4006 776 356
免费咨询 9:00-18:00
获取国外Lonsteron片剂25mgjazh-CN药品价格,使用等信息,最快 24 小时回馈
出境医 / 海外药品 / Lonsteron片剂25mgjazh-CN
Lonsteron片剂25mgjazh-CN
1987年10月
Lonsteron片剂25mg
创建或修订年
- 2021年修订(第10版,由于药物价格标准删除而被修订)
- *修订于2015年10月
日本标准产品分类编号
- 872478
日本标准产品分类编号,等等。
- 功效或效力额外批准日期(最新)
- 1988年10月
医学分类名称
- 前列腺增生 /癌症治疗剂
批准,等等
- 销售名称
- Lonsteron片剂25mg
销售名称代码
- 2478001F2357
批准 /许可号码
- 批准编号
- 22100AMX01687000
- 商标
- Ronsteron片25mg
药品价格标准日期
- 药品价格无关
销售日期
- 1987年10月
储蓄,到期日期等
- 积累
- 室温保存
- 截止日期
- 在包装中显示的到期日期内使用。
(请勿使用已过期日期的产品)
法规类别
- 处方药(谨慎 - 由医生等使用)
作品
- 活性成分 /含量
- 25毫克的Ronsteron片剂在1片中含有25毫克的日本药房氯马齐顿。
- 添加剂
- 乳糖氢,卡梅尔和晶体纤维素,玉米镁,硬脂酸盐,tark
特点
- 特点
- 浅黄色裸体锁
- 直径
- 6.0mm
- 厚度
- 3.2mm
- 重量
- 100mg
- 识别代码
- NS
- 外形

一般名称
- 醋酸氯马济
限制(请勿对下一个患者进行管理)- 严重肝损伤和肝病的患者[代谢能力降低,肝脏负担增加,导致症状恶化。这是给出的
|
功效或效果
- 前列腺增生
- 前列腺癌
- 但是,对于转移性前列腺病例,在其他治疗困难的情况下使用它。
用法和剂量
- 前列腺增生
- 作为乙酸酸酯酯,每天吃两次后,口服25 mg(1片)。
- 前列腺癌
- 作为乙酸氯霉素,每天进食两次后,口服50 mg(2片)。
由于症状,应当适当地注意。
使用预防措施
谨慎的管理
(请小心地给下一个患者管理)
- 1。
- 这些症状可能由于心脏病,肾脏疾病或其患者病史[存储钠和体液而恶化。这是给出的
- 2。
- 糖尿病患者[可能耐糖性降低。这是给出的
重要的基本预防措施
- 1。
- 由于已经报道了由于严重的肝功能障碍而导致的严重肝功能障碍(例如肝炎),因此据报道,必须至少每月一次进行常规肝功能检查,直到施用开始后三个月。
- 2。
- 当用于前列腺增生时,请记住以下几点。
- (1)
- 应当指出,前列腺增生的治疗不是根疗法,如果无法通过使用该药物获得这种药物,则应考虑其他适当的措施,例如手术治疗。
- (2)
- 管理期是基于16周,如果未获得预期效应,请勿继续彻底管理。
- (3)
- 如果降低了Potentz等,请考虑治疗的益处,并在必要时将其更改为药物静修或其他疗法。
副作用
- 该药物不进行调查,以阐明副作用的频率,例如用法调查。
严重的副作用
- 1.作用的心力衰竭(频率未知)
- 在这种情况下,应采取适当的措施,例如停止管理。
- 2.血栓形成(频率未知)
- 由于血栓形成(大脑,心脏,肺,四肢等,如果发现异常,则应停止使用,并应停止使用适当的治疗方法。
- 3.肝炎,肝功能障碍,黄疸(频率未知)
- 肝炎,肝功能障碍和黄疸在这种药物后1-2个月出现,并且已经报告了死亡病例,因此在给药开始后三个月,至少每月一次,然后定期定期进行。对于肝功能测试。 ,如果发现诸如恶心,呕吐,厌食和普遍不适的异常,请立即停止给药并采取适当的措施。
- 4.糖尿病,糖尿病,高血糖症(频率未知)可丧失
- 可能会出现糖尿病的糖尿病和高血糖,并且已经报道了严重的昏迷和酮症酸中毒的病例。在这种情况下,采取适当的措施,例如停用。
另一个副作用
- 1.倾斜
- 未知频率
- 阳ot,性欲的丧失等。
- 2.超敏反应注1)
- 未知频率
- 皮疹,所以发痒,等等。
- 3.肝脏注2)
- 未知频率
- 肝功能异常,等等。
- 4.肾脏笔记3)
- 未知频率
- bun,肌酐的上升,等等。
- 5.交易代谢命令4)
- 未知频率
- 水肿,体重增加等
- 6.心血管3)
- 未知频率
- 心ple,pal,胸口痛苦,呼吸急促等。
- 7.血液
- 未知频率
- 贫血
- 8.消化
- 未知频率
- 胃部不适,恶心,便秘,腹泻,厌食,嘴巴,呕吐,腹痛等。
- 9.精神病神经系统
- 未知频率
- 头痛,嗜睡等
- 10.泌尿科
- 未知频率
- 经常排尿,尿道不适,下腹痛等。
- 11.脂质代谢
- 未知频率
- 中性脂肪上升
- 12.内分泌
- 未知频率
- 雌性乳房,血液FSH,LH,睾丸激素水平,催乳素值增加
- 13.皮肤
- 未知频率
- 脱发
- 14.其他
- 未知频率
- 疲劳,低烧,出汗,肥胖
- 注意1)在表达的情况下,停止给药。
- 注2)进行足够的观察,例如注意肝功能检查值,并采取适当的措施,例如如果发现异常,停止给药。
- 注3)如果表达表达,请采取适当的措施,例如停用给药。
- 注4)做出足够的观察并采取适当的措施,例如在表达时停止管理。
老年人的管理
- 在向老年人管理时,请小心,例如注意剂量和管理间隔。 [通常,老年人的生理功能通常会降低,因此血液浓度可能持续下去。这是给出的
适用的预防措施
- 在作业时:应从PTP纸中取出PTP包装药物并教导它(PTP纸会导致硬角度刺入食管粘膜,并进一步刺穿,以及Medierstine等。据报道有严重的并发症)。
其他预防措施
- 据报道,在大鼠,兔子和狗中观察到精子形成。
据报道,肾上腺皮质是大鼠和狗的萎缩,但豚鼠没有萎缩。
药代动力学
- 1.生物当量测试1)
- (参考)动物吸收
Ronsteron片剂25 mg和标准配方,通过交叉方法(100 mg作为乙酸氯霉素)(100 mg作为乙酸氯霉素)到白色雄性兔子,以测量血浆中不愉快的浓度,以测量血浆中的不愉快浓度。参数分析(AUC,CMAX),确认了这两个阶段的生物当量。 
血浆浓度和参数(例如AUC和CMAX)可能会根据测试条件(例如选择主体动物,收集时间和体液的时间)而有所不同。- 2.侵犯行为2)
- 已经证实,在日本药品标准3中规定的25毫克乙酸氯氮蛋白酶的洗脱标准25毫克的朗特龙片剂符合洗脱片的标准。
药物
- 该药物的主要组成部分是氯Mazinon Esster 3)具有抗雄激素作用,并且具有抗主要的腺作用,这表明前列腺的肿大和前列腺癌的生长抑制作用。
- (1)
- 选择性进口抑制血液睾丸激素
- (2)
- 5α-DHT(5α-二氢睾丸激素)和受体蛋白之间的抑制作用
- 前列腺肥大抑制作用7)
- 检查方法:去除4周的大鼠,并施用睾丸激素和氯菌静脉静脉静脉静脉静脉静脉内7天,以测量腹部前列腺,分离板和肛门悬浮剂的体重。我看到了抑制作用。
- 结果:乙酸氯马齐宁通过埃斯托离子酸(p <0.01)显着抑制腹前腺的肥大,抑制作用取决于10至90 mg/kg的剂量,以及美学和肛门。被大大抑制。

