4006 776 356
免费咨询 9:00-18:00
获取国外Hister块组合平板电脑jazh-CN药品价格,使用等信息,最快 24 小时回馈
出境医 / 海外药品 / Hister块组合平板电脑jazh-CN
Hister块组合平板电脑jazh-CN
2009年9月
Hister块组合平板电脑
创建或修订年
- **修订于2022年5月(第14版)
- * 2019年9月修订
日本标准产品分类编号
- 872459
医学分类名称
- 皮质激素 /抗组胺药合并剂
批准,等等
- 销售名称
- Hister块组合平板电脑
销售名称代码
- 2459100F1170
批准 /许可号码
- 批准编号
- 22100AMX00918
- 商标
- Histableck
药品价格标准日期
- 2009年9月
销售日期
- 2009年9月
储蓄,到期日期等
- 储蓄
- 密封和节省室温
- 截止日期
- 显示在包装盒中。
请勿使用已通过到期日期的产品。
法规类别
- 处方药
- 预防措施 - 通过医生等处方使用
作品
- 活性成分[1片]
- 日本局Beta Metazon 0.25mg
Nippon局D-氯苯胺马来酸2.0 mg - 添加剂
- 抗乳糖乳糖,部分α启动器,羟蛋白硫酸盐,硬脂酸镁
特点
- 药物
- 原始平板电脑
- 颜色
- 白色的
- 外部形状,大小等。

直径约8.0mm
厚度:约3.4毫米
弥撒:大约190mg- 识别代码
- KW513
一般名称
- ββD-氯苯甲酸酯马来酸
限制(请勿对下一个患者进行管理)- 1。
- 如果可以考虑适应症和症状,如果可以充分期望其他治疗具有治疗作用,请不要服用该药物。如果地方管理足够,则应提供地方治疗。
- 2。
- 对该药物成分过敏的患者
- 3。
- 阻塞性青光眼的闭角[抗磷脂作用可能会增加眼内压并使症状恶化。这是给出的
- 四个。
- 较低尿路(例如前列腺肥大)中的阻塞性疾病的患者。这是给出的
- 五。
- *正在服用乙酸盐水合物的患者(男性晚上排尿)(请参阅“相互作用”)
|
原则上是禁忌的(原则上,它不会对下一个患者进行管理,但请在必要时仔细管理)- 1。
- 开头青光眼[因眼内压增加而导致的青光眼可能恶化。这是给出的
- 2。
- 不存在有效的抗菌剂的传染病,整个身体具有冰淇淋的患者。这是给出的
- 3。
- 结核病患者[免疫功能抑制作用可能导致结核病病加剧。这是给出的
- 四个。
- 消化溃疡的患者[胃酸分泌和肉芽组织增殖的增加可能会延迟溃疡或愈合。这是给出的
- 五。
- 精神病患者[影响中枢神经系统,并可能恶化精神疾病。这是给出的
- 6。
- 简化的针灸炎的患者[免疫功能抑制作用可能加剧简化牡蛎。这是给出的
- 7。
- 后肉可肌肉的患者[影响晶状体纤维,并可能加剧后囊。这是给出的
- 8。
- 高血压患者[水和电解代谢可能导致高血压可能会或可能恶化。这是给出的
- 9。
- 电解患者[电解代谢可能导致电解异常。这是给出的
- 十。
- 血栓形成患者。这是给出的
- 11。
- 最近进行内脏器官[伤口愈合(组织恢复)的患者可能会受到损害。这是给出的
- 12。
- 急性心肌梗塞的患者[据报道,皮质类固醇引起了破裂。这是给出的
|
功效或效果
- 荨麻疹(不包括慢性病例),湿疹和皮炎的急性阶段,急性增强期,过敏性鼻炎,过敏性鼻炎
用法和剂量
- 通常,每天对成人每天一次至4次给予一到两个片剂。
此外,根据年龄和症状,它将适当地增加或减少。
但是,该药物不应整齐地使用。
与使用和剂量有关的预防措施
- 该药物是肾上腺皮质激素的泼尼松龙转化率,在一片片剂中含有2.5 mg等效的2.5 mg,因此请注意改善症状后不要使用它。
使用预防措施
谨慎的管理
