病等,因此有必要注意这种药物的给药。
- (1)
- 如果特别考虑管理,并且症状,如果可以预期其他治疗具有足够的治疗作用,请不要给药。如果地方管理足够,则应提供地方治疗。
- (2)
- 在管理过程中,请对副作用的出现进行足够的考虑和观察,并避免患者压力,并采取适当的措施,例如增加事故和手术的数量。
- (3)
- 特别是,必须支付以下预防措施,因为在这种药物期间用水痘或麻疹感染可能导致致命病程。
- a)在服用这种药物之前,以确认水痘或麻疹病史以及疫苗接种的存在。
- b)在没有水痘或麻疹的患者中,请始终考虑足够的考虑和观察,以防止尽可能多地感染水痘或麻疹。如果怀疑感染或感染感染,请立即指导咨询并采取适当的措施。
- c)应注意,即使患者已接种疫苗或已接种疫苗或接种疫苗,也可能会在这种药物给药期间出现水痘或麻疹。
- (四)
- 连续使用后,如果政府突然停止,有时可能会出现发烧,头痛,厌食,弱点,肌肉疼痛,关节疼痛,震动等,因此逐渐停止。 。如果出现戒断症状,请立即重新加入或增加。
- (五)
- 原则上,必须避免使用两周或更长时间的长期给药。
- 2。
- 乙型肝炎病毒载体的患者可能是由皮质类固醇给药的,可能是丙型肝炎丙型肝炎病毒引起的。请注意丙型肝炎病毒增殖的体征和症状,例如在给药期间和该药物给药结束时,肝功能测试值和肝炎病毒标志物。如果发现异常,请采取适当的措施,例如考虑到该药物的体重减轻,以施用抗病毒剂。对于HBS抗原阴性患者,在服药开始之前,已经报道了丙型肝炎病毒。
- 3。
- 对于该药物的长期或大规模给药,或在该药物取消后的六个月内,免疫功能可能会降低,而原始疫苗的疫苗接种可能会增加或维持疫苗衍生的感染。因此,请勿接种这些患者的原始疫苗。
- 四个。
- 这种药物的给药可能加剧支气管哮喘患者的哮喘攻击,因此有必要特别注意对药物,食物,添加剂等烦躁的哮喘患者。
- 五。
- **据报道,当未识别棕色细胞的合并时,会施用Beta-亚Zen制剂(注射剂)。如果在服用该药物后观察到血压,头痛,呼吸症等的显着升高,请考虑适当的措施来考虑棕色细胞的表达。
- 6。
- 据报道,皮肤激素药物药物的表达率很高。当给皮肤浓烈的患者使用该药物时,请仔细监测血压和肾功能,并注意强壮的皮肤肾肾脏的外观和症状。另外,如果发现异常,请采取适当的措施。
相互作用
禁忌症(不要一起使用)- 毒品名称,等等
- 乙酸盐水合物(Minirin融化(男性夜间多尿引起的夜间排尿))
- 临床症状 /度量方法
- 可能发生低钠血症。
- 机械 /危险因素
- 未知
|
合并用途的注释
(请注意联合使用)
- 芭比娃娃衍生物(苯巴比妥),苯蛋白,再生权等。
- 临床症状 /度量方法
- 据报道,该药物的作用被削弱了,因此在一起使用时要小心。
- 机械 /危险因素
- 芭比利酸衍生物,落下和利福平指南CYP,促进该药物的代谢。
- 水杨酸衍生物,例如药物名称(阿司匹林,阿司匹林拨号,sasapylin等)
- 临床症状 /度量方法
- 据报道,如果您在组合结合时减肥,则会引起水杨酸中毒,因此一起使用时要小心。
- 机械 /危险因素
- 该药物促进水杨酸衍生物中的肾脏排泄和肝代谢,从而降低了血清中水杨酸衍生物的浓度。
- 毒品名称,抗瓜素(华法林的运动)
- 临床症状 /度量方法
- 据报道,它可以减少抗议药的影响,因此一起使用时要小心。
- 机械 /危险因素
- 该药物具有血液凝血促进作用。
