获取国外余锁2mgjazh-CN药品价格,使用等信息,最快 24 小时回馈

出境医 / 海外药品 / 余锁2mgjazh-CN

余锁2mgjazh-CN

1965年4月
  • * <在生殖医学护理中调整调整卵巢刺激的开始时间>

    根据妊娠率和生产率的报告,如果使用含有这种药物和卵泡激素药物的孕激素剂调整可调节卵巢刺激的起始时间,则没有调整开始时间。速率可能会降低,这是向患者解释的,并且考虑到需要治疗的情况。

余锁2mg

启发记录号

2478001F1040_2_04

公司代码

670109

创建或修订年

* 2022年3月修订(第一版,功效更改,使用情况更改)

日本标准产品分类编号

872478

医学分类名称

口服孕激素药物

批准,等等

余锁2mg

销售名称代码

YJ代码

2478001F1040

销售名称英语符号

会员片

销售名称Hiragana

Rutoraurujo 2mg

批准号,等等。

批准编号

21900AMX00247

销售日期

1965年4月

储蓄 /有效期限

储蓄

室温保存

有效期

5年

法规类别

处方

笔记)预防措施 - 由医生的处方等。

一般名称

醋酸氯马济

2.反对(不给下一个患者施用)

  1. 2.1严重肝损伤和肝病的患者

3.组成 /特性

3.1组成

余锁2mg

有效成分1片含量Mazinon酯2 mg
添加剂乳糖氢烟,托莫洛巧克力鸡巴,芭芭拉斯鸡蛋蛋白,硬脂酸镁,palooxy甲基

3.2准备属性

余锁2mg

外形表面
后退
尺寸直径约7.0mm
厚度约3.4毫米
识别代码FJ364
审查和代理白色平板电脑
重量约0.13克

4.功效或效果

*破坏,月经周期异常(很少月经,多月经)或生殖补充医学调整卵巢刺激的调整,月经质量(未满月度,过度月球),月经难度,功能性子宫出血,卵巢质量,卵巢。黄体医疗

5.与效果有关的预防措施

  • * <在生殖医学护理中调整调整卵巢刺激的开始时间>

    根据妊娠率和生产率的报告,如果使用含有这种药物和卵泡激素药物的孕激素剂调整可调节卵巢刺激的起始时间,则没有调整开始时间。速率可能会降低,这是向患者解释的,并且考虑到需要治疗的情况。

6.用法和剂量

*作为醋酸盐氯酯酯,通常每天服用2至12 mg的成年酯。在生殖补充医学中的黄体补充剂中,该药物的持续时间是从子宫内膜足够增厚的时间,当子宫内膜充分增厚时,用于专用于新鲜胚胎移植的胚胎移植。直到移植日期,并与其他孕激素结合使用。

8.重要的基本预防措施

  • * <调整在生殖医学中调整卵巢刺激的起始时间,不育症引起的不孕症,生殖医学中的倾听术>

    该药物必须在具有足够知识和生育治疗经验的医生下使用。

9.具有特定背景患者的预防措施

9.1并发症和病史的患者

  1. 9.1.1心脏病患者或患有病史的患者

    可以存储钠或体液。

9.2肾功能的患者

  1. 9.2.1肾脏疾病患者或患有病史的患者

    可以存储钠或体液。

9.3肝功能障碍患者

  1. 9.3.1严重肝损伤和肝病的患者

    不要管理。肝损害和肝病可能恶化。

9.5孕妇

  1. 9.5.1孕酮使用与先天儿童的诞生之间的因果关系尚未确定,但是在孕育先天性异常儿童(如心脏和四肢)的母亲中,对比群体,对比群体以及怀孕初期的导致。据报道,使用孕激素和细胞激素药物1)的流行病学调查有显着差异。
  2. 9.5.2 *据报道,在怀孕期间因孕妇而出生的儿童中允许尿道唇的表达。此外,据报道,雄性在雄性中已识别出雄性,并在妊娠期间在动物实验(大鼠)中使用皮下施用。

9.6母乳喂养妇女

考虑到母乳营养的治疗和益处,考虑到母乳喂养的持续或取消。

11.副作用

由于可能会出现以下副作用,因此请采取足够的观察并采取适当的措施,例如如果发现异常,停止给药。

11.1严重的副作用

  1. 11.1.1血栓形成(大脑,心脏,四肢等)(小于0.1%)