(请小心地给下一个患者管理)
- 1。
- 传染病患者[免疫功能抑制作用可能导致传染病。这是给出的
- 2。
- 糖尿病患者[促糖促进(血糖水平)等可能加剧糖尿病。这是给出的
- 3。
- 骨质疏松症的患者[骨骼形成和骨骼的钙排泄增加可能加剧骨质疏松症。这是给出的
- 四个。
- 肾衰竭[药物排泄延迟可能会由于身体的积累而引起副作用。这是给出的
- 五。
- 具有甲状腺功能功能的患者[报道血液中皮质固醇药物的半小时会更长,可能会引起副作用。这是给出的
- 6。
- 肝硬化患者[副作用可能是由于代谢酶的活性降低而发生的。这是给出的
- 7。
- 脂肪肝的患者[脂解和重新分布作用可能会增加肝脏的脂肪沉积,并可能加剧脂肪肝。这是给出的
- 8。
- 脂肪霉菌病的患者[有报道称脂素源可能会导致大量皮质类固醇引起,并且症状可能恶化。这是给出的
- 9。
- 患有严重肌肉的患者[由于蛋白质依赖性作用,可能在使用开始时会导致暂时的症状。这是给出的
- 十。
- 老年人(请参阅有关“老年管理”的部分)
- 11。
- **可能会出现患有棕色细胞或paragangriomo或怀疑患者的患者。这是给出的
重要的基本预防措施
- 1。
- 注意不要从事危险的机器的操作,例如驾驶汽车,因为它可能会引起嗜睡。
- 2。
- 由于服用了这种药物,可能会出现严重的副作用,例如诱发感染,连续的肾上腺皮质功能,消化溃疡,糖尿病和精神障碍,因此有必要注意这种药物的给药。特别是,必须支付以下预防措施,因为在这种药物期间用水痘或麻疹感染可能导致致命病程。
- (1)
- 在服用该药物之前,请检查水痘或麻疹病史以及疫苗接种的存在或不存在。
- (2)
- 在没有水痘或麻疹病史的患者中,始终需要充分考虑和观察,以防止水痘或麻疹感染。如果怀疑感染或感染感染,请立即指导咨询并采取适当的措施。
- (3)
- 应该注意的是,水痘或麻疹可能有水痘,麻疹或疫苗接种的病史,因为该药物可能会出现水痘或麻疹。
- (四)
- 在管理过程中,请对副作用的出现进行足够的考虑和观察,并避免患者压力,并采取适当的措施,例如增加事故和手术的数量。
- (五)
- 连续使用后,如果政府突然停止,有时可能会出现发烧,头痛,厌食,弱点,肌肉疼痛,关节疼痛,震动等,因此逐渐停止。 。如果出现戒断症状,请立即重新加入或增加。
- 3。
- 乙型肝炎病毒载体的患者可能是由皮质类固醇给药的,可能是丙型肝炎丙型肝炎病毒引起的。请注意丙型肝炎病毒增殖的体征和症状,例如在给药期间和该药物给药结束时,肝功能测试值和肝炎病毒标志物。如果发现异常,请采取适当的措施,例如考虑到该药物的体重减轻,以施用抗病毒剂。对于HBS抗原阴性患者,在服药开始之前,已经报道了丙型肝炎病毒。
- 四个。
- **据报道,当未识别棕色细胞的合并时,会施用Beta-亚Zen制剂(注射剂)。如果在服用该药物后观察到血压,头痛,呼吸症等的显着升高,请考虑适当的措施来考虑棕色细胞的表达。
相互作用
- 倍替米松主要由CYP3A4代谢。
禁忌症(不要一起使用)- 毒品名称,等等
- *乙酸盐水合物(采矿融化)(夜间夜间夜间排尿)
- 临床症状 /度量方法
- *可能发生低血压。
- 机械 /危险因素
- *未知机制。
|
合并用途的注释
(请注意联合使用)
- 药物,例如毒品名称,酒精,毛抑制剂,抗抗果蛋白的药物
- 临床症状 /度量方法
- 由于效果可以彼此增强,如果您一起使用,则应仔细管理您的效果,例如减轻体重。
- 机械 /危险因素
- 中枢神经系统抑制剂,酒精: D-氯苯尼拉明马来酸,以增强作用。
MAO抑制剂: D-氯苯胺马来酸会干扰解毒机制并延伸(增强)效应。 - droxidpa,去甲肾上腺素等
- 临床症状 /度量方法
- 由于使用综合,有增加血压的风险。