- 口服糖尿病,例如药物名称(盐酸灌木丛,氯丙酰胺,乙酰胺等),胰岛素制剂
- 临床症状 /度量方法
- 据报道,它可以减少口服糖尿病和胰岛素制剂的作用,因此在一起使用时要小心。
- 机械 /危险因素
- 该药物促进肝脏中的原糖,并抑制在外周组织中使用糖。
- 药物名称(不包括钾 - 持有利尿剂)(氟胺,乙酰胺,三甲苯甲苯甲苯;)
- 临床症状 /度量方法
- 同时使用剂量时请注意剂量,因为可能会发生低钾血症。
- 机械 /危险因素
- 该药物在尿管中具有钾的促进作用。
- 环孢素,例如药物名称
- 临床症状 /度量方法
- 据报道,环孢霉素的浓度在大量其他肾上腺皮质激素药物中增加,因此在一起使用它们时要小心。
- 机械 /危险因素
- 皮质类固醇抑制环孢菌素代谢。
- Ellislomycin,等等
- 临床症状 /度量方法
- 据报道,该药物的作用将得到增强,因此在一起使用时要小心。
- 机械 /危险因素
- 这种药物的代谢被抑制。
- 非案件,例如药物名称(蓬隆彩色镜,维克隆溴)
- 临床症状 /度量方法
- 据报道,肌肉松弛效果会减弱或增强,因此一起使用时要小心。
- 机械 /危险因素
- 该机制未知
- 氯氯盐酸盐,例如毒品名称
- 临床症状 /度量方法
- 一起使用时肺部可能会出现。
- 机械 /危险因素
- 促进了体内储水的趋势。
- 药物名称等。
- 临床症状 /度量方法
- 腱障害のリスクを増加させるとの報告がある。これらの薬剤との併用は、治療上の有益性が危険性を上回る場合のみとすること。
- 機序・危険因子
- 機序は不明
副作用
副作用等発現状況の概要
- 本剤は使用成績調査等の副作用発現頻度が明確となる調査を実施していない。(再審査対象外)
重大な副作用
- 1. ショック、アナフィラキシー(頻度不明)
- ショック、アナフィラキシーがあらわれることがあるので、観察を十分に行い、呼吸困難、全身潮紅、血管浮腫、蕁麻疹等の症状があらわれた場合には投与を中止し、適切な処置を行うこと。
- 2. 誘発感染症、感染症の増悪(頻度不明)
- 誘発感染症、感染症の増悪があらわれることがある。また、B型肝炎ウイルスの増殖による肝炎があらわれることがある。観察を十分に行い、異常が認められた場合には適切な処置を行うこと。
- 3. 続発性副腎皮質機能不全、糖尿病(頻度不明)
- 4. 消化管潰瘍、消化管穿孔(頻度不明)
- 消化管潰瘍、消化管穿孔があらわれるとの報告があるので、観察を十分に行い、異常が認められた場合には投与を中止するなど、適切な処置を行うこと。
- 5. 膵炎(頻度不明)
- 6. 精神変調、うつ状態、痙攣(頻度不明)
- 7. 骨粗鬆症、大腿骨及び上腕骨等の骨頭無菌性壊死、ミオパチー(頻度不明)
- 8. 緑内障、後嚢白内障(頻度不明)
- 連用により眼圧亢進、緑内障、後嚢白内障を来たすことがあるので、定期的に検査をすることが望ましい。
- 9. 血栓症(頻度不明)
- 血栓症があらわれることがあるので、観察を十分に行い、異常が認められた場合には投与を中止するなど適切な処置を行うこと。
- 10. 喘息発作の増悪(頻度不明)
- 気管支喘息患者の喘息発作を増悪させることがあるので十分注意すること。
重大な副作用の注意
- 上記のような症状があらわれることがあるので、観察を十分に行い、このような症状があらわれた場合には適切な処置を行うこと。
その他の副作用
- 投与部位
- 頻度不明
