Pradesmin组合锁
创建或修订年
- ** Mushi:2022年5月修订(第17版)
- *马克:2019年7月修订
日本标准产品分类编号
- 872459
日本标准产品分类编号,等等。
- 重新评估结果
- 2003年11月(质量重新评估)
医学分类名称
- 皮质激素组成剂
批准,等等
- 销售名称
- Pradesmin组合锁
销售名称代码
- 2459100F1189
批准 /许可号码
- 批准编号
- 22100AMX01087000
- 欧洲商品名称
- puradesmin
药品价格
- 2009年9月
销售开始
- 1996年7月
到期日期,等等。
- 积累
- 节省光线 /密封容器
- 截止日期
- 在外观上显示的到期日期内使用。
法规类别
- 处方药
- (注意 - 根据医生的处方等使用)
作品
- 1平板电脑:替伯塞米松... 0.25mg
D-氯苯胺马来酸... 2mg
<加法>
硬脂酸镁,低替代羟基propillulose,tomolo koshidepin,乳糖氢,Hydrox propircellulose
特点
- 白色裸锁
- 识别码(PTP)
- T BC
- 外部(大小)
- 表(直径毫米)
8.0 - 外部(大小)
- 背部(重量毫克)
190 - 外部(大小)
- 侧(厚度毫米)
3.6
一般名称
- 倍吐饭 / D-氯苯尼拉明马来酸编码的片剂
限制(请勿对下一个患者进行管理)- 1。
- 如果可以考虑适应症和症状,如果可以充分期望其他治疗具有治疗作用,请不要服用该药物。如果地方管理足够,则应提供地方治疗。
- 2。
- 对该药物成分过敏的患者
- 3。
- *阻塞角度青光眼患者[患者可能会增加水甘油内作用,并可能恶化症状]
- 四个。
- 下尿路中有阻塞性疾病的患者,例如前列腺肥大[排尿的热情,尿闭合等,可能是由于抗胆碱作用引起的,并且可能会导致症状恶化]
- 五。
- *正在服用乙酸盐水合物的患者(男性晚上排尿)(请参阅“相互作用”)
|
原则上是禁忌的(原则上,它不会对下一个患者进行管理,但请在必要时仔细管理)- 1。
- *开角性青光眼患者[青光眼可能会因眼内压力增加或可能恶化]
- 2。
- 患有有效抗菌剂的不存在感染的患者,整个体内具有象征性的患者。
- 3。
- 结核病患者[免疫功能抑制作用可能恶化结核病]
- 四个。
- 消化溃疡的患者[胃酸分泌增加和肉芽组织增殖可能导致溃疡恶化或延迟愈合。]
- 五。
- 精神病患者[大约影响中枢神经系统,可能恶化精神疾病]
- 6。
- 简化针灸的患者[免疫功能抑制可能会导致角膜炎可能加剧]
- 7。
- 后SAC白内障的患者[大约影响晶状体纤维,并可能加剧后囊液]
- 8。
- 高血压患者[水和电解质代谢可能导致高血压可能或可能恶化]
- 9。
- 电解质异常的患者[电解代谢可能导致电解异常
- 十。
- 血栓形成的患者[促进血液促进作用可能导致血栓形成可能恶化]
- 11。
- 最近手术的患者[伤口愈合(组织恢复)可能受到损害]
- 12。
- 患有急性心肌梗塞的患者[据报道,皮质类固醇引起了心脏破裂]
|
功效 /效果
荨麻疹(不包括慢性病例),湿疹和皮炎的急性阶段,急性增强期,过敏性鼻炎,过敏性鼻炎
用法 /剂量
- 通常,每天对成人每天一次至4次给予一到两个片剂。
此外,根据年龄和症状,它将适当地增加或减少。
但是,该药物不应整齐地使用。
<与使用和剂量有关的预防措施>
- 该药物是肾上腺皮质激素的泼尼松龙转化率,含有2.5毫克,相当于2.5毫克,因此,请注意改善症状后不要使用它。
使用预防措施
谨慎的管理
(请小心地给下一个患者管理)
- 1。
- 传染病患者[免疫功能抑制可能导致传染病加剧]
- 2。
- 糖尿病患者[糖尿病可能因葡萄糖促进作用(升高血糖水平)而恶化。]
- 3。
- 骨质疏松症的患者[骨质疏松症可能由于骨骼形成抑制和骨骼钙排泄增加而恶化]
- 四个。
- 肾衰竭的患者[因为药物的排泄被延迟,因此可能由于身体的积累而发生副作用]