- 机械 /危险因素
- D-氯苯胺马来酸抑制了由于组胺引起的毛细血管的延伸。
- 芭比娃娃衍生物(苯巴氏菌),例如药物名称
疫霉素,利福平,麻黄碱- 临床症状 /度量方法
- 据报道,皮质类固醇激素药物的作用降低了,因此在一起使用时要小心。
- 机械 /危险因素
- 巴比妥酸衍生物,落病和利福平诱导的P-450,促进了肾上腺皮质激素药物的代谢。
- 水杨酸衍生物,例如药物名称(阿司匹林,阿司匹林拨盘,sasapylin)
- 临床症状 /度量方法
- 据报道,当合并使用时减少海豚皮质激素药物的量减少时,串行酸中的串行酸中的水杨酸量增加,因此,在一起使用时要小心。
- 机械 /危险因素
- 皮质类固醇可促进水杨酸衍生物中的肾脏排泄和肝代谢,并具有降低血清中水杨酸衍生物浓度的作用,因此,当它们降低时,血液浓度会增加。
- 毒品名称,抗瓜素(华法林的运动)
- 临床症状 /度量方法
- 据报道,皮质类固醇激素剂会降低抗加入器的作用,因此在一起使用时要小心。
- 机械 /危险因素
- 皮质激素剂具有血液凝血促进效应。
- 口腔糖尿病,例如药物名称(乙酰甲基酰胺)
胰岛素制备- 临床症状 /度量方法
- 据报道,肾上腺皮质激素剂降低了口服糖尿病和胰岛素制剂的作用,因此请注意剂量并给予血糖水平和其他患者。
- 机械 /危险因素
- 皮质质激素剂具有通过促进肝脏中的葡萄糖并抑制外周组织中糖的使用来增加血糖的作用。
- 药物名称(不包括钾 - 持有利尿剂) (三分法,乙酰胺,氟胺)
- 临床症状 /度量方法
- Lypokalemememia可能与皮质类固醇激素剂结合发生,因此在一起使用时要小心。当与钾排泄利尿剂结合使用时,建议监测血清钾和心脏功能。
- 机械 /危险因素
- 皮质类固醇在尿管中具有钾的促进。
- 粒细胞等,例如药物名称
- 临床症状 /度量方法
- 联合用途可以减少生长运动的作用。
- 机械 /危险因素
- 皮质激素剂降低了淋巴细胞素的作用。机制是未知的。
- 环孢素,例如药物名称
- 临床症状 /度量方法
- 有报道说,环孢菌素的血液浓度将增加,因此一起使用时要小心。
- 机械 /危险因素
- 这种药物阻碍了环孢菌素的代谢。
- 非案件,例如毒品名称(Brokuses,Vecronium Chromoscopes)
- 临床症状 /度量方法
- 据报道,肌肉放松效果将被削弱或增强,因此在一起使用时要小心。
- 机械 /危险因素
- 机制是未知的。
- 氯氯盐酸盐,例如毒品名称
- 临床症状 /度量方法
- 据报道,肺水肿与β-唑酮注射结合出现。
- 机械 /危险因素
- 促进了体内储水的趋势。
- Ellislymycin,例如药物名称
- 临床症状 /度量方法
- 据报道,固体的作用将得到增强,因此一起使用时请注意该药物的剂量。
- 机械 /危险因素
- Ellislymycin对CYP3A4的抑制作用抑制了贝甲唑的代谢。
副作用
概述表达状态,副作用
- 该药物不进行调查,以阐明副作用的频率,例如用法调查。
严重的副作用
1.探索传染病和传染病(频率未知)可能发生偶然感染和传染病。肝炎可能是由于乙型肝炎病毒的增殖。如果发现异常,请进行足够的观察并采取适当的措施。 2.连续的肾上腺皮质功能障碍,糖尿病,急性肾上腺衰竭(频率未知)可能会出现连续的肾上腺皮质功能,糖尿病和急性肾上腺衰竭,因此,如果发现异常,例如测试,例如测试,并采取适当的措施,例如体重减轻或药物休息。 3.消化溃疡,胰腺炎(频率未知)由于可能会出现胰腺炎或胃溃疡,因此可以进行足够的观察,如果发现异常,请采取适当的措施,例如减肥或药物休息。 4.心理调制,抑郁,抽搐,混乱(频率未知)可能会出现抑郁,抽搐,混乱和心理调节,因此可以充分观察,如果出现异常,请采取适当的措施,例如减肥或药物休息。 