- 関節の不安定化(関節腔内注射時) ※ 、疼痛・腫脹・圧痛の増悪(関節腔内注射時)、局所組織の萎縮による陥没(筋肉内注射時)
- 内分泌系
- 頻度不明
- 月経異常、クッシング症候群様症状
- 消化器
- 頻度不明
- 下痢、悪心・嘔吐、胃痛、胸やけ、腹部膨満感、口渇、食欲不振、食欲亢進
- 精神神経系
- 頻度不明
- 多幸症、不眠、頭痛、めまい
- 筋・骨格
- 頻度不明
- 筋肉痛、関節痛
- 脂質・蛋白質代謝
- 頻度不明
- 満月様顔貌、野牛肩、窒素負平衡、脂肪肝
- 体液・電解質
- 頻度不明
- 浮腫、血圧上昇、低カリウム性アルカローシス
- 眼
- 頻度不明
- 中心性漿液性網脈絡膜症等による網膜障害、眼球突出
- 血液
- 頻度不明
- 白血球増多
- 皮膚
- 頻度不明
- 発疹、ざ瘡、多毛、脱毛、色素沈着、皮下溢血、紫斑、線条、そう痒、発汗異常、顔面紅斑、脂肪織炎
- その他
- 頻度不明
- 発熱、疲労感、ステロイド腎症、体重増加、精子数及びその運動性の増減、創傷治癒障害、皮膚・結合組織の菲薄化・脆弱化、しゃっくり
その他の副作用の注意
- 上記のような症状があらわれることがあるので、観察を十分に行い、このような症状があらわれた場合には適切な処置を行うこと。
- ※症状があらわれた場合には投与を中止すること。これらの症状は投与直後に患部を強く動かすと起こりやすいとされているので、投与後は患者をしばらく安静にさせること。
高齢者への投与
- 高齢者に長期投与した場合、感染症の誘発、糖尿病、骨粗鬆症、高血圧症、後嚢白内障、緑内障等の副作用があらわれやすいので、慎重に投与すること。
妊婦、産婦、授乳婦等への投与
- 1.
- 妊婦又は妊娠している可能性のある婦人には、治療上の有益性が危険性を上回ると判断される場合にのみ投与すること。[新生児に副腎不全を起こすことがある。また、血圧上昇、心筋壁の肥厚を起こすとの報告がある。動物実験(マウス、ラット)で催奇形作用が報告されている。]
- 2.
- 授乳中の婦人には本剤投与中は授乳を避けさせること。[母乳中へ移行することがある。]
小児等への投与
- 1.
- 低出生体重児、新生児、乳児、幼児又は小児の発育抑制があらわれることがあるので、観察を十分に行うこと。
- 2.
- 長期投与した場合、頭蓋内圧亢進症状があらわれることがある。
- 3.
- 低出生体重児、新生児、乳児、幼児又は小児では、特に投与部位の組織の萎縮(陥没)を起こしやすいので、筋肉内注射はなるべく避けること。
適用上の注意
- 1. アンプルカット時
- 本製品はワンポイントカットアンプルであるが、アンプルのカット部分をエタノール綿等で清拭してからカットすることが望ましい。
- 2. 静脈内注射時
- 静脈内注射により血管痛、静脈炎を起こすことがあるので、これを予防するため、注射部位、注射方法等について十分注意し、その注射速度はできるだけ遅くすること。
- 3. 筋肉内注射時
- 筋肉内注射にあたっては、下記の点に注意すること。
- (1)
- 筋肉内注射はやむを得ない場合にのみ、必要最小限に行うこと。同一部位への反復注射は行わないこと。
- (2)
- 神経走行部位を避けること。
- (3)
- 注射針を刺入したとき、激痛を訴えたり、血液の逆流をみた場合は、直ちに針を抜き、部位をかえて注射すること。
- (4)
- 注射部位に疼痛、硬結をみることがある。
その他の注意
- 1.