- 五。
- 甲状腺功能不足的患者[有报道称,血液中的一半小时的皮质类固醇可能更长,这可能会导致副作用。
- 6。
- 肝硬化患者[可能是由于代谢酶减少而发生的。]
- 7。
- 患有脂肪肝的患者[脂解和重新分布作用可能会增加肝脏的脂肪沉积,并可能加剧脂肪肝脏]
- 8。
- 脂肪菌患者[有报道称,皮质类固醇的大规模给药会导致脂肪霉菌病,并且症状可能更糟。
- 9。
- 严重肌肉的患者[财产媒介疾病作用可能导致暂时症状在使用时恶化]
- 十。
- 老年人(请参阅有关“老年管理”的部分)
- 11。
- **患有棕色细胞或副神经瘤和怀疑患者的患者[可能由Brown Celloma Creze揭示]
重要的基本预防措施
- 1。
- 注意不要从事危险的机器的操作,例如驾驶汽车,因为它可能会引起嗜睡。
- 2。
- 由于服用了这种药物,可能会出现严重的副作用,例如诱发感染,连续的肾上腺皮质功能,消化溃疡,糖尿病和精神障碍,因此有必要注意这种药物的给药。特别是,必须支付以下预防措施,因为在这种药物期间用水痘或麻疹感染可能导致致命病程。
- (1)
- 在服用该药物之前,请检查水痘或麻疹病史以及疫苗接种的存在或不存在。
- (2)
- 在没有水痘或麻疹病史的患者中,始终需要充分考虑和观察,以防止水痘或麻疹感染。如果怀疑感染或感染感染,请立即指导咨询并采取适当的措施。
- (3)
- 应该注意的是,水痘或麻疹可能有水痘,麻疹或疫苗接种的病史,因为该药物可能会出现水痘或麻疹。
- (四)
- 在管理过程中,请对副作用的出现进行足够的考虑和观察,并避免患者压力,并采取适当的措施,例如增加事故和手术的数量。
- (五)
- 连续使用后,如果政府突然停止,有时可能会出现发烧,头痛,厌食,弱点,肌肉疼痛,关节疼痛,震动等,因此逐渐停止。 。如果出现戒断症状,请立即重新加入或增加。
- 3。
- 皮质类固醇的乙型肝炎病毒携带者可能会引起丙型肝炎乙型肝炎病毒。请注意丙型肝炎病毒增殖的体征和症状,例如在给药期内和给药后继续执行肝功能测试值和肝炎病毒标记。如果发现异常,请采取适当的措施,例如考虑到该药物的体重减轻,以施用抗病毒剂。对于HBS抗原阴性患者,肝炎病毒在给药前已有报道。
- 四个。
- **据报道,当未识别棕色细胞的合并时,会施用Beta-亚Zen制剂(注射剂)。如果在服用该药物后观察到血压,头痛,呼吸症等的显着升高,请考虑适当的措施来考虑棕色细胞的表达。
相互作用
互动的轮廓
- 倍替米松主要由CYP3A4代谢。
禁忌症(不要一起使用)- 1。
- 毒品名称,等等
- *Desmoplesss Hydrate Minirin融化(男性夜间多尿引起的夜间排尿)
- 临床症状 /度量方法
- *可能发生低血压。
- 机械 /危险因素
- *未知机制。
|
合并用途的注释
(请注意联合使用)
- 1。药物,例如毒品名称,酒精,毛抑制剂和抗杀菌素
- 临床症状 /度量方法
- 由于效果可以彼此增强,如果您一起使用,则应仔细管理您的效果,例如减轻体重。
- 机械 /危险因素
- 中枢神经系统抑制剂,酒精:D-氯苯胺马来酸中心抑制作用会增强作用。
MAO抑制剂:干扰D-氯苯胺马来酸的排毒机理,该作用扩大(增强)。 - 2。 droxidpa,去甲肾上腺素等
- 临床症状 /度量方法
- 由于使用综合,有增加血压的风险。
- 机械 /危险因素
- D-氯苯胺马来酸可抑制组胺的毛细血管膨胀。
- 3。芭比娃娃衍生物苯巴比妥酚,退款PICIN,麻黄碱等
- 临床症状 /度量方法
- 据报道,皮质类固醇激素药物的作用降低了,因此在一起使用时要小心。
- 机械 /危险因素
- 巴比妥酸衍生物,落病和利福平诱导的P-450,促进了肾上腺皮质激素药物的代谢。
- 四个。水杨酸衍生物阿司匹林,阿司匹林对话,sasapirin
- 临床症状 /度量方法
- 据报道,当合并使用时减少海豚皮质激素药物的量减少时,串行酸中的串行酸中的水杨酸量增加,因此,在一起使用时要小心。
- 机械 /危险因素