5.骨质疏松症,肌病,股骨和吮吸,灭菌坏死(频率未知)由于可能会出现股骨和上臂骨的无菌坏死,因此可能会出现骨质疏松和肌病,因此进行足够的观察,例如进行检查,并且发现异常,因此适合减肥或切除。进行治疗。 6.青光眼,后囊白内障(频率未知)希望进行定期检查,因为它可能会增加眼内压,青光眼和后囊白疾病。 7.血栓形成(频率未知)由于可能发生血栓形成,因此应进行观察,例如进行检查,如果发现异常,应进行体重减轻或应采取适当的治疗方法。 8.回收贫血,agranulocyte (频率未知)氯苯胺制剂的再生性贫血和催眠年龄较差。 9.对婴儿和儿童的控制(频率未知) (请参阅“对儿童管理等”的部分)另一个副作用
- 高敏性注1)
- (频率未知)
- 皮疹,轻度过敏等。
- 精神科
- (频率未知)
- 交响曲,神经敏感性,躁狂敏感性,躁狂欣快,头痛,头痛,头晕,耳鸣,前庭障碍,情绪焦虑,感觉异常,神经炎症,神经炎症,异常坐标,缺陷,失眠,嗜睡,嗜睡,嗜睡,沉重,嗜睡,沉重,沉重,沉迷
- 消化器官
- (频率未知)
- 口渴,胸部,腹胀,厌食症,便秘,腹痛,恶心 /呕吐,食欲改善,腹泻,等等。
- 泌尿科
- (频率未知)
- 尿液频繁,排尿困难,尿液关闭,类固醇肾病等。
- 心血管2)
- (频率未知)
- 低血压,心pit,心动过速,抗周期收缩
- 呼吸器官
- (频率未知)
- 鼻子和气道干燥,粘性气管分泌,喘息,鼻腔关闭
- 血
- (频率未知)
- 溶血性贫血,白细胞增加,血小板还原
- 肝
- (频率未知)
- 肝功能障碍(增加AST(GOT),增加ALT(GPT),增加Al-P等)
- 内分泌
- (频率未知)
- 月经异常,糖尿病等
- 肌肉 /骨骼
- (频率未知)
- 肌肉疼痛,关节疼痛等。
- 脂质 /蛋白质代谢
- (频率未知)
- 完全月亮的脸,牛肩,氮湍流平衡,脂肪肝等。
- 体液 /电解质2)
- (频率未知)
- 水肿,低钾碱性病,血压升高等。
- 眼睛
- (频率未知)
- 由于中央血清网络循环等引起的一般功能障碍,眼球突出等。
- 皮肤
- (频率未知)
- 头发,脱毛,痤疮,色素沉着,皮下出血,紫色斑点,接线,瘙痒,瘙痒,异常,面部红斑,伤口愈合障碍,皮肤变薄和脆弱性,脂肪炎,脂肪炎
- 其他的
- (频率未知)
- 热产生,疲劳,精子及其运动性增加 /减轻,胸痛,不适,体重增加
关于其他副作用的注释
- 注意1)如果出现症状,请停止给药。
- 注2)如果出现症状,请采取适当的措施,例如减肥或静息药物。
老年人的管理
- 如果您长时间给予老年人,则很可能会出现副作用,例如诱发感染性疾病,糖尿病,骨质疏松症,高血压,后囊性白内障,青光眼等。
管理孕妇,妇产科妇女等。
- 1。
- 对于可能怀孕的孕妇或妇女,只有在确定治疗要超过危险的情况下才有必要管理。 [动物实验(鼠标)报告了宝藏,并可能导致新孩子的肾上腺失败。这是给出的
- 2。
- 在这种药物期间避免母乳喂养。 [有时转移到母乳。这是给出的
给儿童的管理等
- 1。
- 由于可能会抑制婴儿和儿童,因此有必要进行足够的观察,如果发现异常,请采取适当的措施,例如减轻体重或停止给药。
- 2。
- 在长期给药的情况下,可能会出现颅内内压。
适用的预防措施
- 在毒品时
- PTP包装药物应从PTP纸中取出并教给它。据报道,食管粘膜的难度很难在食管粘膜上具有硬尖角,然后引起严重的并发症,例如纵隔炎。这是给出的
其他预防措施
- 1。
- 据报道,将疫苗(疫苗等)接种给患者接受皮质类固醇,从而导致神经病和抗体反应。
- 2。
- 当对抑制免疫功能的患者使用该药物时,应将以下几点传递给患者。
- (1)
