4006 776 356
免费咨询 9:00-18:00
获取国外睾丸激素对映射肌肉250 mg“ F”jazh-CN药品价格,使用等信息,最快 24 小时回馈
出境医 / 海外药品 / 睾丸激素对映射肌肉250 mg“ F”jazh-CN
睾丸激素对映射肌肉250 mg“ F”jazh-CN
1986年1月
*睾丸激素能量肌肉250 mg“ F”
创建或修订年
- **于2020年8月修订(第8版)
- *2019年6月修订
日本标准产品分类编号
- 872461
医学分类名称
- 雄性激素制备
批准,等等
- 销售名称
- *睾丸激素能量肌肉250 mg“ F”
销售名称代码
- 2461400A2105
批准 /许可号码
- 批准编号
- *30100AMX00061
药品价格标准日期
- *2019年12月
销售日期
- 1986年1月
储蓄,到期日期等
- 储蓄
- 阴影 /室温存储
- 截止日期
- 在外盒子上显示(3年)
标准名称
- 日本药房
- 注射溶液中的睾丸激素能量
法规类别
- 处方药)
- 注意 - 由医生的处方等处方。
作品
- 有效成分
- 日本局睾丸激素对照
- 内容
- 250毫克
- 容量
- 1ml
- 添加剂
- 50μl苄基苄基
苄醇20μl
芝麻油适合金额
特点
- 色调 /属性
- 无色至细透明透明油的注入溶液
- 药物
- 注射剂(Ampoul)
限制(请勿对下一个患者进行管理)- 1。
- 雄激素依赖性恶性肿瘤(例如,前列腺癌)和可疑患者[可能会促进肿瘤的恶化或表现。这是给出的
- 2。
- 孕妇或可能怀孕的妇女(请参阅“孕妇,妇产科,哺乳妇女等行政”部分
|
功效或效果
- 男性腺体功能(太监),由于受精功能障碍,再生性贫血不良,骨髓纤维化,肾脏贫血而导致的男性不育症
用法和剂量
- 在男性腺功能(Eunuch)的情况下
- 通常,成年人每7至10天注射一次肌肉,或每250毫克,每2至4周,作为睾丸激素能量酯。
此外,根据年龄和症状,它将适当地增加或减少。 - 在男性不育症的情况下,由于出色的功能障碍
- 通常,成年人一次以睾丸激素能量酯为止,一次注射50至250 mg的肌肉,直到每2至4周达到精子。
此外,根据年龄和症状,它将适当地增加或减少。 - 对于再生性贫血不良,骨髓纤维化,肾脏贫血
- 通常,每1-2周将成年人注入一次肌肉,每1-2周一次100至250毫克的睾丸激素饮料。
此外,根据年龄和症状,它将适当地增加或减少。
使用预防措施
谨慎的管理
(请小心地给下一个患者管理)
- 1。
- 前列腺肥大的患者[可能增加前列腺肥大。这是给出的
- 2。
- 这些症状可能由于心脏病,肾脏疾病或过去的患者[储存钠和体液而恶化。这是给出的
- 3。
- 癌症骨转移的患者[可能发生高钙血症。这是给出的
- 四个。
- 老年人(请参阅“老年人行政”部分)
- 五。
- 青春期前的患者,可能无法结束骨骼生长的患者(请参阅“给儿童管理等”部分)
重要的基本预防措施
- 1。
- 当给男性时,应进行常规的前列腺测试。
- 2。
- 当给妇女管理时,告诉她们有可能发生转化,并在给药时足够观察,并在发现异常时停止给药。
相互作用
合并用途的注释
(请注意联合使用)
- 毒品名称等。
- 临床症状 /度量方法
- 请小心,例如减少抗肿瘤剂,因为可能会增强抗加压剂的作用。
- 机械 /危险因素
- 基于该药物的凝结因子合成抑制或分解促进作用。
副作用
概述表达状态,副作用
- 该药物不进行调查,以阐明副作用的频率,例如用法调查。
- 高敏性注1)
- 未知频率
- 高敏性
- 肝脏注2)
- 未知频率
- 肝功能检查值异常
- 内部分区2)
- 未知频率
- 妇女:ho骨,多发,痤疮,色素沉着,月经异常,密度升高,情绪低落的性欲