- 副腎皮質ホルモン剤を投与中の患者にワクチン(種痘等)を接種して神経障害、抗体反応の欠如が起きたとの報告がある。
- 2.
- プレドニゾロン経口製剤の投与中に、腸管嚢胞様気腫症、縦隔気腫が発現したとの報告がある。
薬物動態
- 〔参考〕ビーグル犬単回筋肉内注射(リノロサール注射液0.04mL/kg:n=12)時の血中濃度パラメータ1)
- (薬物動態の表参照)
薬物動態の表
| Cmax(ng/mL) | AUC 0-∞ (ng・hr/mL) | Tmax(hr) | AUC 0-10hr (ng・hr/mL) | t 1/2 (hr) |
| 108.6 | 397.0 | 0.42 | 359.5 | 2.95 |
薬効薬理
- 抗炎症作用
- 1%カラゲニンによる足浮腫(ラット)、関節炎(ウサギ)又は胸膜炎(ラット)において本剤を投与した結果、対照群に比し、足浮腫の発生、関節腫脹の発生又は胸腔内浸出液量、浸出液中総白血球数を各々約50%抑制した2) 。
有効成分に関する理化学的知見
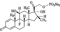
- 一般名
- ベタメタゾンリン酸エステルナトリウム(Betamethasone Sodium Phosphate)(JAN)
- 化学名
- 9-Fluoro-11β,17,21-trihydroxy-16β-methylpregna-1,4-diene-3,20-dione 21-(disodium phosphate)
- 構造式

- 分子式
- C 22 H 28 FNa 2 O 8 P
- 分子量
- 516.40
- 性状
- 本品は白色〜微黄白色の結晶性の粉末又は塊で、においはない。
本品は水に溶けやすく、メタノールにやや溶けにくく、エタノール(95)に溶けにくく、ジエチルエーテルにほとんど溶けない。
本品は吸湿性である。
融点:約213℃(分解)。
取扱い上の注意
- 安定性試験
- 長期保存試験(25℃、遮光、3年)の結果、2mg(0.4%)、4mg(0.4%)及び20mg(0.4%)共に通常の市場流通下において3年間安定であることが確認された3)〜5) 。
包装
- リノロサール注射液2mg(0.4%):10アンプル、50アンプル
- リノロサール注射液4mg(0.4%):10アンプル、50アンプル
- リノロサール注射液20mg(0.4%):10アンプル
主要文献及び文献請求先
主要文献
- 1)
- 釣谷昌敞 他(わかもと製薬):リノロサール注射液0.4%の研究報告〔血中濃度推移試験〕(社内資料)
- 2)
- 橋本光正 他(わかもと製薬):リノロサール注射液0.4%の研究報告〔薬効薬理〕(社内資料)
- 3)
- 小熊 徹 他(わかもと製薬):リノロサール注射液2mg(0.4%)の研究報告〔長期安定性試験〕(社内資料)
- 4)
- 小熊 徹 他(わかもと製薬):リノロサール注射液4mg(0.4%)の研究報告〔長期安定性試験〕(社内資料)
- 5)
- 小熊 徹 他(わかもと製薬):リノロサール注射液20mg(0.4%)の研究報告〔長期安定性試験〕(社内資料)
文献請求先
- 主要文献に記載の社内資料につきましても下記にご請求ください。
わかもと製薬株式会社 メディカルインフォメーション - 〒103-8330 東京都中央区日本橋本町二丁目2番2号
- TEL 03-3279-0379
- FAX 03-3279-1272
製造販売業者等の氏名又は名称及び住所
- 製造販売元
- わかもと製薬株式会社
- 東京都中央区日本橋本町二丁目2番2号