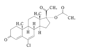
有关活性成分的物理和化学知识
- 通用名称
- 醋酸氯马济
- 化学名称
- 6-氯-3,20-Dioxopregna-4,6--Dien-17-醋酸酯
- 分子
- C 23 H 29 CLO 4
- 分子量
- 404.93
- 结构公式

- 性欲
- 该产品是白色至浅黄色晶体或结晶粉,没有气味。很容易溶解在氯仿中,略微溶于乙腈,很难溶于乙醇(95)或二乙醚,并且几乎不溶于水。
- 民间点
- 211-215℃
处理的预防措施
- 稳定测试8)
- 由于使用最终包装产品(室温保存,4年)进行了长期储存测试,外观和内容在标准范围内,并且在室温中确认了3年零6个月的稳定性。稻田。
包装
- Lonsteron片剂25mg :( PTP包装)100片(10片X 10)
主要文献和文档请求目的地
主要文献
- 1)
- 在 - 房屋材料:生物当量的材料
- 2)
- 在 - 房屋材料:与洗脱测试有关的材料
- 3)
- HJ Rirgold等人:J。Am。Chem。Soc。,81,3485,1959
- 四)
- 法恩斯沃思,我们:投资。乌罗尔8、367,1971
- 五)
- Atsuji Ichikawa等:新临床泌尿外科所有书籍1984
- 6)
- 吉田奥木(Osamu Yoshida):床边泌尿外科1986
- 7)
- 在 - 房屋材料中:乙酸氯匹甲酮的前列腺适应性对cast割大鼠的效果
- 8)
- 在 - 房屋材料:稳定社会
*文献请求目的地
- 请在主要文档中描述的房屋材料中索取以下内容。
- Nissin Pharmaceutical Co.,Ltd.安全管理部门
- 994-0069 994-0069 Kiyoike Higashi 2-3,Yamagata县
- 电话023-655-2131传真023-655-3419
- 电子邮件:d-info@yg-nissin.co.jp
制造商等的姓名或名称和地址等。
- 制造和分销商
- Nissin Pharmaceutical Co.,Ltd.
- Kiyoike Higashi 2-2 3-3,Yamagata县Tendo City