- 皮质类固醇可促进水杨酸衍生物中的肾脏排泄和肝代谢,并具有降低血清中水杨酸衍生物浓度的作用,因此,当它们降低时,血液浓度会增加。
- 五。毒品名称,抗oat,沃尔法林cal
- 临床症状 /度量方法
- 据报道,皮质类固醇激素剂会降低抗癌的作用,因此在一起使用时要小心。
- 机械 /危险因素
- 皮质激素剂具有血液凝血促进效应。
- 6。口腔糖尿病等。乙酰糖酰胺胰岛素为糖尿病制备准备
- 临床症状 /度量方法
- 据报道,皮质类固醇激素剂会降低口服糖尿病和胰岛素制剂的作用,因此,一起使用时,请注意剂量,并在观察血糖水平和其他患者时进行给药。
- 机械 /危险因素
- 皮质质激素剂具有通过促进肝脏中的葡萄糖并抑制外周组织中糖的使用来增加血糖的作用。
- 7。利尿剂,例如药物名称(排除利尿剂)
三明甲苯,乙酰唑胺,氟胺- 临床症状 /度量方法
- 与皮质类固醇激素剂一起使用时,可能会发生Lypokalememia,因此在一起使用时要小心。当与钾排泄型利尿剂结合使用时,建议监测血清钾和心脏功能。
- 机械 /危险因素
- 皮质类固醇在尿管中具有钾的促进。
- 8。毒品名称等。种子素
- 临床症状 /度量方法
- 联合用途可以减少生长运动的作用。
- 机械 /危险因素
- 皮质激素剂降低了淋巴细胞素的作用。机制是未知的。
- 9。环孢素,例如药物名称
- 临床症状 /度量方法
- 据报道,环孢菌素的血液浓度会上升,因此在一起使用时要小心。
- 机械 /危险因素
- 这种药物阻碍了环孢菌素的代谢。
- 十。演示的极性肌肉松弛剂,例如毒品名称,Punkronium,Vecronium bromedic
- 临床症状 /度量方法
- 据报道,肌肉放松效果将被削弱或增强,因此在一起使用时要小心。
- 机械 /危险因素
- 机制是未知的。
- 11。氯氯盐酸盐,例如毒品名称
- 临床症状 /度量方法
- 据报道,肺水肿与β-唑酮注射结合出现。
- 机械 /危险因素
- 促进了体内储水的趋势。
- 12。 Ellislomycin,等等
- 临床症状 /度量方法
- 据报道,固体的作用将得到增强,因此一起使用时请注意该药物的剂量。
- 机械 /危险因素
- Ellislymycin对CYP3A4的抑制作用抑制了贝甲唑的代谢。
副作用
概述表达状态,副作用
- 该药物不进行调查,以阐明副作用的频率,例如用法调查。
严重的副作用(频率未知)
- 1。
- 可能发生偶然感染,传染病引起感染以及传染病的恶化。肝炎可能是由于乙型肝炎病毒的增殖。如果发现异常,请进行足够的观察并采取适当的措施。
- 2。
- 可能发生连续的肾上腺皮质功能障碍,糖尿病,急性肾上腺不便,放弃的肾上腺皮质功能,糖尿病和急性肾上腺衰竭,因此,如果发现您已完全观察到异常。
- 3。
- 可能会出现消化溃疡,胰腺炎,胰腺炎和消化溃疡,例如胃溃疡,因此可以充分观察到。
- 四个。
- 可能会出现精神调节,抑郁,抽搐,混乱,抑郁,抽搐,混乱和心理调节,因此进行了足够的观察。
- 五。
- 在骨质疏松症,肌病,股骨和乳骨,无菌头性坏死性股骨和吮吸骨质造成的坏死性坏死,以及骨质疏松症和骨质疗法可能会发生,因此它是异常的和异常的。毒品假。
- 6。
- 希望进行定期检查,因为青光眼,后SAC白色 - 偏见会导致过度尾巴,青光眼和后囊白色分离障碍。
- 7。
- 由于可能发生血栓形成血栓形成,因此应进行足够的观察,例如进行检查,如果发现异常,则采取适当的措施,例如体重减轻或药物休息。
- 8。
- 回收的贫血,老年胡椒,氯苯胺制剂和较差的再生贫血,衰老的引擎假设,因此,如果您观察到了血液检查,例如进行血液检查,如果观察到异常。停止给药。
- 9。
- 抑制婴儿和儿童(请参阅“给儿童管理等”部分)
另一个副作用
- 1.超敏反应注1)
- 未知频率
- 皮疹,轻度过敏等。
- 2.精神神经系统
- 未知频率
- 符号,烦躁,烦恼,挫败感,假设,双流式,头痛,头晕,耳鸣,前庭焦虑,情绪焦虑,感觉异常,歇斯底里,神经炎症,协调,失眠,失眠,嗜睡,沉重,沉重,沉重