- 水痘,麻疹等有感染的危险。
- (2)
- 如果感染,请咨询医疗机构。
药代动力学
- <生物等效测试> 1)
- 通过交叉(0.5 mg作为固体素,4 mg为d-氯苯胺马来酸)的2片和标准配方,通过交叉方法(4 mg为D-氯苯胺马来酸)β-甲米松和氯苯蛋白酶。通过测量血浆的不愉快浓度和执行统计分析获得。
- - 苯丙胺 -

- - 细胞苯胺 -

- 血浆浓度和参数(例如AUC和CMAX)可能会根据测试条件(例如选择受试者的选择,收集体液的时间数量等)而有所不同。
- <洗脱行为> 2)
- 已经证实,Hister块组合的片剂与Nippon Pharmaceutical Pharmaceutical Pharmaceutical Standards第3部分中第三部分中指定的0.25 mgβ苯甲酸酮标准相匹配。
药物
- 1.苯丙胺
- 它是一种合成的肾上腺皮质激素,抗炎作用与天然碳水化合物皮质激素相同的机制表达,但与天然相比,矿物质类皮质激素的作用已降低。 3)
- 2. D-氯苯尼拉明马来酸
- 大多数氯苯胺H1受体阻断效果取决于D身体,因此其有效性大约是DL身体的两倍。四)
有关活性成分的物理和化学知识
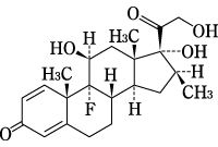
- 1.一般名称
- 替当塞米松
- 分子
- C 22 H 29 FO 5
- 分子量
- 392.46
- 结构公式

- 化学名称
- 9-氟-11β,17,21-三羟基-16β-甲基Pregna-1,4-二烯-3,20-二酮
- 特点
- 它是白色至细的黄色结晶粉。
溶解在甲醇,乙醇(95)或丙酮中,几乎不溶于水很难。
熔体:大约240°C(拆卸)。
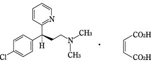
认识到晶体多态性。 - 2.一般名称
- d-氯苯尼拉明( D-氯苯胺乳酸盐)
- 分子
- C 16 H 19 CLN 2 / C 4 H 4 O 4
- 分子量
- 390.86
- 结构公式

- 化学名称
- (3 s )-3-(4-氯苯基) -N , N-二甲基-3-吡啶素-2-基丙基胺单体酸酯
- 特点
- 它是白色结晶粉。
溶解在水,甲醇或乙酸(100)中非常容易,并且很容易溶解在N , N-二甲基甲醇或乙醇中(99.5)。
溶解在稀有的盐酸中。 - 熔点
- 111-115℃
处理的预防措施
- <稳定性测试> 5)
- 由于使用最终包装产品(室温,27个月)进行了长期保存测试,因此已确认外观和内容在标准范围内,并且Hister Block的组合锁稳定了两个在正常市场分布下的年。水稻领域。
包装
- PTP100平板电脑(10片X 10),1,000片(10片X 100)
主要文献和文档请求目的地
主要文献
- 1)
- 共和党制药公司有限公司 - 房屋材料:生物等效测试
- 2)
- 在 - 房屋材料:Erutment Test Co.,Ltd.
- 3)
- **第18修订的日本药品评论,Hirokawa书店,C-5181(2021)
- 四)
- **第18修订的日本药房评论,Hirokawa书店,C-1846(2021)
- 五)
- 制药共和国有限公司,company材料:稳定性测试
文学要求
- 请在主要文档中描述的房屋材料中索取以下内容。
共和国制药行业有限公司。查询窗口 - 3-2-4 Nakanoshima,Kita-Ku,大阪530-0005
0120-041-189- 传真06-6121-2858
制造商等的姓名或名称和地址等。
- 制造和分销商
- Republic Pharmaceutical Co.,Ltd。
- 3-2-4 Nakanoshima,大阪Kita-Ku