男性:阴茎肥大,可持续勃起,尤其是睾丸功能,例如萎缩,精子减少和精液还原 - 精神科
- 未知频率
- 色素症状
- 皮肤
- 未知频率
- 脱毛,肤色变化(红斑等)等等。
- 管理网站
- 未知频率
- 疼痛,硬化
- 注意1)在表达的情况下,停止给药。
- 注2)做出足够的观察,并采取适当的措施,例如停止体重或在表达时停止管理。
老年人的管理
- 小心地向老年人灌输。 [雄激素依赖性肿瘤可能是男性老年人的潜力,通常,生理功能降低。这是给出的
管理孕妇,妇产科妇女等。
- 不要为可能怀孕的孕妇或妇女管理。 [有时女性胎儿可以男性化。这是给出的
给儿童的管理等
- 当给可能没有结束骨骼生长的患者服用时,应仔细观察和施用。 [有早期关闭骨边缘和性早熟的风险。这是给出的
适用的预防措施
- 1.管理路线:
- 该药物必须仅用于内部注射。
- 2.注射肌肉时:
- 为了避免对组织,神经等对肌内注射的影响,请注意以下几点。
- (1)
- 不要对同一部分重复注射。
在低出生体重,新生儿,婴儿,婴儿或儿童中要特别谨慎。 - (2)
- 避免神经驱动部位。
- (3)
- 当注射针被刺伤时,如果您抱怨剧烈疼痛或看到血液的回流,请立即拉出针头并将零件更改为注射。
- 3.切割安培时:
- 该产品是一个剪切的Ampoule,但希望用乙醇棉清洁安培的切割部分。
- 4.使用时:
- 冬季可能会变得多云,但在这种情况下,请使用一些温暖。
其他预防措施
- 据报道,在再生性贫血的患者中已经观察到肝肿瘤的发生,这些患者已用于长期蛋白质同化和雄性激素剂。 1)〜3)
药物
- *睾丸激素是雄性激素。雄性激素的生理作用是1.雄性生殖器官的发展以及维持其功能,通过与2.fsh合作,3。促进男性性行为,促进精子形成,4。蛋白质同化等。是。该药物是一种睾丸激素衍生物,与天然类型相比具有可持续性。从临床上讲,它也用于男性腺体功能,由于肥料功能障碍而导致的男性不育症,但也用于再生性贫血不良。四)
有关活性成分的物理和化学知识
- 通用名称
- 睾丸激素肠道
- 化学名称
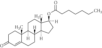
- 3-氧androst-4-En-17β-基七烯酸盐
- 结构公式

- 分子
- C 26 H 40 O 3
- 分子量
- 400.59
- ** 财产
- 它是白色至细的黄色晶体或结晶粉或细淡棕色,没有气味或略带特殊气味。
溶解在乙醇(99.5)中,几乎不溶于水很容易。
熔体:大约36°C
处理的预防措施
- 稳定性测试
- 由于使用最终包装产品(室温,纳米湿度,阴影,3年)进行长期存储测试,外观和内容在标准范围内,睾丸激素能量肌肉250 mg“ F”是一个普通市场。已确认它在分发的三年中是稳定的。五)
包装
- 250mg/1ml 10安培
主要文献和文档请求目的地
主要文献
- 1)
- Hirohiko Ota等人:肝脏, 18 :958,1977
- 2)
- Falk,H.Et Al。:Lancet,II:1120,1979
- 3)
- Teruaki Oka等:病理与临床, 6 :337,1988
- 四)
- *第17修订的日本药房描述(Hirokawa Shoten)C-3202(2016)
- 五)
- 富士制药有限公司(Ltd。)在房屋材料(稳定性测试)
文学要求
- 请在主要文档中描述的房屋材料中索取以下内容。
富士制药有限公司 - 1515 Mizuhashi Tsujigado,Toyama City,Toyama县,939-3515
- **(电话) 0120-956-792
- (传真)076-478-0336
制造商等的姓名或名称和地址等。
- 制造和分销商
- 富士制药有限公司
- 1515年米津岛TSUJIGADO,工专业县县县