- 3.消化
- 未知频率
- 口渴,胸部,腹胀,厌食症,便秘,腹痛,恶心 /呕吐,食欲改善,腹泻,等等。
- 4.泌尿科
- 未知频率
- 尿液频繁,排尿困难,尿液关闭,类固醇肾病等。
- 5.心血管2)
- 未知频率
- 低血压,心pit,心动过速,抗周期收缩
- 6.呼吸道
- 未知频率
- 鼻子和气道干燥,粘性气管分泌,喘息,鼻腔关闭
- 7.血液
- 未知频率
- 溶血性贫血,白细胞增加,血小板还原
- 8.肝脏
- 未知频率
- 肝功能障碍[AST(GOT),ALT(GPT),Al-P等]
- 9.内分泌
- 未知频率
- 月经异常,糖尿病等
- 10.肌肉 /骨骼
- 未知频率
- 肌肉疼痛,关节疼痛等。
- 11.脂质 /蛋白质代谢
- 未知频率
- 完全月亮的脸,牛肩,氮湍流平衡,脂肪肝等。
- 12.体液 /电解订单2)
- 未知频率
- 水肿,低钾碱性病,血压升高等。
- 13.眼睛
- 未知频率
- 由于中央血清网络循环等引起的一般功能障碍,眼球突出等。
- 14.皮肤
- 未知频率
- 头发,脱毛,痤疮,色素沉着,皮下出血,紫色斑点,接线,瘙痒,瘙痒,异常,面部红斑,伤口愈合障碍,皮肤变薄和脆弱性,脂肪炎,脂肪炎
- 15.其他
- 未知频率
- 热产生,疲劳,精子及其运动性增加 /减轻,胸痛,不适,体重增加
- 注意1)如果出现症状,请停止给药。
- 注2)如果出现症状,请采取适当的措施,例如减肥或静息药物。
老年人的管理
- 如果您长时间给予老年人,则很可能会出现副作用,例如诱发感染性疾病,糖尿病,骨质疏松症,高血压,后囊性白内障,青光眼等。
管理孕妇,妇产科妇女等。
- 1。
- 对于可能怀孕的孕妇或妇女,只有在确定治疗要超过危险的情况下才有必要管理。 [动物实验(鼠标)报告了宝藏,并可能导致新幼犬的肾上腺失败。
- 2。
- 在这种药物期间避免母乳喂养。 [有时转移到母乳中]
给儿童的管理等
- 1。
- 由于可能会抑制婴儿和儿童,因此有必要进行足够的观察,如果发现异常,请采取适当的措施,例如减轻体重或停止给药。
- 2。
- 在长期给药的情况下,可能会出现颅内内压。
适用的预防措施
- 在药物时:PTP包装中的药物应从PTP纸中取出并指示服用。 (据报道,PTP纸的难以到叶片在食管粘膜中有一个硬尖的角,并且严重的并发症(如纵隔炎)是由穿孔引起的)。
其他预防措施
- 1。
- 据报道,将疫苗(疫苗等)接种给患者接受皮质类固醇,从而导致神经病和抗体反应。
- 2。
- 当对抑制免疫功能的患者使用该药物时,应将以下几点传递给患者。
- (1)
- 水痘,麻疹等有感染的危险。
- (2)
- 如果感染,请咨询医疗机构。
药代动力学
- 1.生物当量测试1)
- 2片Pladesmin组合和标准制剂(0.5毫克作为固体,4毫克,作为D-氯苯胺马来酸)健康男孩快速迅速地吃单个口腔器官,以使血清中令人不愉快的不愉快浓度。通过对获得的药代动力学参数(AUC,CMAX)的统计分析,证实了两种药物的生物等效性。
- (1)倍他米松

- (2)D-氯苯尼拉明马来酸

- 2. inttion 2)
- 已经证实,Pladesmin组合片剂的退化性符合日本药物标准中规定的标准,第3部分。
药代动力学表
Pradesmin组合片剂(Betomethasone)禁食单 - 时器器官施用材料参数(平均±标准偏差,n = 14)
| 剂量(mg) | AUC 0-48 (ng/hr/ml) | cmax(ng/ml) | tmax(HR) | T 1/2 (HR) |
| Pradesmin组合锁 | 0.5 | 30.3±6.9 | 3.3±0.5 | 2.4±0.5 | 9.7±9.0 |
| 标准准备(平板电脑) | 0.5 | 29.2±4.8 | 3.2±0.4 | 2.6±0.6 | 9.0±6.5 |
血清浓度和参数(例如AUC和CMAX)可能会根据测试条件(例如选择受试者的选择,少年的次数等)而有所不同。