11.2其他副作用

5%或更多或频率未知

0.1至5%

小于0.1%

高敏性

皮疹等

肝功能异常

电解代谢

水肿,体重增加等

消化器官

食欲不振,恶心,呕吐,腹泻,腹痛等。

子宫

无法治愈的出血,出血,虚线出血,月经血的变化,下腹痛等。

胸部

乳腺肿瘤,乳房疼痛等。

精神科

头痛

嗜睡等

其他的

不适

注意)在重新评估时,表达频率包括在内。

14.适用的预防措施

14.1发出毒品的预防措施

PTP包装药物应从PTP纸中取出并教给它。由于PTP板的意外摄入,硬尖角可能会插入食管粘膜,甚至可能发生严重的并发症,例如纵隔炎。

15.其他预防措施

15.1基于临床用途的信息

*据报道,当在可调卵巢刺激的前循环中施用低剂量激素 /孕激素联合剂时,生产率和持续妊娠率低于未给药4)

16.药代动力学

16.5排泄

当将2 mg的2 mg 2毫克的14 c符号氯马吉替酸乙酸盐施用给健康的女性时,在72小时内将5.5%的尿液排泄在尿液中,主要代谢产物为氢氧化物(外国数据) 5)。

17.临床结果

17.1关于有效性和安全性的测试

  • <月经剂量异常(超胸声),月经难度,功能性子宫出血,卵巢功能障碍>
    1. 17.1.1临床试验

      重新评估结果中有20例有效性评估,有效效率为85.0%(17), 6) 7)

      表1临床结果

      疾病名称

      有效评估的有效案件数量/案件数量

      效率 (%)

      月经异常(过度月经)

      2/2

      -

      困难

      6/6

      -

      功能性子宫出血

      7/10

      70.0

      卵巢功能障碍

      2/2

      -

18.医疗药物

18.1动作机制

它通过存在于目标器官细胞(例如子宫内膜)中的特定受体蛋白来证明。也就是说,与细胞中的受体蛋白结合以改变三维结构并与DNA的特定区域结合。
该位点的基因被激活以产生特定的mRNA,特定的蛋白质合成,并施加激素效应8) 9)

18.2女激素作用

它在兔子测试中具有孕激素,但不识别雌性小鼠(DDS 的卵泡激素作用。

19.有关活性成分的物理和化学知识

一般名称

醋酸氯马济

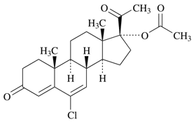
化学名称

6-氯-3,20-Dioxopregna-4,6--Dien-17-醋酸酯

分子

C 23 H 29 CLO 4

分子量

404.93

特点

它是白色至浅黄色晶体或水晶粉,没有气味。
很容易溶解在氯仿中,略微溶于乙腈,很难溶于乙醇(95)或二乙醚,并且几乎不溶于水。

化学结构

熔点

211-215℃

22.包装

100片[10片(PTP)X 10]

23.主要文献

1)Nora JJ等人:Lance。1973; 1(7809):941-942

2)Chambon Y等人:Ann。Endocrinol,Paris,1967; 28:433-443

3)Junkmannn K等人:Acta内分泌。

4)Cochrane数据库Syst Rev 2017:5:CD006109

5)Handy RW等人:药理学家。1971; 13(2):221

6)Naotaka Ishizuka等:最新医学。1965; 20(5):1180-1195

7)Fumio Akasu等:激素和临床。1963; 11(12):1135-1143

8)Fujiwara Motosei等。其他翻译:Goodman Gilman Pharmaceutical Book 8 Edition HirokawaShoten。1992:1718-1724

9)Koji Okada授权:妇产科的药物治疗。1991; 1:27-31

10)Yu Miyake等:日本内分泌学会。1965; 41(9):1079-1093

24.文学要求和询问

富士制药有限公司

1515 Mizuhashi Tsujigado,Toyama City,Toyama县,939-3515

(电话)0120-956-792
(传真)076-478-0336

26.制造分销商等

26.1制造商和分销商

富士制药有限公司

1515年米津岛TSUJIGADO,工专业县县县

26.2合作伙伴

塞尔(美国)