Pradesmin组合片剂(D-氯苯甲酸马来酸)快速消费口服药物体参数(平均±标准偏差,n = 14)
| 剂量(mg) | AUC 0-48 (ng/hr/ml) | cmax(ng/ml) | tmax(HR) | T 1/2 (HR) |
| Pradesmin组合锁 | 四个 | 195.9±27.9 | 10.0±1.8 | 3.3±0.6 | 19.0±11.2 |
| 标准准备(平板电脑) | 四个 | 184.6±34.6 | 9.4±1.5 | 3.1±0.4 | 21.2±9.4 |
血清浓度和参数(例如AUC和CMAX)可能会根据测试条件(例如选择受试者的选择,少年的次数等)而有所不同。
药物
- PLADESMIN组合片剂是合成肾上腺皮质激素的D-氯苯胺马来酸与抗组胺药(H 1受体拮抗剂)的D-氯苯胺马来酸的组合。
- (1)倍他米松3)
- 当碳水化合物皮质类动物与细胞质或核中存在的受体结合时,它转移到细胞核以开始或抑制特定的基因转移。合成和合成的代表性蛋白是liportine-1,它抑制磷脂酶A 2 ,从而导致前列腺素,tromboxan和leukotriene。减少。
- (2)D-氯苯尼拉明马来酸3)
- 组蛋白H 1受体阻断药物。 H1过敏反应(例如毛细血管的延伸,渗透率增加,毛细血管延伸引起的瘙痒,由于可渗透性神经系统的延伸而引起的瘙痒)通过受体。大多数氯苯胺H1受体阻断效果取决于D身体,因此其有效性大约是DL身体的两倍。
有关活性成分的物理和化学知识
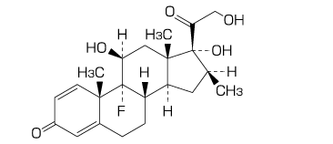
●购β- 通用名称
- 替当塞米松
- 化学名称
- 9-氟-11β ,17,21-三羟基-16β-甲基甲基甲基-1,4-二烯-3,20-二酮
- 分子
- C 22 H 29 FO 5
- 分子量
- 392.46
- 民间点
- 大约240°C(分解)
- 性欲
- 它是白色至细的黄色结晶粉。溶解在甲醇,乙醇(95)或丙酮中,几乎不溶于水很难。认识到晶体多态性。
- 结构公式

●D-氯苯尼拉明马来酸- 通用名称
- D-氯苯胺乳腺癌(D-氯苯霉菌群)
- 化学名称
- (3 s )-3-(4-氯苯基) -N , N-二甲基-3-吡啶素-2-基丙基胺单体酸酯
- 分子
- C 16 H 19 CLN 2 / C 4 H 4 O 4
- 分子量
- 390.86
- 民间点
- 111-115℃
- 性欲
- 它是白色结晶粉。它极易溶于水,甲醇或乙酸(100),并且很容易溶解在N,N-二甲基甲醇或乙醇中(99.5)。溶解在稀有的盐酸中。
- 结构公式

处理的预防措施
稳定性测试结果的概述4)由于长期保存测试(25°C,3年零3个月),因此可以证实,在正常市场分布下,Pladesmin组合片稳定了三年。包装
- Prademin组合片PTP包装:100片(10片X 10),1,200片(10片X 120)
主要文献
- 1)
- Takeda Tebaphama Co.,Ltd。在房屋材料(生物等效测试)中
- 2)
- Takeda Tebaphama Co.,Ltd。在 - 房屋材料(洗脱测试)
- 3)
- 第七修订的日本药房描述书
- 四)
- Takeda Tebaphama Co.,Ltd。在 - 房屋材料(稳定性测试)
文献请求 /产品信息查询
- 请索取下面“主文档”列中描述的文档和房屋材料。
Takeda Teba Farm Co.,Ltd. Takeda Teva di Center - 1-24-11 Taiko,Nakamura-Ku,Nagoya 453-0801
- 电话0120-923-093
接待时间9:00-17:30(不包括周末和假期,我们的假期)
制造商等的姓名或名称和地址等。
- 销售
- 武田制药有限公司
- 4-1-1,大阪的Chuo-ku
- 制造和分销商
- Takeda Tebapmer Co.,Ltd.
- 1-24-11 Taiko,Nakamura -Ku,名古屋